Номер 4.117, страница 287 - гдз по алгебре 7 класс учебник Арефьева, Пирютко

Алгебра, 7 класс Учебник, авторы: Арефьева Ирина Глебовна, Пирютко Ольга Николаевна, издательство Народная асвета, Минск, 2022, зелёного цвета

Авторы: Арефьева И. Г., Пирютко О. Н.

Тип: Учебник

Издательство: Народная асвета

Год издания: 2022 - 2025

Цвет обложки: зелёный с графиком

ISBN: ISBN 978-985-03-3770-2

Допущено Министерством образования Республики Беларусь

Популярные ГДЗ в 7 классе

Глава 4. Системы двух линейных уравнений с двумя переменными. Параграф 24. Способы решения системы линейных уравнений с двумя переменными - номер 4.117, страница 287.

№4.117 (с. 287)
Условие. №4.117 (с. 287)
скриншот условия
Алгебра, 7 класс Учебник, авторы: Арефьева Ирина Глебовна, Пирютко Ольга Николаевна, издательство Народная асвета, Минск, 2022, зелёного цвета, страница 287, номер 4.117, Условие

4.117. Решите систему уравнений способом подстановки:

a) $\begin{cases} 3x + 7y - 8 = 0, \\ x + 5y - 4 = 0; \end{cases}$

б) $\begin{cases} \frac{1}{6}(x + y) = 4, \\ \frac{1}{3}(x - y) = 8; \end{cases}$

в) $\begin{cases} \frac{7x - y}{2} = -3, \\ \frac{-8x + 5y}{2} = 1.5; \end{cases}$

г) $\begin{cases} \frac{x}{5} = \frac{y}{7}, \\ 2x + 5y = 90. \end{cases}$

Решение. №4.117 (с. 287)
Алгебра, 7 класс Учебник, авторы: Арефьева Ирина Глебовна, Пирютко Ольга Николаевна, издательство Народная асвета, Минск, 2022, зелёного цвета, страница 287, номер 4.117, Решение Алгебра, 7 класс Учебник, авторы: Арефьева Ирина Глебовна, Пирютко Ольга Николаевна, издательство Народная асвета, Минск, 2022, зелёного цвета, страница 287, номер 4.117, Решение (продолжение 2) Алгебра, 7 класс Учебник, авторы: Арефьева Ирина Глебовна, Пирютко Ольга Николаевна, издательство Народная асвета, Минск, 2022, зелёного цвета, страница 287, номер 4.117, Решение (продолжение 3) Алгебра, 7 класс Учебник, авторы: Арефьева Ирина Глебовна, Пирютко Ольга Николаевна, издательство Народная асвета, Минск, 2022, зелёного цвета, страница 287, номер 4.117, Решение (продолжение 4)
Решение 2. №4.117 (с. 287)

а) Дана система уравнений: $ \begin{cases} 3x + 7y - 8 = 0, \\ x + 5y - 4 = 0; \end{cases} $
1. Для решения методом подстановки выразим переменную $x$ из второго уравнения системы:
$x + 5y - 4 = 0 \implies x = 4 - 5y$
2. Теперь подставим полученное выражение для $x$ в первое уравнение системы:
$3(4 - 5y) + 7y - 8 = 0$
3. Решим полученное уравнение с одной переменной $y$:
$12 - 15y + 7y - 8 = 0$
$4 - 8y = 0$
$8y = 4$
$y = \frac{4}{8} = \frac{1}{2}$
4. Подставим найденное значение $y$ в выражение для $x$, полученное в шаге 1:
$x = 4 - 5 \cdot (\frac{1}{2}) = 4 - \frac{5}{2} = \frac{8}{2} - \frac{5}{2} = \frac{3}{2}$
Чтобы выделить целую часть из неправильной дроби $\frac{3}{2}$, разделим 3 на 2. Получим 1 и в остатке 1. Таким образом, $\frac{3}{2} = 1\frac{1}{2}$.
Ответ: $x = 1\frac{1}{2}, y = \frac{1}{2}$.

