Номер 1.167, страница 52 - гдз по алгебре 9 класс учебник Арефьева, Пирютко

Алгебра, 9 класс Учебник, авторы: Арефьева Ирина Глебовна, Пирютко Ольга Николаевна, издательство Народная асвета, Минск, 2019, голубого цвета

Авторы: Арефьева И. Г., Пирютко О. Н.

Тип: Учебник

Издательство: Народная асвета

Год издания: 2019 - 2025

Цвет обложки: голубой, синий с графиком

ISBN: 978-985-03-3077-2

Допущено Министерством образования Республики Беларусь

Популярные ГДЗ в 9 классе

Глава 1. Рациональные выражения. Параграф 4. Умножение и деление рациональных дробей - номер 1.167, страница 52.

№1.167 (с. 52)
Условие. №1.167 (с. 52)
скриншот условия
Алгебра, 9 класс Учебник, авторы: Арефьева Ирина Глебовна, Пирютко Ольга Николаевна, издательство Народная асвета, Минск, 2019, голубого цвета, страница 52, номер 1.167, Условие

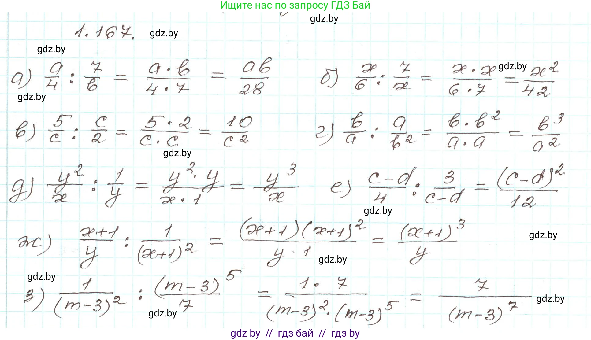
1.167. Найдите частное рациональных дробей:

а) $\frac{a}{4} : \frac{7}{b}$;

б) $\frac{x}{6} : \frac{7}{x}$;

В) $\frac{5}{c} : \frac{c}{2}$;

Г) $\frac{b}{a} : \frac{a}{b^2}$;

Д) $\frac{y^2}{x} : \frac{1}{y}$;

е) $\frac{c - d}{4} : \frac{3}{c - d}$;

Ж) $\frac{x + 1}{y} : \frac{1}{(x + 1)^2}$;

З) $\frac{1}{(m - 3)^2} : \frac{(m - 3)^5}{7}$.

Решение. №1.167 (с. 52)
Алгебра, 9 класс Учебник, авторы: Арефьева Ирина Глебовна, Пирютко Ольга Николаевна, издательство Народная асвета, Минск, 2019, голубого цвета, страница 52, номер 1.167, Решение
Решение 2. №1.167 (с. 52)

а) Чтобы найти частное двух рациональных дробей, нужно первую дробь (делимое) умножить на дробь, обратную второй (делителю). $$ \frac{a}{4} : \frac{7}{b^2} = \frac{a}{4} \cdot \frac{b^2}{7} $$ Далее, перемножаем числители и знаменатели дробей: $$ \frac{a \cdot b^2}{4 \cdot 7} = \frac{ab^2}{28} $$ Ответ: $ \frac{ab^2}{28} $.

б) Выполняем деление, заменяя его на умножение на обратную дробь: $$ \frac{x}{6} : \frac{x}{7} = \frac{x}{6} \cdot \frac{7}{x} $$ Перемножаем дроби и сокращаем общий множитель $x$ (при условии, что $x \neq 0$): $$ \frac{x \cdot 7}{6 \cdot x} = \frac{7}{6} $$ Полученная дробь является неправильной. Выделим из неё целую часть: $$ \frac{7}{6} = 1\frac{1}{6} $$ Ответ: $ 1\frac{1}{6} $.

в) Заменяем деление на умножение на обратную дробь: $$ \frac{5}{c} : \frac{c}{2} = \frac{5}{c} \cdot \frac{2}{c} $$ Умножаем числители и знаменатели (при условии, что $c \neq 0$): $$ \frac{5 \cdot 2}{c \cdot c} = \frac{10}{c^2} $$ Ответ: $ \frac{10}{c^2} $.

г) Заменяем деление на умножение на обратную дробь: $$ \frac{b}{a} : \frac{a}{b^2} = \frac{b}{a} \cdot \frac{b^2}{a} $$ Умножаем дроби, используя свойство степеней $b \cdot b^2 = b^{1+2} = b^3$ и $a \cdot a = a^2$ (при условии, что $a \neq 0$): $$ \frac{b \cdot b^2}{a \cdot a} = \frac{b^3}{a^2} $$ Ответ: $ \frac{b^3}{a^2} $.

д) Заменяем деление на умножение на обратную дробь: $$ \frac{y^2}{x} : \frac{1}{y} = \frac{y^2}{x} \cdot \frac{y}{1} $$ Перемножаем дроби (при условии, что $x \neq 0, y \neq 0$): $$ \frac{y^2 \cdot y}{x \cdot 1} = \frac{y^3}{x} $$ Ответ: $ \frac{y^3}{x} $.

е) Заменяем деление на умножение на обратную дробь: $$ \frac{c-d}{4} : \frac{3}{c-d} = \frac{c-d}{4} \cdot \frac{c-d}{3} $$ Перемножаем дроби (при условии, что $c-d \neq 0$): $$ \frac{(c-d) \cdot (c-d)}{4 \cdot 3} = \frac{(c-d)^2}{12} $$ Ответ: $ \frac{(c-d)^2}{12} $.

ж) Заменяем деление на умножение на обратную дробь: $$ \frac{x+1}{y} : \frac{1}{(x+1)^2} = \frac{x+1}{y} \cdot \frac{(x+1)^2}{1} $$ Перемножаем дроби, используя свойство степеней (при условии, что $y \neq 0, x+1 \neq 0$): $$ \frac{(x+1) \cdot (x+1)^2}{y} = \frac{(x+1)^{1+2}}{y} = \frac{(x+1)^3}{y} $$ Ответ: $ \frac{(x+1)^3}{y} $.

з) Заменяем деление на умножение на обратную дробь: $$ \frac{1}{(m-3)^2} : \frac{(m-3)^5}{7} = \frac{1}{(m-3)^2} \cdot \frac{7}{(m-3)^5} $$ Перемножаем дроби, используя свойство степеней (при условии, что $m-3 \neq 0$): $$ \frac{1 \cdot 7}{(m-3)^2 \cdot (m-3)^5} = \frac{7}{(m-3)^{2+5}} = \frac{7}{(m-3)^7} $$ Ответ: $ \frac{7}{(m-3)^7} $.

Помогло решение? Оставьте отзыв в комментариях ниже.

Присоединяйтесь к Телеграм-группе @gdz_by_belarus

Присоединиться

Мы подготовили для вас ответ c подробным объяснением домашего задания по алгебре за 9 класс, для упражнения номер 1.167 расположенного на странице 52 к учебнику 2019 года издания для учащихся школ и гимназий.

Теперь на нашем сайте ГДЗ.ТОП вы всегда легко и бесплатно найдёте условие с правильным ответом на вопрос «Как решить ДЗ» и «Как сделать» задание по алгебре к упражнению №1.167 (с. 52), авторов: Арефьева (Ирина Глебовна), Пирютко (Ольга Николаевна), учебного пособия издательства Народная асвета.