Номер 1.171, страница 54 - гдз по алгебре 9 класс учебник Арефьева, Пирютко

Алгебра, 9 класс Учебник, авторы: Арефьева Ирина Глебовна, Пирютко Ольга Николаевна, издательство Народная асвета, Минск, 2019, голубого цвета

Авторы: Арефьева И. Г., Пирютко О. Н.

Тип: Учебник

Издательство: Народная асвета

Год издания: 2019 - 2025

Цвет обложки: голубой, синий с графиком

ISBN: 978-985-03-3077-2

Допущено Министерством образования Республики Беларусь

Популярные ГДЗ в 9 классе

Глава 1. Рациональные выражения. Параграф 4. Умножение и деление рациональных дробей - номер 1.171, страница 54.

№1.171 (с. 54)
Условие. №1.171 (с. 54)
скриншот условия
Алгебра, 9 класс Учебник, авторы: Арефьева Ирина Глебовна, Пирютко Ольга Николаевна, издательство Народная асвета, Минск, 2019, голубого цвета, страница 54, номер 1.171, Условие

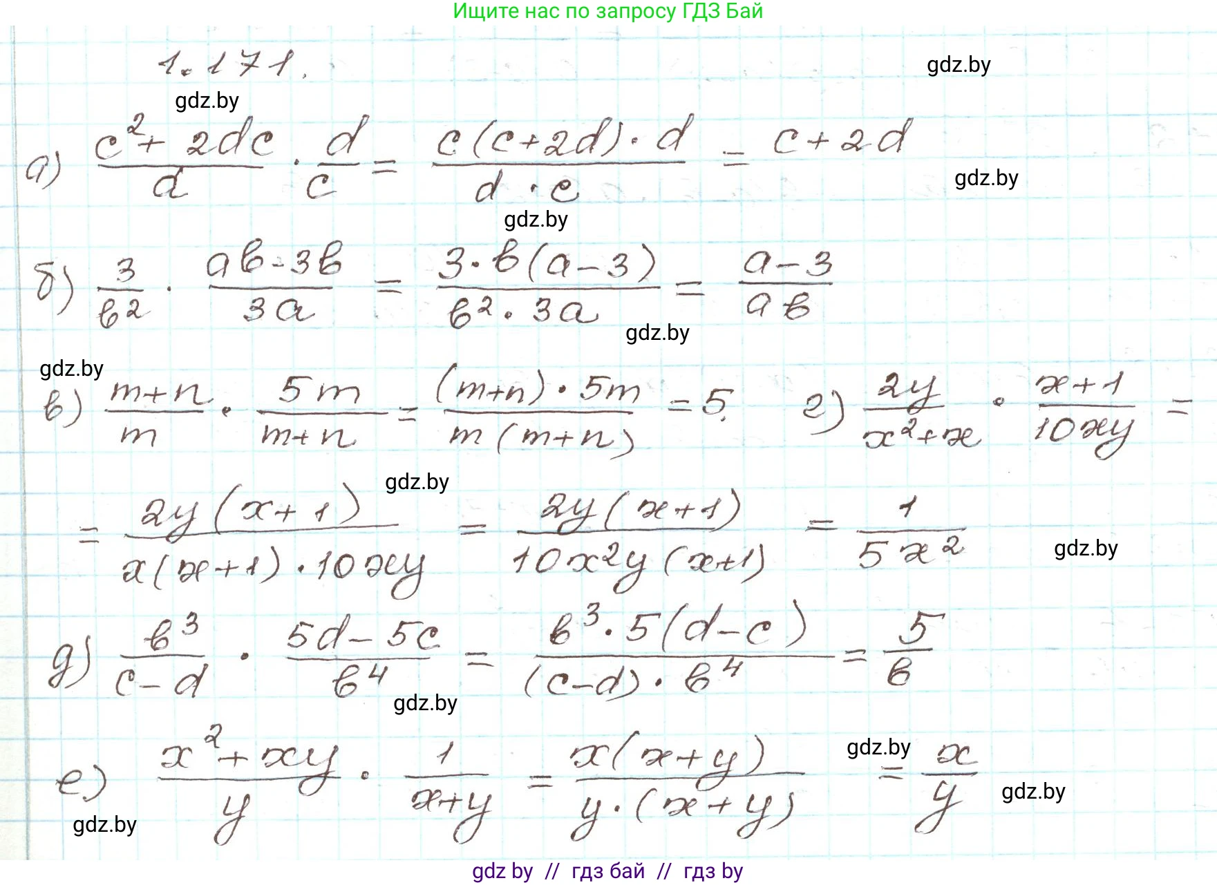
1.171. Выполните умножение рациональных дробей:

а) $ \frac{c^2 + 2dc}{d} \cdot \frac{d}{c}; $

б) $ \frac{3}{b^2} \cdot \frac{ab - 3b}{3a}; $

в) $ \frac{m + n}{m} \cdot \frac{5m}{m + n}; $

г) $ \frac{2y}{x^2 + x} \cdot \frac{x + 1}{10xy}; $

д) $ \frac{b^3}{c - d} \cdot \frac{5d - 5c}{b^4}; $

е) $ \frac{x^2 + xy}{y} \cdot \frac{1}{x + y}. $

Решение. №1.171 (с. 54)
Алгебра, 9 класс Учебник, авторы: Арефьева Ирина Глебовна, Пирютко Ольга Николаевна, издательство Народная асвета, Минск, 2019, голубого цвета, страница 54, номер 1.171, Решение
Решение 2. №1.171 (с. 54)

