Номер 4.114, страница 286 - гдз по алгебре 7 класс учебник Арефьева, Пирютко

Алгебра, 7 класс Учебник, авторы: Арефьева Ирина Глебовна, Пирютко Ольга Николаевна, издательство Народная асвета, Минск, 2022, зелёного цвета

Авторы: Арефьева И. Г., Пирютко О. Н.

Тип: Учебник

Издательство: Народная асвета

Год издания: 2022 - 2025

Цвет обложки: зелёный с графиком

ISBN: ISBN 978-985-03-3770-2

Допущено Министерством образования Республики Беларусь

Популярные ГДЗ в 7 классе

Глава 4. Системы двух линейных уравнений с двумя переменными. Параграф 24. Способы решения системы линейных уравнений с двумя переменными - номер 4.114, страница 286.

№4.114 (с. 286)
Условие. №4.114 (с. 286)
скриншот условия
Алгебра, 7 класс Учебник, авторы: Арефьева Ирина Глебовна, Пирютко Ольга Николаевна, издательство Народная асвета, Минск, 2022, зелёного цвета, страница 286, номер 4.114, Условие

4.114*. Решите систему уравнений:

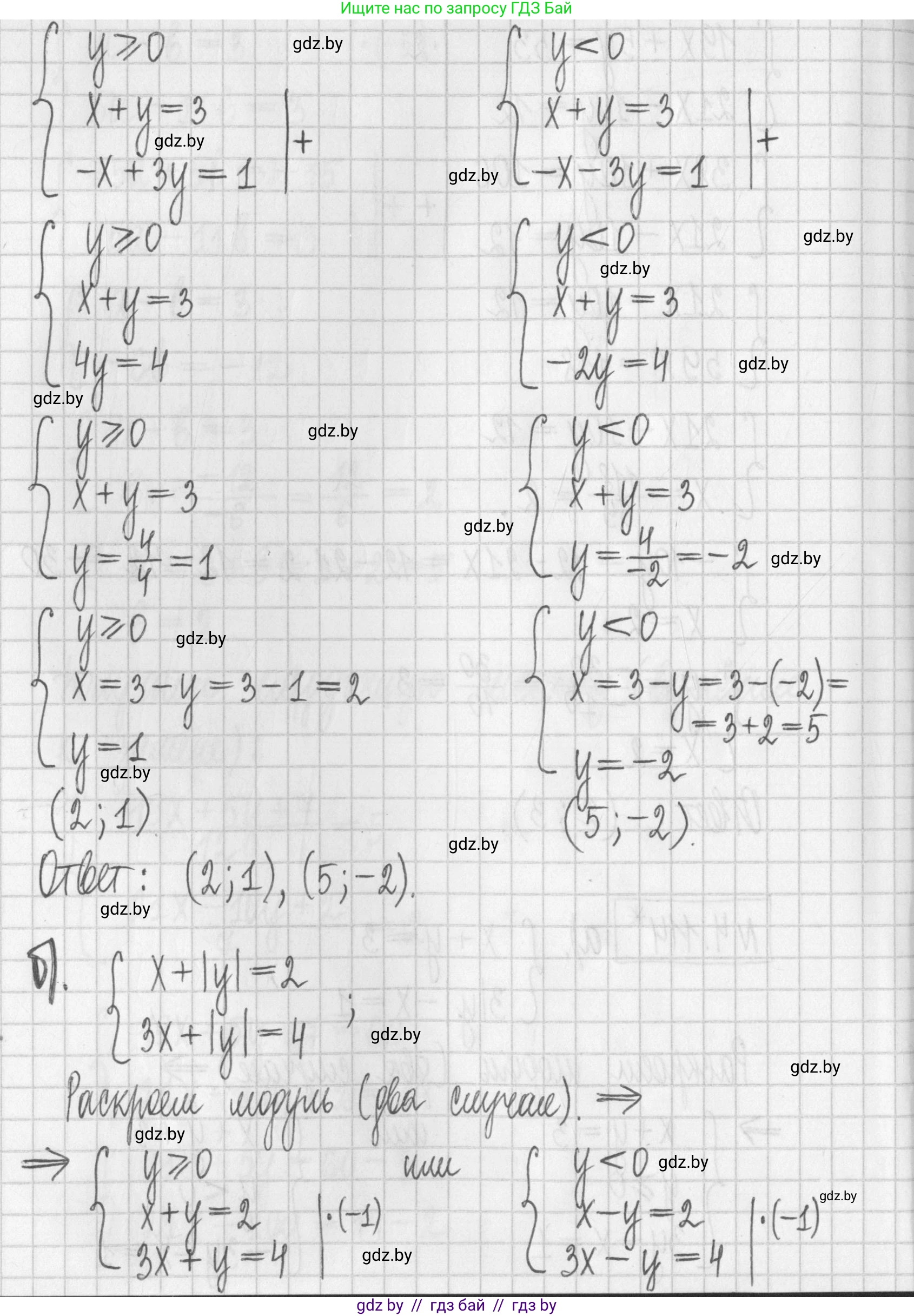
a) $\begin{cases} x + y = 3, \\ 3|y| - x = 1; \end{cases}$

