Номер 3, страница 117 - гдз по геометрии 8 класс учебник Казаков, Казакова

Геометрия, 8 класс Учебник, авторы: Казаков Валерий Владимирович, Казакова Ольга Олеговна, издательство Адукацыя i выхаванне, Минск, 2024, оранжевого цвета

Авторы: Казаков В. В., Казакова О. О.

Тип: Учебник

Издательство: Адукацыя i выхаванне

Год издания: 2024 - 2025

Цвет обложки: оранжевый

Допущено Министерством образования Республики Беларусь

Популярные ГДЗ в 8 классе

Глава 2. Площади многоугольников. Подготовка к контрольной работе 2 - номер 3, страница 117.

№3 (с. 117)
Условие. №3 (с. 117)
скриншот условия
Геометрия, 8 класс Учебник, авторы: Казаков Валерий Владимирович, Казакова Ольга Олеговна, издательство Адукацыя i выхаванне, Минск, 2024, оранжевого цвета, страница 117, номер 3, Условие

3. Найдите периметр треугольника ABC.

a) $S = 12$

б) $S = 60$

в) $S = 120$

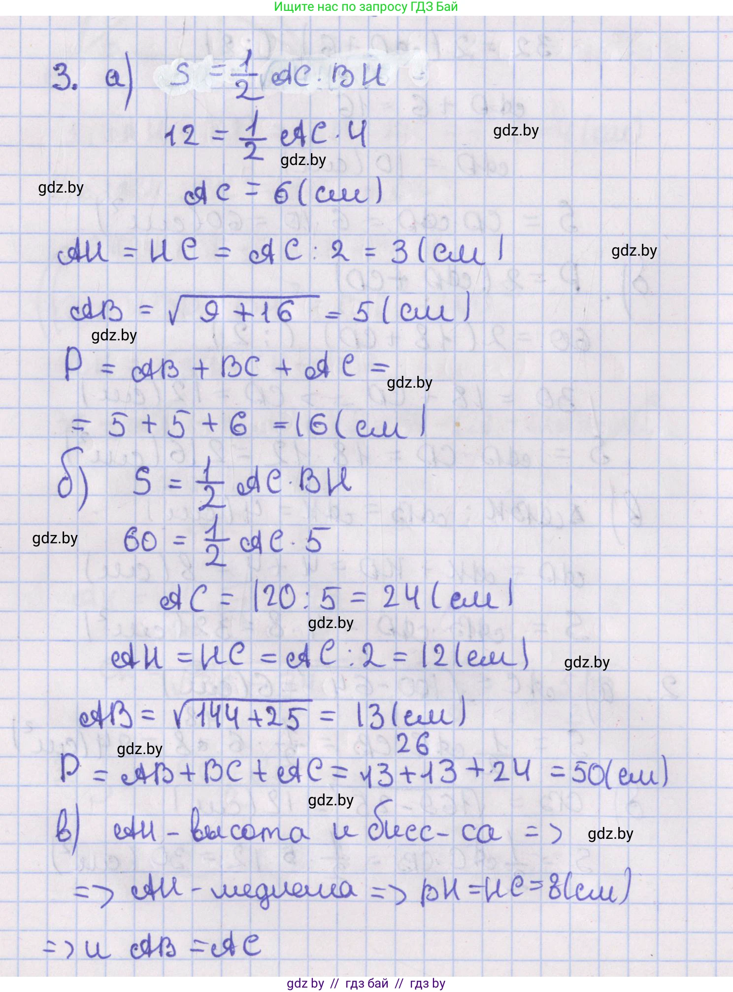
Решение. №3 (с. 117)
Геометрия, 8 класс Учебник, авторы: Казаков Валерий Владимирович, Казакова Ольга Олеговна, издательство Адукацыя i выхаванне, Минск, 2024, оранжевого цвета, страница 117, номер 3, Решение Геометрия, 8 класс Учебник, авторы: Казаков Валерий Владимирович, Казакова Ольга Олеговна, издательство Адукацыя i выхаванне, Минск, 2024, оранжевого цвета, страница 117, номер 3, Решение (продолжение 2)
Решение 2. №3 (с. 117)
Геометрия, 8 класс Учебник, авторы: Казаков Валерий Владимирович, Казакова Ольга Олеговна, издательство Адукацыя i выхаванне, Минск, 2024, оранжевого цвета, страница 117, номер 3, Решение 2 Геометрия, 8 класс Учебник, авторы: Казаков Валерий Владимирович, Казакова Ольга Олеговна, издательство Адукацыя i выхаванне, Минск, 2024, оранжевого цвета, страница 117, номер 3, Решение 2 (продолжение 2)
Решение 3. №3 (с. 117)

а)

Дан треугольник $ABC$, в котором проведена высота $BH$ к стороне $AC$. По отметкам на сторонах $AB$ и $BC$ видно, что они равны, следовательно, треугольник $ABC$ является равнобедренным с основанием $AC$.

По условию, площадь треугольника $S = 12$, а длина высоты $BH = 4$.