а) Чтобы выполнить умножение рациональных дробей $\frac{c^2 + 2dc}{d} \cdot \frac{d}{c}$, необходимо сначала упростить выражения, разложив их на множители, а затем выполнить сокращение.
1. Разложим на множители числитель первой дроби, вынеся общий множитель $c$ за скобки:
$c^2 + 2dc = c(c + 2d)$.
2. Подставим полученное выражение в исходный пример:
$\frac{c(c + 2d)}{d} \cdot \frac{d}{c}$.
3. Запишем произведение под общей чертой дроби:
$\frac{c(c + 2d) \cdot d}{d \cdot c}$.
4. Сократим общие множители $c$ и $d$ в числителе и знаменателе (при условии, что $c \neq 0$ и $d \neq 0$):
$\frac{\cancel{c}(c + 2d)\cancel{d}}{\cancel{d}\cancel{c}} = c + 2d$.
Ответ: $c + 2d$.

б) Выполним умножение дробей $\frac{3}{b^2} \cdot \frac{ab - 3b}{3a}$.
1. Разложим на множители числитель второй дроби, вынеся общий множитель $b$:
$ab - 3b = b(a - 3)$.
2. Подставим полученное выражение в пример:
$\frac{3}{b^2} \cdot \frac{b(a - 3)}{3a}$.
3. Перемножим числители и знаменатели:
$\frac{3 \cdot b(a - 3)}{b^2 \cdot 3a}$.
4. Сократим общие множители $3$ и $b$:
$\frac{\cancel{3} \cdot \cancel{b}(a - 3)}{b^{\cancel{2}} \cdot \cancel{3}a} = \frac{a - 3}{ab}$.
Ответ: $\frac{a-3}{ab}$.

в) Выполним умножение дробей $\frac{m + n}{m} \cdot \frac{5m}{m + n}$.
1. Запишем произведение под общей чертой дроби:
$\frac{(m + n) \cdot 5m}{m \cdot (m + n)}$.
2. Сократим общие множители $m$ и $(m + n)$ (при условии, что $m \neq 0$ и $m+n \neq 0$):
$\frac{\cancel{(m + n)} \cdot 5\cancel{m}}{\cancel{m} \cdot \cancel{(m + n)}} = 5$.
Ответ: 5.

г) Выполним умножение дробей $\frac{2y}{x^2 + x} \cdot \frac{x + 1}{10xy}$.
1. Разложим на множители знаменатель первой дроби:
$x^2 + x = x(x + 1)$.
2. Подставим полученное выражение в пример:
$\frac{2y}{x(x + 1)} \cdot \frac{x + 1}{10xy}$.
3. Запишем произведение под общей чертой дроби:
$\frac{2y \cdot (x + 1)}{x(x + 1) \cdot 10xy}$.
4. Сократим общие множители $2$, $y$, и $(x + 1)$:
$\frac{\cancel{2}\cancel{y} \cdot \cancel{(x + 1)}}{x\cancel{(x + 1)} \cdot \cancel{10}_5 x\cancel{y}} = \frac{1}{x \cdot 5x} = \frac{1}{5x^2}$.
Ответ: $\frac{1}{5x^2}$.

д) Выполним умножение дробей $\frac{b^3}{c - d} \cdot \frac{5d - 5c}{b^4}$.
1. Разложим на множители числитель второй дроби. Чтобы получить множитель $(c-d)$, такой же как в знаменателе первой дроби, вынесем за скобки $-5$:
$5d - 5c = -5(c - d)$.
2. Подставим полученное выражение в пример:
$\frac{b^3}{c - d} \cdot \frac{-5(c - d)}{b^4}$.
3. Перемножим числители и знаменатели:
$\frac{b^3 \cdot (-5)(c - d)}{(c - d) \cdot b^4}$.
4. Сократим общие множители $b^3$ и $(c - d)$:
$\frac{\cancel{b^3} \cdot (-5)\cancel{(c - d)}}{\cancel{(c - d)} \cdot b^{\cancel{4}}} = \frac{-5}{b} = -\frac{5}{b}$.
Ответ: $-\frac{5}{b}$.

е) Выполним умножение дробей $\frac{x^2 + xy}{y} \cdot \frac{1}{x + y}$.
1. Разложим на множители числитель первой дроби:
$x^2 + xy = x(x + y)$.
2. Подставим полученное выражение в пример:
$\frac{x(x + y)}{y} \cdot \frac{1}{x + y}$.
3. Запишем произведение под общей чертой дроби:
$\frac{x(x + y) \cdot 1}{y \cdot (x + y)}$.
4. Сократим общий множитель $(x + y)$:
$\frac{x\cancel{(x + y)}}{y \cdot \cancel{(x + y)}} = \frac{x}{y}$.
Ответ: $\frac{x}{y}$.

Помогло решение? Оставьте отзыв в комментариях ниже.

Присоединяйтесь к Телеграм-группе @gdz_by_belarus

Присоединиться

Мы подготовили для вас ответ c подробным объяснением домашего задания по алгебре за 9 класс, для упражнения номер 1.171 расположенного на странице 54 к учебнику 2019 года издания для учащихся школ и гимназий.

Теперь на нашем сайте ГДЗ.ТОП вы всегда легко и бесплатно найдёте условие с правильным ответом на вопрос «Как решить ДЗ» и «Как сделать» задание по алгебре к упражнению №1.171 (с. 54), авторов: Арефьева (Ирина Глебовна), Пирютко (Ольга Николаевна), учебного пособия издательства Народная асвета.