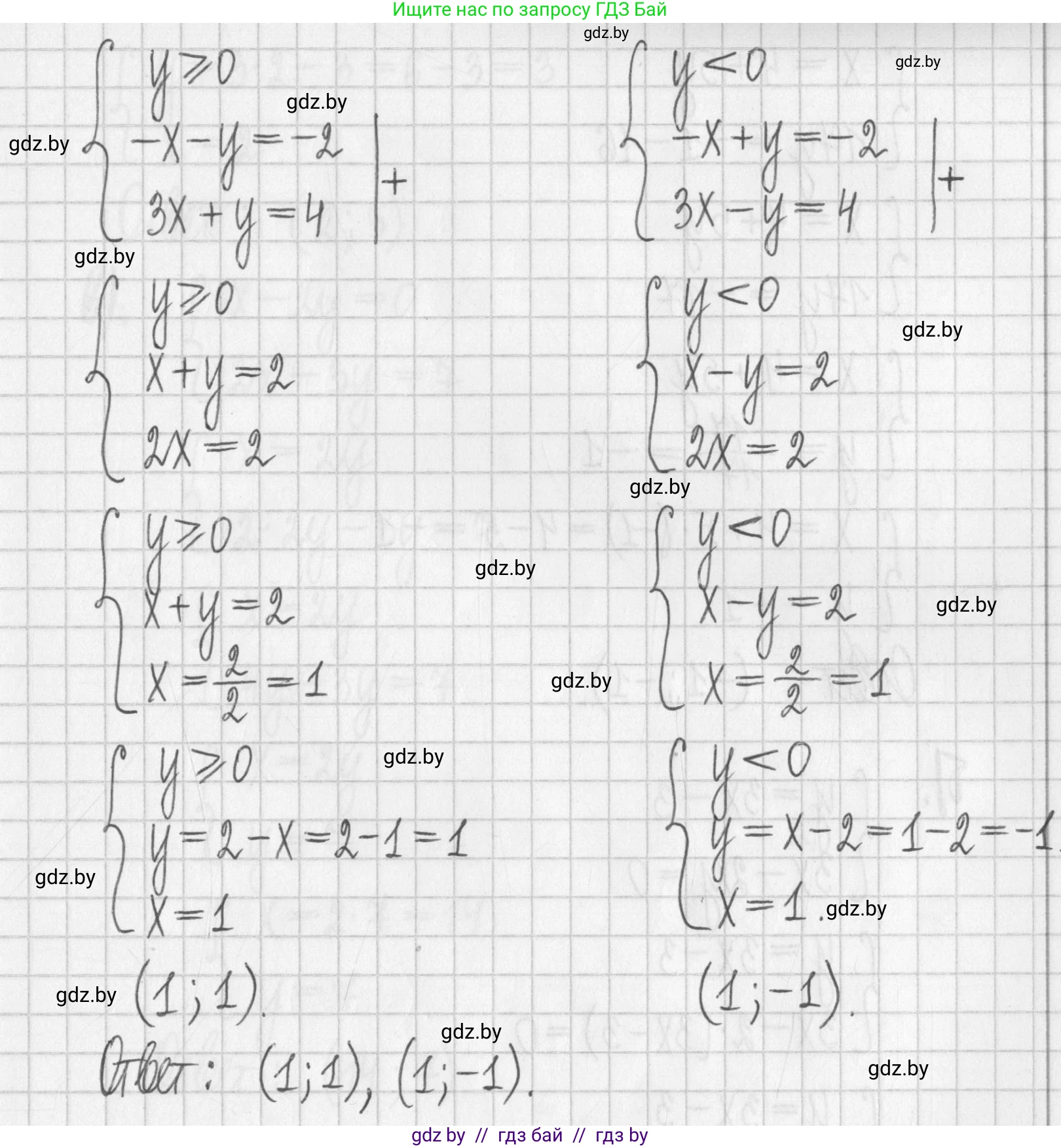
б) $\begin{cases} x + |y| = 2, \\ 3x + |y| = 4. \end{cases}$

