Номер 286, страница 297 - гдз по алгебре 9 класс учебник Арефьева, Пирютко

Алгебра, 9 класс Учебник, авторы: Арефьева Ирина Глебовна, Пирютко Ольга Николаевна, издательство Народная асвета, Минск, 2019, голубого цвета

Авторы: Арефьева И. Г., Пирютко О. Н.

Тип: Учебник

Издательство: Народная асвета

Год издания: 2019 - 2025

Цвет обложки: голубой, синий с графиком

ISBN: 978-985-03-3077-2

Допущено Министерством образования Республики Беларусь

Популярные ГДЗ в 9 классе

Итоговое повторение. Уравнения, неравенства, системы - номер 286, страница 297.

№286 (с. 297)
Условие. №286 (с. 297)
скриншот условия
Алгебра, 9 класс Учебник, авторы: Арефьева Ирина Глебовна, Пирютко Ольга Николаевна, издательство Народная асвета, Минск, 2019, голубого цвета, страница 297, номер 286, Условие

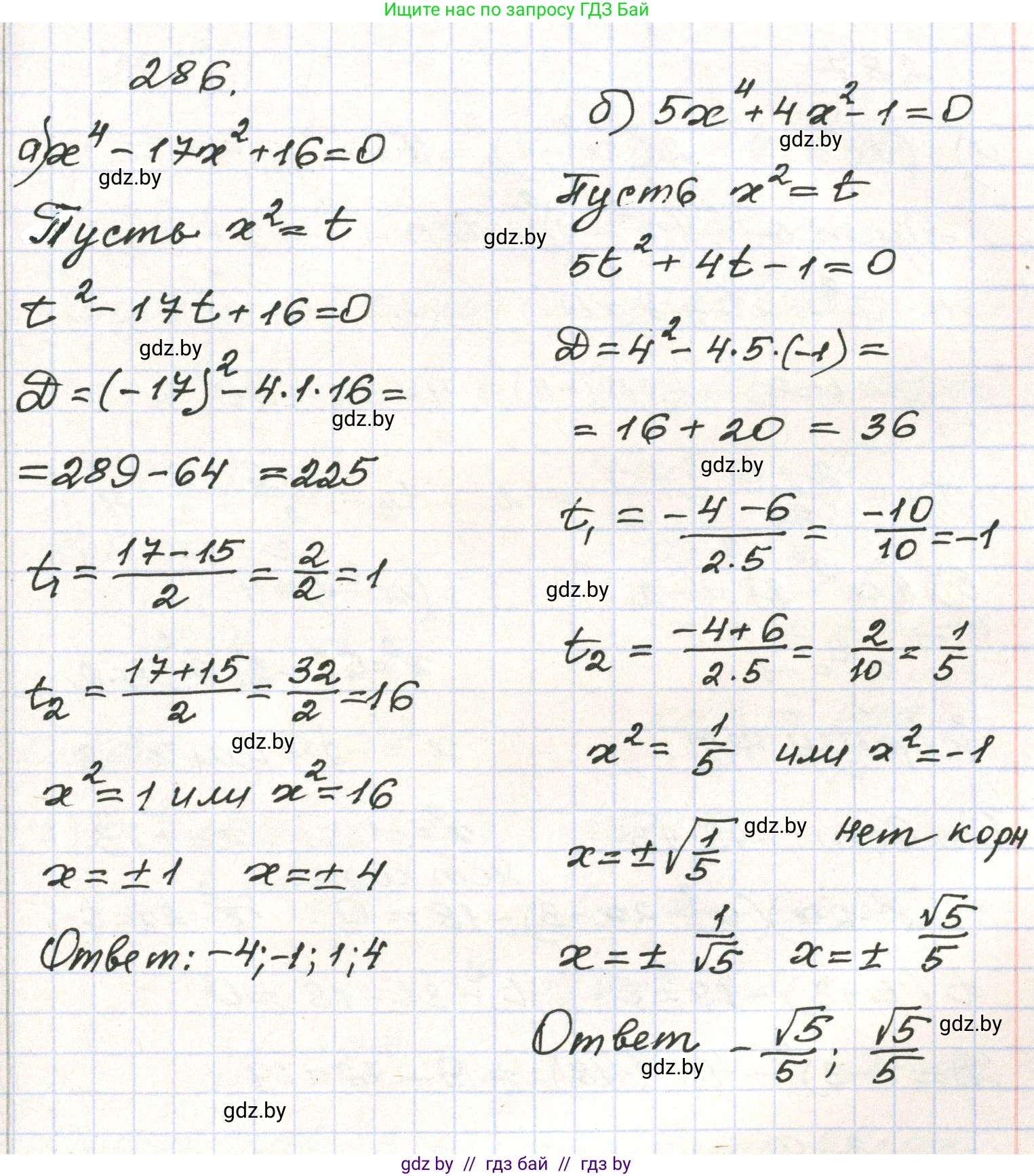
286. Решите биквадратное уравнение:

а) $x^4 - 17x^2 + 16 = 0;$

б) $5x^4 + 4x^2 - 1 = 0.$

Решение. №286 (с. 297)
Алгебра, 9 класс Учебник, авторы: Арефьева Ирина Глебовна, Пирютко Ольга Николаевна, издательство Народная асвета, Минск, 2019, голубого цвета, страница 297, номер 286, Решение
Решение 2. №286 (с. 297)

a) $x^4 - 17x^2 + 16 = 0$

Это биквадратное уравнение вида $ax^4 + bx^2 + c = 0$. Для его решения введем новую переменную.

Пусть $t = x^2$. Так как квадрат любого действительного числа неотрицателен, то $t \ge 0$.

Подставив $t$ в исходное уравнение, получим квадратное уравнение относительно $t$:

$t^2 - 17t + 16 = 0$

Решим это уравнение. Найдем дискриминант $D$:

$D = b^2 - 4ac = (-17)^2 - 4 \cdot 1 \cdot 16 = 289 - 64 = 225$

Поскольку $D > 0$, уравнение имеет два корня. $\sqrt{D} = \sqrt{225} = 15$.

Найдем корни для $t$:

$t_1 = \frac{-b - \sqrt{D}}{2a} = \frac{17 - 15}{2} = \frac{2}{2} = 1$

$t_2 = \frac{-b + \sqrt{D}}{2a} = \frac{17 + 15}{2} = \frac{32}{2} = 16$

Оба найденных значения для $t$ положительны ($1 > 0$ и $16 > 0$), поэтому они удовлетворяют условию $t \ge 0$.

Теперь вернемся к исходной переменной $x$, выполнив обратную замену:

1) При $t = 1$:
$x^2 = 1$
$x_1 = 1$, $x_2 = -1$

2) При $t = 16$:
$x^2 = 16$
$x_3 = 4$, $x_4 = -4$

Таким образом, биквадратное уравнение имеет четыре корня.

Ответ: -4, -1, 1, 4.

б) $5x^4 + 4x^2 - 1 = 0$

Это также биквадратное уравнение. Применим метод замены переменной.

Пусть $t = x^2$, при этом $t \ge 0$.

Получим следующее квадратное уравнение:

$5t^2 + 4t - 1 = 0$

Найдем дискриминант $D$ для этого уравнения:

$D = b^2 - 4ac = 4^2 - 4 \cdot 5 \cdot (-1) = 16 + 20 = 36$

$\sqrt{D} = \sqrt{36} = 6$.

Найдем корни для $t$:

$t_1 = \frac{-b - \sqrt{D}}{2a} = \frac{-4 - 6}{2 \cdot 5} = \frac{-10}{10} = -1$

$t_2 = \frac{-b + \sqrt{D}}{2a} = \frac{-4 + 6}{2 \cdot 5} = \frac{2}{10} = \frac{1}{5}$

Теперь проверим корни на соответствие условию $t \ge 0$.

Корень $t_1 = -1$ не удовлетворяет этому условию, следовательно, он является посторонним корнем.

Корень $t_2 = \frac{1}{5}$ удовлетворяет условию $t \ge 0$.

Выполним обратную замену для найденного значения $t$:

$x^2 = \frac{1}{5}$

Отсюда находим корни для $x$:

$x_1 = \sqrt{\frac{1}{5}} = \frac{\sqrt{5}}{5}$

$x_2 = -\sqrt{\frac{1}{5}} = -\frac{\sqrt{5}}{5}$

Уравнение имеет два действительных корня.

Ответ: $-\frac{\sqrt{5}}{5}, \frac{\sqrt{5}}{5}$.

Помогло решение? Оставьте отзыв в комментариях ниже.

Присоединяйтесь к Телеграм-группе @gdz_by_belarus

Присоединиться

Мы подготовили для вас ответ c подробным объяснением домашего задания по алгебре за 9 класс, для упражнения номер 286 расположенного на странице 297 к учебнику 2019 года издания для учащихся школ и гимназий.

Теперь на нашем сайте ГДЗ.ТОП вы всегда легко и бесплатно найдёте условие с правильным ответом на вопрос «Как решить ДЗ» и «Как сделать» задание по алгебре к упражнению №286 (с. 297), авторов: Арефьева (Ирина Глебовна), Пирютко (Ольга Николаевна), учебного пособия издательства Народная асвета.