Тест 3, страница 116 - гдз по геометрии 8 класс учебник Казаков, Казакова

Геометрия, 8 класс Учебник, авторы: Казаков Валерий Владимирович, Казакова Ольга Олеговна, издательство Адукацыя i выхаванне, Минск, 2024, оранжевого цвета

Авторы: Казаков В. В., Казакова О. О.

Тип: Учебник

Издательство: Адукацыя i выхаванне

Год издания: 2024 - 2025

Цвет обложки: оранжевый

Допущено Министерством образования Республики Беларусь

Популярные ГДЗ в 8 классе

Глава 2. Площади многоугольников. Проверяем себя - страница 116.

Тест 3 (с. 116)
Условие. Тест 3 (с. 116)
скриншот условия
Геометрия, 8 класс Учебник, авторы: Казаков Валерий Владимирович, Казакова Ольга Олеговна, издательство Адукацыя i выхаванне, Минск, 2024, оранжевого цвета, страница 116, Условие

Тест 3

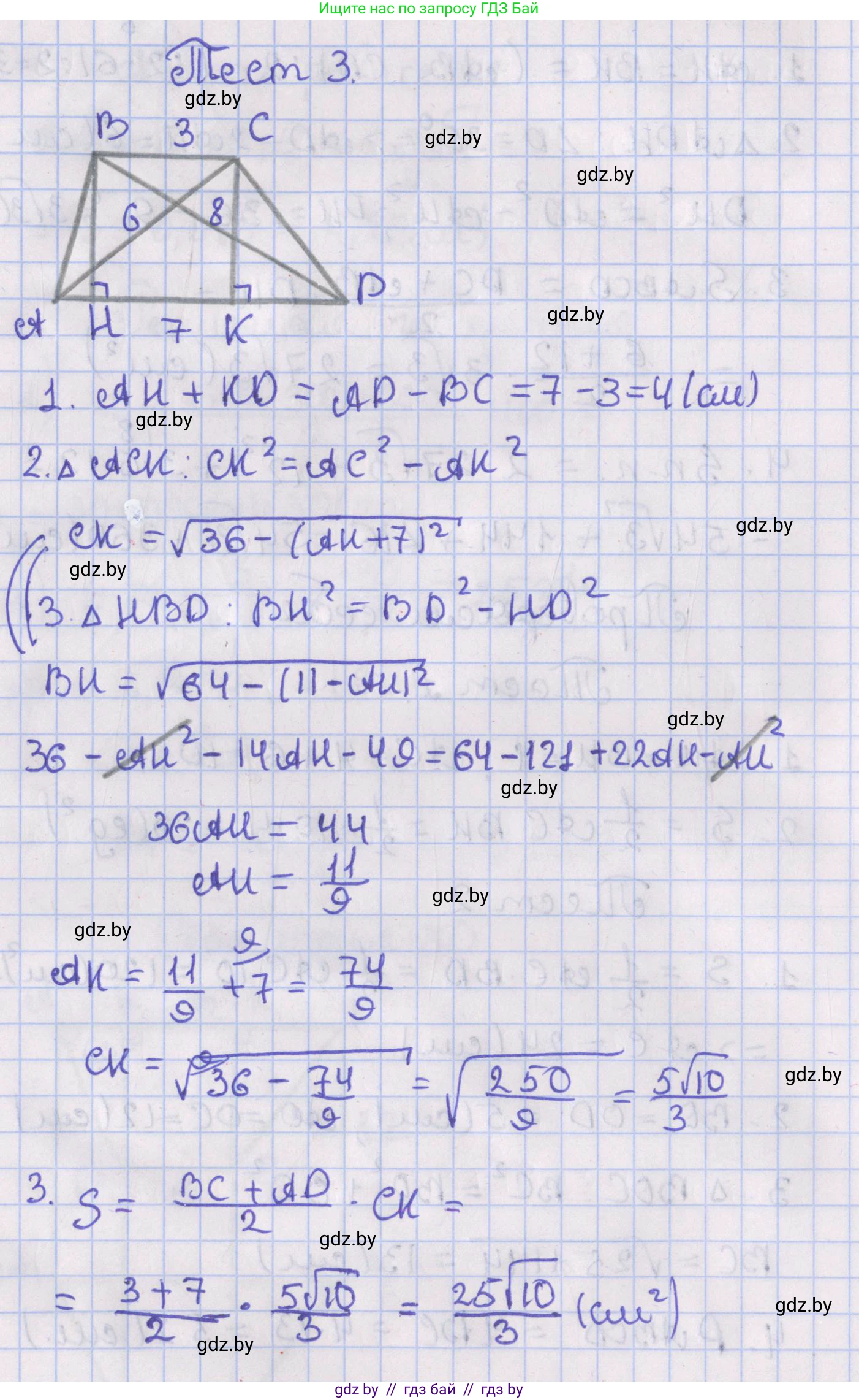
Диагонали трапеции равны 6 см и 8 см, основания — 3 см и 7 см. Найдите $S_{ABCD}$.

