Номер 3.106, страница 170 - гдз по алгебре 9 класс учебник Арефьева, Пирютко

Алгебра, 9 класс Учебник, авторы: Арефьева Ирина Глебовна, Пирютко Ольга Николаевна, издательство Народная асвета, Минск, 2019, голубого цвета

Авторы: Арефьева И. Г., Пирютко О. Н.

Тип: Учебник

Издательство: Народная асвета

Год издания: 2019 - 2025

Цвет обложки: голубой, синий с графиком

ISBN: 978-985-03-3077-2

Допущено Министерством образования Республики Беларусь

Популярные ГДЗ в 9 классе

Глава 3. Дробно-рациональные уравнения и неравенства. Параграф 11. Системы нелинейных уравнений - номер 3.106, страница 170.

№3.106 (с. 170)
Условие. №3.106 (с. 170)
скриншот условия
Алгебра, 9 класс Учебник, авторы: Арефьева Ирина Глебовна, Пирютко Ольга Николаевна, издательство Народная асвета, Минск, 2019, голубого цвета, страница 170, номер 3.106, Условие

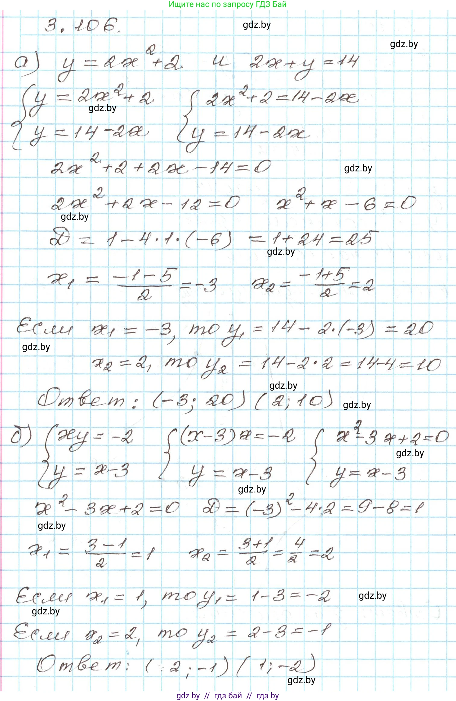
3.106. Не выполняя построения, найдите координаты то-чек пересечения:

а) параболы $y = 2x^2 + 2$ и прямой $2x + y = 14$;

б) гиперболы $xy = -2$ и прямой $x - y = 3$.

Решение. №3.106 (с. 170)
Алгебра, 9 класс Учебник, авторы: Арефьева Ирина Глебовна, Пирютко Ольга Николаевна, издательство Народная асвета, Минск, 2019, голубого цвета, страница 170, номер 3.106, Решение
Решение 2. №3.106 (с. 170)

а) Для нахождения координат точек пересечения параболы $y=2x^2+2$ и прямой $2x+y=14$ необходимо решить систему уравнений:

$$ \begin{cases} y = 2x^2 + 2 \\ 2x + y = 14 \end{cases} $$

Выразим $y$ из второго уравнения: $y = 14 - 2x$.

Подставим полученное выражение для $y$ в первое уравнение системы:

$14 - 2x = 2x^2 + 2$

Перенесем все члены уравнения в одну сторону, чтобы получить квадратное уравнение вида $ax^2+bx+c=0$:

$2x^2 + 2x + 2 - 14 = 0$

$2x^2 + 2x - 12 = 0$

Для упрощения разделим все члены уравнения на 2:

$x^2 + x - 6 = 0$

Решим полученное квадратное уравнение. По теореме Виета, сумма корней $x_1 + x_2 = -1$, а произведение $x_1 \cdot x_2 = -6$. Этим условиям удовлетворяют корни $x_1 = -3$ и $x_2 = 2$.

Теперь найдем соответствующие значения $y$ для каждого корня, подставив их в выражение $y = 14 - 2x$:

  • При $x_1 = -3$:
    $y_1 = 14 - 2(-3) = 14 + 6 = 20$.
    Координаты первой точки пересечения: $(-3, 20)$.
  • При $x_2 = 2$:
    $y_2 = 14 - 2(2) = 14 - 4 = 10$.
    Координаты второй точки пересечения: $(2, 10)$.

Ответ: $(-3, 20)$ и $(2, 10)$.

б) Для нахождения координат точек пересечения гиперболы $xy=-2$ и прямой $x-y=3$ решим систему уравнений:

$$ \begin{cases} xy = -2 \\ x - y = 3 \end{cases} $$

Выразим $x$ из второго уравнения: $x = y + 3$.

Подставим полученное выражение для $x$ в первое уравнение системы:

$(y + 3)y = -2$

Раскроем скобки и приведем уравнение к стандартному виду:

$y^2 + 3y = -2$

$y^2 + 3y + 2 = 0$

Решим полученное квадратное уравнение. По теореме Виета, сумма корней $y_1 + y_2 = -3$, а произведение $y_1 \cdot y_2 = 2$. Этим условиям удовлетворяют корни $y_1 = -1$ и $y_2 = -2$.

Теперь найдем соответствующие значения $x$ для каждого корня, подставив их в выражение $x = y + 3$:

  • При $y_1 = -1$:
    $x_1 = (-1) + 3 = 2$.
    Координаты первой точки пересечения: $(2, -1)$.
  • При $y_2 = -2$:
    $x_2 = (-2) + 3 = 1$.
    Координаты второй точки пересечения: $(1, -2)$.

Ответ: $(2, -1)$ и $(1, -2)$.

Помогло решение? Оставьте отзыв в комментариях ниже.

Присоединяйтесь к Телеграм-группе @gdz_by_belarus

Присоединиться

Мы подготовили для вас ответ c подробным объяснением домашего задания по алгебре за 9 класс, для упражнения номер 3.106 расположенного на странице 170 к учебнику 2019 года издания для учащихся школ и гимназий.

Теперь на нашем сайте ГДЗ.ТОП вы всегда легко и бесплатно найдёте условие с правильным ответом на вопрос «Как решить ДЗ» и «Как сделать» задание по алгебре к упражнению №3.106 (с. 170), авторов: Арефьева (Ирина Глебовна), Пирютко (Ольга Николаевна), учебного пособия издательства Народная асвета.