Номер 279, страница 296 - гдз по алгебре 9 класс учебник Арефьева, Пирютко

Алгебра, 9 класс Учебник, авторы: Арефьева Ирина Глебовна, Пирютко Ольга Николаевна, издательство Народная асвета, Минск, 2019, голубого цвета

Авторы: Арефьева И. Г., Пирютко О. Н.

Тип: Учебник

Издательство: Народная асвета

Год издания: 2019 - 2025

Цвет обложки: голубой, синий с графиком

ISBN: 978-985-03-3077-2

Допущено Министерством образования Республики Беларусь

Популярные ГДЗ в 9 классе

Итоговое повторение. Уравнения, неравенства, системы - номер 279, страница 296.

№279 (с. 296)
Условие. №279 (с. 296)
скриншот условия
Алгебра, 9 класс Учебник, авторы: Арефьева Ирина Глебовна, Пирютко Ольга Николаевна, издательство Народная асвета, Минск, 2019, голубого цвета, страница 296, номер 279, Условие

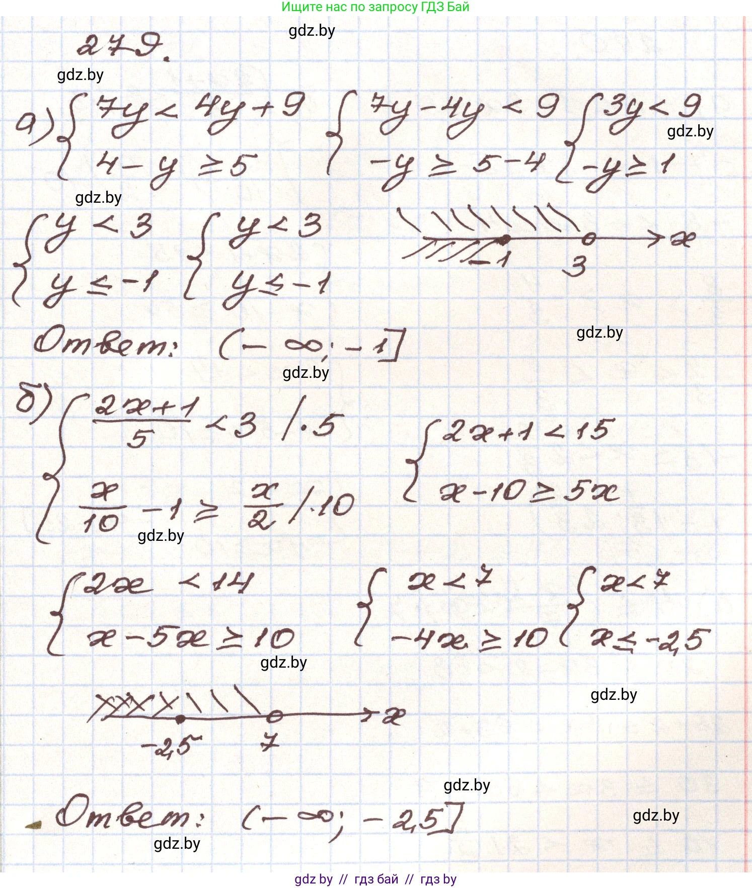
279. Решите систему неравенств:

a) $\begin{cases}7y < 4y + 9, \\4 - y \ge 5;\end{cases}$

б) $\begin{cases}\frac{2x + 1}{5} < 3, \\\frac{x}{10} - 1 \ge \frac{x}{2}.\end{cases}$

Решение. №279 (с. 296)
Алгебра, 9 класс Учебник, авторы: Арефьева Ирина Глебовна, Пирютко Ольга Николаевна, издательство Народная асвета, Минск, 2019, голубого цвета, страница 296, номер 279, Решение
Решение 2. №279 (с. 296)

а) Решим систему неравенств:

$\begin{cases} 7y < 4y + 9, \\ 4 - y \ge 5; \end{cases}$

1. Решим первое неравенство:

$7y < 4y + 9$

Перенесем слагаемые с переменной $y$ в левую часть, а числа - в правую:

$7y - 4y < 9$

$3y < 9$

Разделим обе части на 3:

$y < 3$

2. Решим второе неравенство:

$4 - y \ge 5$

Перенесем число 4 в правую часть:

$-y \ge 5 - 4$

$-y \ge 1$

Умножим обе части неравенства на -1, изменив при этом знак неравенства на противоположный:

$y \le -1$

3. Найдем пересечение решений.

Мы получили два условия: $y < 3$ и $y \le -1$. Решением системы будет множество значений $y$, удовлетворяющих обоим этим условиям одновременно. На числовой оси это пересечение промежутков $(-\infty; 3)$ и $(-\infty; -1]$.

Следовательно, решением системы является $y \le -1$.

Ответ: $(-\infty; -1]$.

б) Решим систему неравенств:

$\begin{cases} \frac{2x + 1}{5} < 3, \\ \frac{x}{10} - 1 \ge \frac{x}{2}; \end{cases}$

1. Решим первое неравенство:

$\frac{2x + 1}{5} < 3$

Умножим обе части неравенства на 5:

$2x + 1 < 15$

Перенесем 1 в правую часть:

$2x < 14$

Разделим обе части на 2:

$x < 7$

2. Решим второе неравенство:

$\frac{x}{10} - 1 \ge \frac{x}{2}$

Чтобы избавиться от дробей, умножим обе части неравенства на общий знаменатель, равный 10:

$10 \cdot (\frac{x}{10} - 1) \ge 10 \cdot \frac{x}{2}$

$x - 10 \ge 5x$

Перенесем слагаемые с переменной $x$ в одну сторону, а числа - в другую:

$x - 5x \ge 10$

$-4x \ge 10$

Разделим обе части на -4, изменив знак неравенства на противоположный:

$x \le -\frac{10}{4}$

Сократим дробь:

$x \le -\frac{5}{2}$

3. Найдем пересечение решений и выделим целую часть.

Мы получили два условия: $x < 7$ и $x \le -\frac{5}{2}$. Преобразуем неправильную дробь $-\frac{5}{2}$ в смешанное число: $-\frac{5}{2} = -2\frac{1}{2}$. Таким образом, второе условие: $x \le -2\frac{1}{2}$.

Решением системы будет пересечение промежутков $(-\infty; 7)$ и $(-\infty; -2\frac{1}{2}]$.

Следовательно, решением системы является $x \le -2\frac{1}{2}$.

Ответ: $(-\infty; -2\frac{1}{2}]$.

Помогло решение? Оставьте отзыв в комментариях ниже.

Присоединяйтесь к Телеграм-группе @gdz_by_belarus

Присоединиться

Мы подготовили для вас ответ c подробным объяснением домашего задания по алгебре за 9 класс, для упражнения номер 279 расположенного на странице 296 к учебнику 2019 года издания для учащихся школ и гимназий.

Теперь на нашем сайте ГДЗ.ТОП вы всегда легко и бесплатно найдёте условие с правильным ответом на вопрос «Как решить ДЗ» и «Как сделать» задание по алгебре к упражнению №279 (с. 296), авторов: Арефьева (Ирина Глебовна), Пирютко (Ольга Николаевна), учебного пособия издательства Народная асвета.