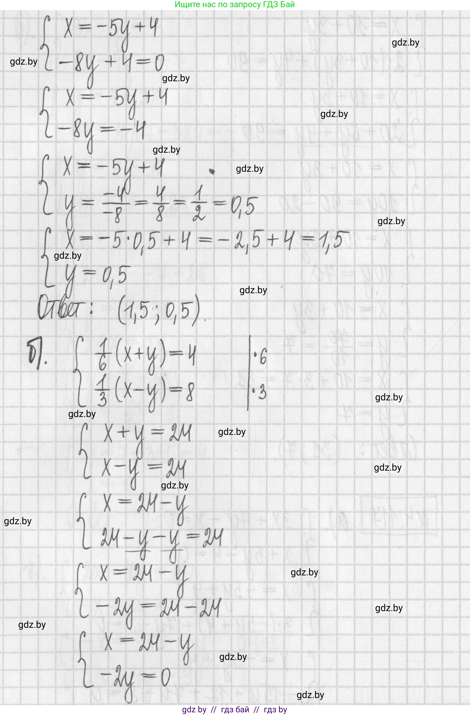
б) Дана система уравнений: $ \begin{cases} \frac{1}{6}(x + y) = 4, \\ \frac{1}{3}(x - y) = 8; \end{cases} $
1. Упростим оба уравнения, избавившись от дробей. Умножим первое уравнение на 6, а второе на 3:
$x + y = 4 \cdot 6 \implies x + y = 24$
$x - y = 8 \cdot 3 \implies x - y = 24$
Получаем более простую систему: $ \begin{cases} x + y = 24, \\ x - y = 24; \end{cases} $
2. Выразим переменную $x$ из первого уравнения:
$x = 24 - y$
3. Подставим это выражение во второе уравнение:
$(24 - y) - y = 24$
$24 - 2y = 24$
$-2y = 24 - 24$
$-2y = 0 \implies y = 0$
4. Подставим найденное значение $y$ в выражение для $x$:
$x = 24 - 0 = 24$
Ответ: $x = 24, y = 0$.

в) Дана система уравнений: $ \begin{cases} \frac{7x - y}{2} = -3, \\ \frac{-8x + 5y}{2} = 1,5; \end{cases} $
1. Упростим уравнения, умножив каждое из них на 2, чтобы избавиться от знаменателей:
$7x - y = -3 \cdot 2 \implies 7x - y = -6$
$-8x + 5y = 1,5 \cdot 2 \implies -8x + 5y = 3$
Получаем систему: $ \begin{cases} 7x - y = -6, \\ -8x + 5y = 3; \end{cases} $
2. Выразим переменную $y$ из первого уравнения. Это наиболее простой вариант для подстановки:
$7x - y = -6 \implies -y = -6 - 7x \implies y = 6 + 7x$
3. Подставим полученное выражение для $y$ во второе уравнение:
$-8x + 5(6 + 7x) = 3$
$-8x + 30 + 35x = 3$
$27x + 30 = 3$
$27x = 3 - 30$
$27x = -27 \implies x = -1$
4. Подставим найденное значение $x$ в выражение для $y$:
$y = 6 + 7(-1) = 6 - 7 = -1$
Ответ: $x = -1, y = -1$.

г) Дана система уравнений: $ \begin{cases} \frac{x}{5} = \frac{y}{7}, \\ 2x + 5y = 90. \end{cases} $
1. Из первого уравнения выразим $x$ через $y$. Для этого умножим обе части уравнения на 5:
$x = \frac{5y}{7}$
2. Подставим это выражение для $x$ во второе уравнение системы:
$2\left(\frac{5y}{7}\right) + 5y = 90$
3. Решим полученное уравнение относительно $y$:
$\frac{10y}{7} + 5y = 90$
Приведем левую часть к общему знаменателю 7:
$\frac{10y}{7} + \frac{5y \cdot 7}{7} = 90 \implies \frac{10y + 35y}{7} = 90$
$\frac{45y}{7} = 90$
$45y = 90 \cdot 7$
$y = \frac{90 \cdot 7}{45} = 2 \cdot 7 = 14$
4. Теперь найдем $x$, подставив значение $y = 14$ в выражение из шага 1:
$x = \frac{5 \cdot 14}{7} = 5 \cdot 2 = 10$
Ответ: $x = 10, y = 14$.

Помогло решение? Оставьте отзыв в комментариях ниже.

Присоединяйтесь к Телеграм-группе @gdz_by_belarus

Присоединиться

Мы подготовили для вас ответ c подробным объяснением домашего задания по алгебре за 7 класс, для упражнения номер 4.117 расположенного на странице 287 к учебнику 2022 года издания для учащихся школ и гимназий.

Теперь на нашем сайте ГДЗ.ТОП вы всегда легко и бесплатно найдёте условие с правильным ответом на вопрос «Как решить ДЗ» и «Как сделать» задание по алгебре к упражнению №4.117 (с. 287), авторов: Арефьева (Ирина Глебовна), Пирютко (Ольга Николаевна), учебного пособия издательства Народная асвета.