Решение. №4.114 (с. 286)
Алгебра, 7 класс Учебник, авторы: Арефьева Ирина Глебовна, Пирютко Ольга Николаевна, издательство Народная асвета, Минск, 2022, зелёного цвета, страница 286, номер 4.114, Решение Алгебра, 7 класс Учебник, авторы: Арефьева Ирина Глебовна, Пирютко Ольга Николаевна, издательство Народная асвета, Минск, 2022, зелёного цвета, страница 286, номер 4.114, Решение (продолжение 2) Алгебра, 7 класс Учебник, авторы: Арефьева Ирина Глебовна, Пирютко Ольга Николаевна, издательство Народная асвета, Минск, 2022, зелёного цвета, страница 286, номер 4.114, Решение (продолжение 3)
Решение 2. №4.114 (с. 286)

a) Решим систему уравнений: $ \begin{cases} x + y = 3 \\ 3|y| - x = 1 \end{cases} $

Поскольку в системе присутствует модуль переменной $y$, необходимо рассмотреть два случая в зависимости от знака $y$.

Случай 1: $y \ge 0$
В этом случае, по определению модуля, $|y| = y$. Система уравнений принимает вид: $ \begin{cases} x + y = 3 \\ 3y - x = 1 \end{cases} $ Сложим два уравнения системы, чтобы избавиться от переменной $x$: $ (x + y) + (3y - x) = 3 + 1 $
$ 4y = 4 $
$ y = 1 $
Полученное значение $y=1$ удовлетворяет условию $y \ge 0$.
Теперь подставим значение $y = 1$ в первое уравнение исходной системы, чтобы найти $x$: $ x + 1 = 3 $
$ x = 3 - 1 $
$ x = 2 $
Таким образом, одно из решений системы: $(2, 1)$.

Случай 2: $y < 0$
В этом случае, по определению модуля, $|y| = -y$. Система уравнений принимает вид: $ \begin{cases} x + y = 3 \\ 3(-y) - x = 1 \end{cases} $ что эквивалентно: $ \begin{cases} x + y = 3 \\ -3y - x = 1 \end{cases} $ Снова сложим два уравнения системы: $ (x + y) + (-3y - x) = 3 + 1 $
$ -2y = 4 $
$ y = -2 $
Полученное значение $y=-2$ удовлетворяет условию $y < 0$.
Подставим $y = -2$ в первое уравнение исходной системы, чтобы найти $x$: $ x + (-2) = 3 $
$ x = 3 + 2 $
$ x = 5 $
Таким образом, второе решение системы: $(5, -2)$.

Ответ: $(2, 1)$, $(5, -2)$.


б) Решим систему уравнений: $ \begin{cases} x + |y| = 2 \\ 3x + |y| = 4 \end{cases} $

В этой системе переменная $y$ присутствует только под знаком модуля. Это позволяет нам упростить решение. Можно заметить, что $|y|$ является общим членом в обоих уравнениях.
Вычтем первое уравнение из второго, чтобы исключить $|y|$: $ (3x + |y|) - (x + |y|) = 4 - 2 $
$ 3x + |y| - x - |y| = 2 $
$ 2x = 2 $
$ x = 1 $

Теперь, зная значение $x$, подставим его в любое из уравнений системы, чтобы найти $|y|$. Возьмем первое уравнение: $ 1 + |y| = 2 $
$ |y| = 2 - 1 $
$ |y| = 1 $

Уравнение $|y| = 1$ имеет два возможных решения для $y$: $ y = 1 $ или $ y = -1 $.

Следовательно, исходная система имеет два решения, оба с $x=1$:
1) $(1, 1)$
2) $(1, -1)$

Ответ: $(1, 1)$, $(1, -1)$.

Помогло решение? Оставьте отзыв в комментариях ниже.

Присоединяйтесь к Телеграм-группе @gdz_by_belarus

Присоединиться

Мы подготовили для вас ответ c подробным объяснением домашего задания по алгебре за 7 класс, для упражнения номер 4.114 расположенного на странице 286 к учебнику 2022 года издания для учащихся школ и гимназий.

Теперь на нашем сайте ГДЗ.ТОП вы всегда легко и бесплатно найдёте условие с правильным ответом на вопрос «Как решить ДЗ» и «Как сделать» задание по алгебре к упражнению №4.114 (с. 286), авторов: Арефьева (Ирина Глебовна), Пирютко (Ольга Николаевна), учебного пособия издательства Народная асвета.