Номер 285, страница 297 - гдз по алгебре 9 класс учебник Арефьева, Пирютко

Алгебра, 9 класс Учебник, авторы: Арефьева Ирина Глебовна, Пирютко Ольга Николаевна, издательство Народная асвета, Минск, 2019, голубого цвета

Авторы: Арефьева И. Г., Пирютко О. Н.

Тип: Учебник

Издательство: Народная асвета

Год издания: 2019 - 2025

Цвет обложки: голубой, синий с графиком

ISBN: 978-985-03-3077-2

Допущено Министерством образования Республики Беларусь

Популярные ГДЗ в 9 классе

Итоговое повторение. Уравнения, неравенства, системы - номер 285, страница 297.

№285 (с. 297)
Условие. №285 (с. 297)
скриншот условия
Алгебра, 9 класс Учебник, авторы: Арефьева Ирина Глебовна, Пирютко Ольга Николаевна, издательство Народная асвета, Минск, 2019, голубого цвета, страница 297, номер 285, Условие

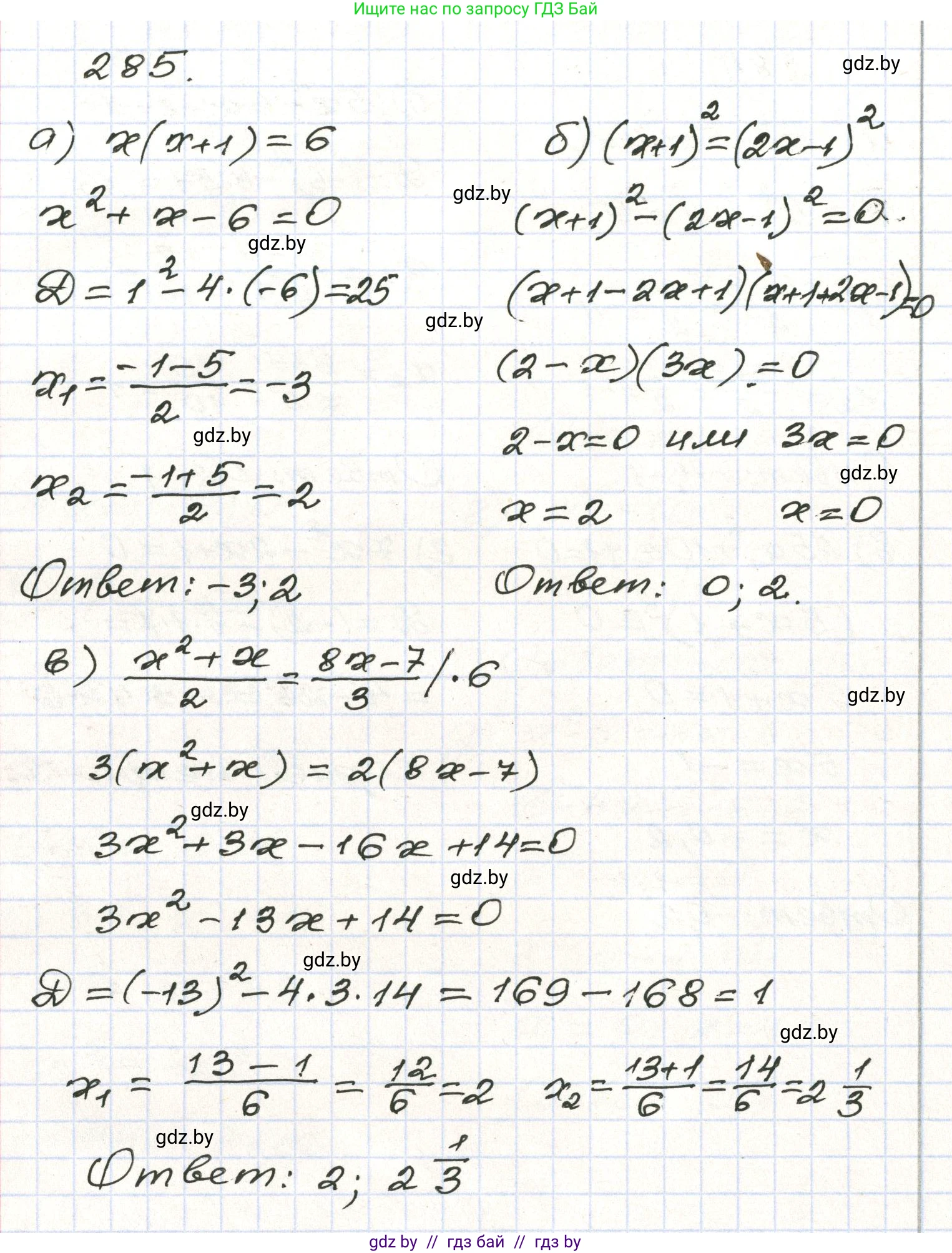
285. Решите уравнение:

а) $x(x + 1) = 6;$

б) $(x + 1)^2 = (2x - 1)^2;$

в) $\frac{x^2 + x}{2} = \frac{8x - 7}{3}.$

Решение. №285 (с. 297)
Алгебра, 9 класс Учебник, авторы: Арефьева Ирина Глебовна, Пирютко Ольга Николаевна, издательство Народная асвета, Минск, 2019, голубого цвета, страница 297, номер 285, Решение
Решение 2. №285 (с. 297)

а) Исходное уравнение: $x(x + 1) = 6$.
Раскроем скобки в левой части уравнения:$x^2 + x = 6$.
Перенесем все члены уравнения в левую часть, чтобы получить квадратное уравнение вида $ax^2 + bx + c = 0$:$x^2 + x - 6 = 0$.
Для нахождения корней воспользуемся формулой дискриминанта.

Коэффициенты уравнения: $a=1, b=1, c=-6$.
Дискриминант $D = b^2 - 4ac$:
$D = 1^2 - 4 \cdot 1 \cdot (-6) = 1 + 24 = 25$.
Так как $D > 0$, уравнение имеет два различных действительных корня. Найдем их по формуле $x = \frac{-b \pm \sqrt{D}}{2a}$:
$x_1 = \frac{-1 + \sqrt{25}}{2 \cdot 1} = \frac{-1 + 5}{2} = \frac{4}{2} = 2$.
$x_2 = \frac{-1 - \sqrt{25}}{2 \cdot 1} = \frac{-1 - 5}{2} = \frac{-6}{2} = -3$.

Ответ: -3; 2.


б) Исходное уравнение: $(x + 1)^2 = (2x - 1)^2$.
Перенесем выражение из правой части в левую, чтобы воспользоваться формулой разности квадратов $a^2 - b^2 = (a - b)(a + b)$:$(x + 1)^2 - (2x - 1)^2 = 0$.
Здесь $a = x + 1$ и $b = 2x - 1$.
$((x + 1) - (2x - 1)) \cdot ((x + 1) + (2x - 1)) = 0$.
Упростим выражения в каждой скобке:$(x + 1 - 2x + 1) \cdot (x + 1 + 2x - 1) = 0$;
$(-x + 2) \cdot (3x) = 0$.
Произведение равно нулю, если хотя бы один из множителей равен нулю:

1) $-x + 2 = 0 \implies x = 2$.
2) $3x = 0 \implies x = 0$.

Ответ: 0; 2.


в) Исходное уравнение: $\frac{x^2 + x}{2} = \frac{8x - 7}{3}$.
Воспользуемся основным свойством пропорции (перекрестное умножение):$3 \cdot (x^2 + x) = 2 \cdot (8x - 7)$.
Раскроем скобки:$3x^2 + 3x = 16x - 14$.
Перенесем все члены в левую часть, чтобы получить стандартное квадратное уравнение:$3x^2 + 3x - 16x + 14 = 0$;
$3x^2 - 13x + 14 = 0$.
Решим полученное квадратное уравнение.

Коэффициенты: $a=3, b=-13, c=14$.
Найдем дискриминант $D = b^2 - 4ac$:
$D = (-13)^2 - 4 \cdot 3 \cdot 14 = 169 - 168 = 1$.
Найдем корни по формуле $x = \frac{-b \pm \sqrt{D}}{2a}$:
$x_1 = \frac{-(-13) + \sqrt{1}}{2 \cdot 3} = \frac{13 + 1}{6} = \frac{14}{6} = \frac{7}{3}$.
$x_2 = \frac{-(-13) - \sqrt{1}}{2 \cdot 3} = \frac{13 - 1}{6} = \frac{12}{6} = 2$.

Один из корней, $x_1 = \frac{7}{3}$, является неправильной дробью. Выделим из нее целую часть:$\frac{7}{3} = 2\frac{1}{3}$.

Ответ: 2; $2\frac{1}{3}$.

Помогло решение? Оставьте отзыв в комментариях ниже.

Присоединяйтесь к Телеграм-группе @gdz_by_belarus

Присоединиться

Мы подготовили для вас ответ c подробным объяснением домашего задания по алгебре за 9 класс, для упражнения номер 285 расположенного на странице 297 к учебнику 2019 года издания для учащихся школ и гимназий.

Теперь на нашем сайте ГДЗ.ТОП вы всегда легко и бесплатно найдёте условие с правильным ответом на вопрос «Как решить ДЗ» и «Как сделать» задание по алгебре к упражнению №285 (с. 297), авторов: Арефьева (Ирина Глебовна), Пирютко (Ольга Николаевна), учебного пособия издательства Народная асвета.