Номер 289, страница 297 - гдз по алгебре 9 класс учебник Арефьева, Пирютко

Алгебра, 9 класс Учебник, авторы: Арефьева Ирина Глебовна, Пирютко Ольга Николаевна, издательство Народная асвета, Минск, 2019, голубого цвета

Авторы: Арефьева И. Г., Пирютко О. Н.

Тип: Учебник

Издательство: Народная асвета

Год издания: 2019 - 2025

Цвет обложки: голубой, синий с графиком

ISBN: 978-985-03-3077-2

Допущено Министерством образования Республики Беларусь

Популярные ГДЗ в 9 классе

Итоговое повторение. Уравнения, неравенства, системы - номер 289, страница 297.

№289 (с. 297)
Условие. №289 (с. 297)
скриншот условия
Алгебра, 9 класс Учебник, авторы: Арефьева Ирина Глебовна, Пирютко Ольга Николаевна, издательство Народная асвета, Минск, 2019, голубого цвета, страница 297, номер 289, Условие

289. Решите систему неравенств:

a) $\begin{cases} 2x - x^2 - 1 < 0, \\ 3 - 2x \ge 0; \end{cases}$

б) $\begin{cases} (1 + x)^2 \ge 16, \\ (2x - 7)^2 < 9; \end{cases}$

в) $\begin{cases} x(x - 1) \le 20, \\ x - 4 < -4 - x. \end{cases}$

Решение. №289 (с. 297)
Алгебра, 9 класс Учебник, авторы: Арефьева Ирина Глебовна, Пирютко Ольга Николаевна, издательство Народная асвета, Минск, 2019, голубого цвета, страница 297, номер 289, Решение Алгебра, 9 класс Учебник, авторы: Арефьева Ирина Глебовна, Пирютко Ольга Николаевна, издательство Народная асвета, Минск, 2019, голубого цвета, страница 297, номер 289, Решение (продолжение 2)
Решение 2. №289 (с. 297)

а) Решим систему неравенств:

$$ \begin{cases} 2x - x^2 - 1 < 0, \\ 3 - 2x \ge 0; \end{cases} $$

1. Решим первое неравенство: $2x - x^2 - 1 < 0$.

Умножим обе части на -1, изменив знак неравенства на противоположный:

$x^2 - 2x + 1 > 0$

Левая часть является полным квадратом разности:

$(x - 1)^2 > 0$

Квадрат любого действительного числа неотрицателен. Данное неравенство верно для всех $x$, кроме тех, при которых $(x - 1)^2 = 0$, то есть $x = 1$.

Таким образом, решение первого неравенства: $x \in (-\infty, 1) \cup (1, +\infty)$.

2. Решим второе неравенство: $3 - 2x \ge 0$.

$-2x \ge -3$

Разделим обе части на -2, изменив знак неравенства:

$x \le \frac{3}{2}$

Решение второго неравенства: $x \in (-\infty, \frac{3}{2}]$.

3. Найдем пересечение решений обоих неравенств. На числовой оси отметим решения обоих неравенств и найдем их общую часть.

Решение первого неравенства — вся числовая прямая, кроме точки $x=1$.

Решение второго неравенства — луч $(-\infty, \frac{3}{2}]$.

Пересечением этих множеств является множество $(-\infty, 1) \cup (1, \frac{3}{2}]$. Преобразуем неправильную дробь $\frac{3}{2}$ в смешанное число $1\frac{1}{2}$.

Ответ: $x \in (-\infty, 1) \cup (1, \mathbf{1}\frac{1}{2}]$.