Площадь треугольника вычисляется по формуле $S = \frac{1}{2} \cdot a \cdot h$, где $a$ — основание, а $h$ — высота, проведенная к этому основанию. Для нашего треугольника формула будет выглядеть так: $S = \frac{1}{2} \cdot AC \cdot BH$.

Подставим известные значения и найдем длину основания $AC$:

$12 = \frac{1}{2} \cdot AC \cdot 4$

$12 = 2 \cdot AC$

$AC = \frac{12}{2} = 6$

В равнобедренном треугольнике высота, проведенная к основанию, является также медианой. Это означает, что точка $H$ делит основание $AC$ на два равных отрезка: $AH = HC = \frac{AC}{2} = \frac{6}{2} = 3$.

Теперь рассмотрим прямоугольный треугольник $ABH$. Используя теорему Пифагора ($a^2 + b^2 = c^2$), найдем длину гипотенузы $AB$, которая является боковой стороной треугольника $ABC$:

$AB^2 = AH^2 + BH^2$

$AB^2 = 3^2 + 4^2 = 9 + 16 = 25$

$AB = \sqrt{25} = 5$

Так как $AB = BC$, то $BC = 5$.

Периметр треугольника $ABC$ — это сумма длин всех его сторон:

$P_{ABC} = AB + BC + AC = 5 + 5 + 6 = 16$

Ответ: 16

б)

Дан равнобедренный треугольник $ABC$ ($AB=BC$) с высотой $BH$ к основанию $AC$. Площадь треугольника $S = 60$, а высота $BH = 5$.

Используем формулу площади треугольника $S = \frac{1}{2} \cdot AC \cdot BH$, чтобы найти длину основания $AC$:

$60 = \frac{1}{2} \cdot AC \cdot 5$

$60 = 2.5 \cdot AC$

$AC = \frac{60}{2.5} = 24$

Высота $BH$ в равнобедренном треугольнике также является медианой, поэтому она делит основание $AC$ пополам: $AH = HC = \frac{AC}{2} = \frac{24}{2} = 12$.

Рассмотрим прямоугольный треугольник $ABH$. По теореме Пифагора найдем боковую сторону $AB$:

$AB^2 = AH^2 + BH^2$

$AB^2 = 12^2 + 5^2 = 144 + 25 = 169$

$AB = \sqrt{169} = 13$

Так как $AB = BC$, то $BC = 13$.

Найдем периметр треугольника $ABC$:

$P_{ABC} = AB + BC + AC = 13 + 13 + 24 = 50$

Ответ: 50

в)

В треугольнике $ABC$ известна площадь $S = 120$. Из чертежа видно, что $AH$ является высотой, проведенной к стороне $BC$ (так как $AH \perp BC$), и одновременно биссектрисой угла $A$ (так как углы $BAH$ и $CAH$ отмечены как равные).

Свойство треугольника гласит: если высота и биссектриса, проведенные из одной вершины, совпадают, то такой треугольник является равнобедренным. Следовательно, треугольник $ABC$ — равнобедренный, и его боковые стороны $AB$ и $AC$ равны.

В равнобедренном треугольнике высота, проведенная к основанию, является также и медианой. Это значит, что точка $H$ — середина основания $BC$.

Из чертежа видно, что длина отрезка $HC$ равна 8. Так как $H$ — середина $BC$, то $BH = HC = 8$. Таким образом, длина всего основания $BC = BH + HC = 8 + 8 = 16$.

Теперь, зная площадь и длину основания, найдем высоту $AH$ из формулы площади: $S = \frac{1}{2} \cdot BC \cdot AH$.

$120 = \frac{1}{2} \cdot 16 \cdot AH$

$120 = 8 \cdot AH$

$AH = \frac{120}{8} = 15$

Рассмотрим прямоугольный треугольник $AHC$. По теореме Пифагора найдем гипотенузу $AC$:

$AC^2 = AH^2 + HC^2$

$AC^2 = 15^2 + 8^2 = 225 + 64 = 289$

$AC = \sqrt{289} = 17$

Так как треугольник равнобедренный и $AB = AC$, то $AB = 17$.

Вычислим периметр треугольника $ABC$:

$P_{ABC} = AB + AC + BC = 17 + 17 + 16 = 50$

Ответ: 50

Помогло решение? Оставьте отзыв в комментариях ниже.

Присоединяйтесь к Телеграм-группе @gdz_by_belarus

Присоединиться

Мы подготовили для вас ответ c подробным объяснением домашего задания по геометрии за 8 класс, для упражнения номер 3 расположенного на странице 117 к учебнику 2024 года издания для учащихся школ и гимназий.

Теперь на нашем сайте ГДЗ.ТОП вы всегда легко и бесплатно найдёте условие с правильным ответом на вопрос «Как решить ДЗ» и «Как сделать» задание по геометрии к упражнению №3 (с. 117), авторов: Казаков (Валерий Владимирович), Казакова (Ольга Олеговна), учебного пособия издательства Адукацыя i выхаванне.