а) 32 см$^2$;

б) 48 см$^2$;

в) 96 см$^2$;

г) 24 см$^2$.

Решение. Тест 3 (с. 116)
Геометрия, 8 класс Учебник, авторы: Казаков Валерий Владимирович, Казакова Ольга Олеговна, издательство Адукацыя i выхаванне, Минск, 2024, оранжевого цвета, страница 116, Решение
Решение 2. Тест 3 (с. 116)
Геометрия, 8 класс Учебник, авторы: Казаков Валерий Владимирович, Казакова Ольга Олеговна, издательство Адукацыя i выхаванне, Минск, 2024, оранжевого цвета, страница 116, Решение 2
Решение 3. Тест 3 (с. 116)

Для нахождения площади трапеции $ABCD$ воспользуемся методом дополнительного построения. Этот метод позволяет свести задачу к нахождению площади треугольника, стороны которого можно определить из данных задачи.

Условия задачи:
Трапеция $ABCD$
Основания: $BC = 3 \text{ см}$, $AD = 7 \text{ см}$
Диагонали: $AC = 6 \text{ см}$, $BD = 8 \text{ см}$

Решение:

1. Проведем через вершину $C$ прямую, параллельную диагонали $BD$. Пусть эта прямая пересекает продолжение основания $AD$ в точке $E$.

2. Рассмотрим получившийся четырехугольник $BCED$. В нем стороны $BC$ и $DE$ лежат на параллельных прямых ($BC \parallel AE$), а стороны $BD$ и $CE$ параллельны по построению. Следовательно, четырехугольник $BCED$ является параллелограммом.

3. По свойству параллелограмма его противолежащие стороны равны. Отсюда получаем:
$CE = BD = 8 \text{ см}$
$DE = BC = 3 \text{ см}$

4. Теперь рассмотрим треугольник $ACE$. Длины его сторон:
- $AC = 6 \text{ см}$ (дано по условию).
- $CE = 8 \text{ см}$ (как мы нашли выше).
- $AE = AD + DE = 7 \text{ см} + 3 \text{ см} = 10 \text{ см}$.

5. Площадь трапеции $ABCD$ равна площади треугольника $ACE$. Докажем это. Пусть $h$ — высота трапеции, проведенная из вершины $C$ к основанию $AD$. Эта же величина является высотой треугольника $ACE$, проведенной к стороне $AE$.
Площадь трапеции: $S_{ABCD} = \frac{AD + BC}{2} \cdot h$.
Площадь треугольника: $S_{ACE} = \frac{1}{2} \cdot AE \cdot h$.
Так как $AE = AD + DE$ и $DE = BC$, то $AE = AD + BC$. Подставив это в формулу площади треугольника, получаем: $S_{ACE} = \frac{1}{2} \cdot (AD + BC) \cdot h$.
Таким образом, $S_{ABCD} = S_{ACE}$.

6. Для нахождения площади треугольника $ACE$ со сторонами 6, 8, и 10 см, проверим, не является ли он прямоугольным, с помощью обратной теоремы Пифагора:
$AC^2 + CE^2 = 6^2 + 8^2 = 36 + 64 = 100$.
$AE^2 = 10^2 = 100$.
Поскольку $AC^2 + CE^2 = AE^2$, треугольник $ACE$ является прямоугольным с прямым углом при вершине $C$.

7. Площадь прямоугольного треугольника вычисляется как половина произведения его катетов:
$S_{ACE} = \frac{1}{2} \cdot AC \cdot CE = \frac{1}{2} \cdot 6 \cdot 8 = 24 \text{ см}^2$.

8. Поскольку площадь трапеции равна площади этого треугольника, то искомая площадь трапеции $S_{ABCD} = 24 \text{ см}^2$. Это соответствует варианту г).

Ответ: $24 \text{ см}^2$.

Помогло решение? Оставьте отзыв в комментариях ниже.

Присоединяйтесь к Телеграм-группе @gdz_by_belarus

Присоединиться

Мы подготовили для вас ответ c подробным объяснением домашего задания по геометрии за 8 класс, для упражнения Тест 3 расположенного на странице 116 к учебнику 2024 года издания для учащихся школ и гимназий.

Теперь на нашем сайте ГДЗ.ТОП вы всегда легко и бесплатно найдёте условие с правильным ответом на вопрос «Как решить ДЗ» и «Как сделать» задание по геометрии к упражнению Тест 3 (с. 116), авторов: Казаков (Валерий Владимирович), Казакова (Ольга Олеговна), учебного пособия издательства Адукацыя i выхаванне.