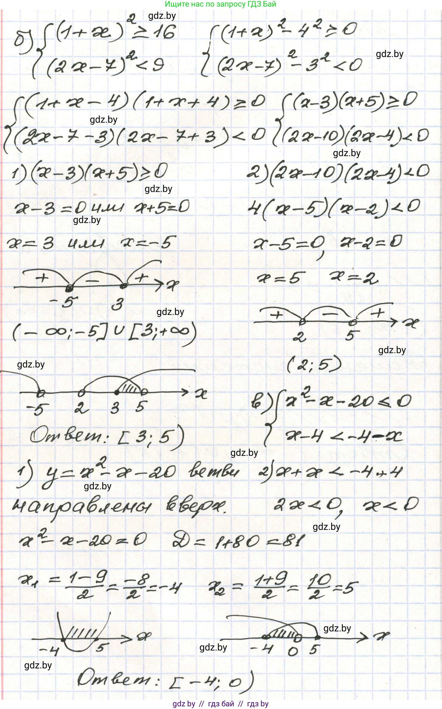
б) Решим систему неравенств:

$$ \begin{cases} (1+x)^2 \ge 16, \\ (2x-7)^2 < 9; \end{cases} $$

1. Решим первое неравенство: $(1+x)^2 \ge 16$.

Это неравенство эквивалентно совокупности двух неравенств:

$1+x \ge \sqrt{16}$ или $1+x \le -\sqrt{16}$

$1+x \ge 4$ или $1+x \le -4$

$x \ge 3$ или $x \le -5$

Решение первого неравенства: $x \in (-\infty, -5] \cup [3, +\infty)$.

2. Решим второе неравенство: $(2x-7)^2 < 9$.

Это неравенство эквивалентно двойному неравенству:

$-\sqrt{9} < 2x-7 < \sqrt{9}$

$-3 < 2x-7 < 3$

Прибавим 7 ко всем частям неравенства:

$4 < 2x < 10$

Разделим все части на 2:

$2 < x < 5$

Решение второго неравенства: $x \in (2, 5)$.

3. Найдем пересечение решений. Нам нужно найти общие решения для $x \in (-\infty, -5] \cup [3, +\infty)$ и $x \in (2, 5)$.

Пересекая эти два множества, получаем интервал $[3, 5)$.

Ответ: $x \in [3, 5)$.

в) Решим систему неравенств:

$$ \begin{cases} x(x-1) \le 20, \\ x-4 < -4-x; \end{cases} $$

1. Решим первое неравенство: $x(x-1) \le 20$.

$x^2 - x - 20 \le 0$

Найдем корни соответствующего квадратного уравнения $x^2 - x - 20 = 0$. По теореме Виета (или через дискриминант) находим корни: $x_1 = -4$ и $x_2 = 5$.

Так как это парабола с ветвями вверх, неравенство $x^2 - x - 20 \le 0$ выполняется на отрезке между корнями.

Решение первого неравенства: $x \in [-4, 5]$.

2. Решим второе неравенство: $x-4 < -4-x$.

Перенесем члены с $x$ в одну сторону, а свободные члены в другую:

$x+x < -4+4$

$2x < 0$

$x < 0$

Решение второго неравенства: $x \in (-\infty, 0)$.

3. Найдем пересечение решений. Нам нужно найти общие решения для $x \in [-4, 5]$ и $x \in (-\infty, 0)$.

Пересечением этих множеств является полуинтервал $[-4, 0)$.

Ответ: $x \in [-4, 0)$.

Помогло решение? Оставьте отзыв в комментариях ниже.

Присоединяйтесь к Телеграм-группе @gdz_by_belarus

Присоединиться

Мы подготовили для вас ответ c подробным объяснением домашего задания по алгебре за 9 класс, для упражнения номер 289 расположенного на странице 297 к учебнику 2019 года издания для учащихся школ и гимназий.

Теперь на нашем сайте ГДЗ.ТОП вы всегда легко и бесплатно найдёте условие с правильным ответом на вопрос «Как решить ДЗ» и «Как сделать» задание по алгебре к упражнению №289 (с. 297), авторов: Арефьева (Ирина Глебовна), Пирютко (Ольга Николаевна), учебного пособия издательства Народная асвета.