Номер 282, страница 296 - гдз по алгебре 9 класс учебник Арефьева, Пирютко

Алгебра, 9 класс Учебник, авторы: Арефьева Ирина Глебовна, Пирютко Ольга Николаевна, издательство Народная асвета, Минск, 2019, голубого цвета

Авторы: Арефьева И. Г., Пирютко О. Н.

Тип: Учебник

Издательство: Народная асвета

Год издания: 2019 - 2025

Цвет обложки: голубой, синий с графиком

ISBN: 978-985-03-3077-2

Допущено Министерством образования Республики Беларусь

Популярные ГДЗ в 9 классе

Итоговое повторение. Уравнения, неравенства, системы - номер 282, страница 296.

№282 (с. 296)
Условие. №282 (с. 296)
скриншот условия
Алгебра, 9 класс Учебник, авторы: Арефьева Ирина Глебовна, Пирютко Ольга Николаевна, издательство Народная асвета, Минск, 2019, голубого цвета, страница 296, номер 282, Условие

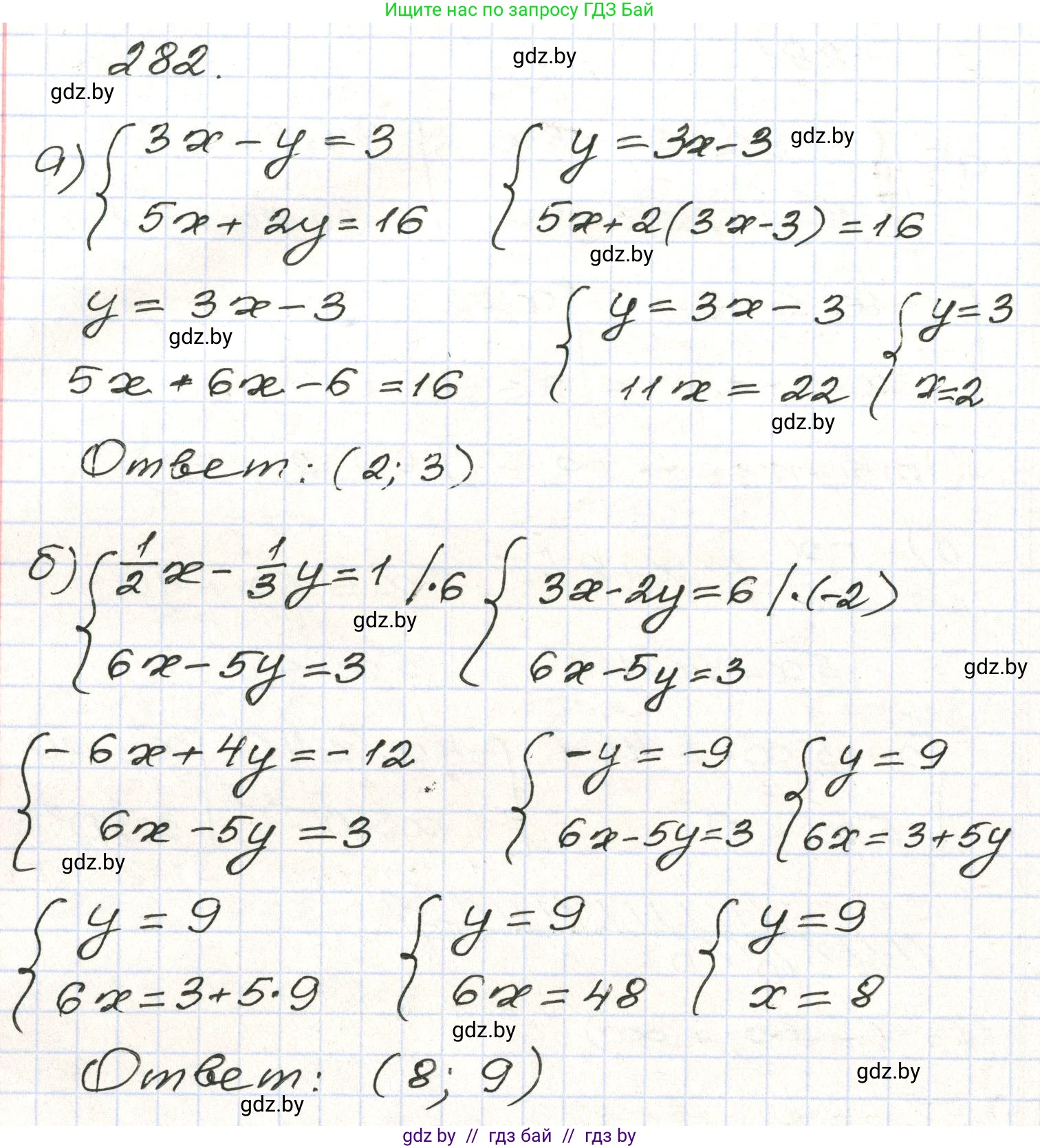
282. Решите систему уравнений:

а) $\begin{cases} 3x - y = 3, \\ 5x + 2y = 16; \end{cases}$

б) $\begin{cases} \frac{1}{2}x - \frac{1}{3}y = 1, \\ 6x - 5y = 3; \end{cases}$

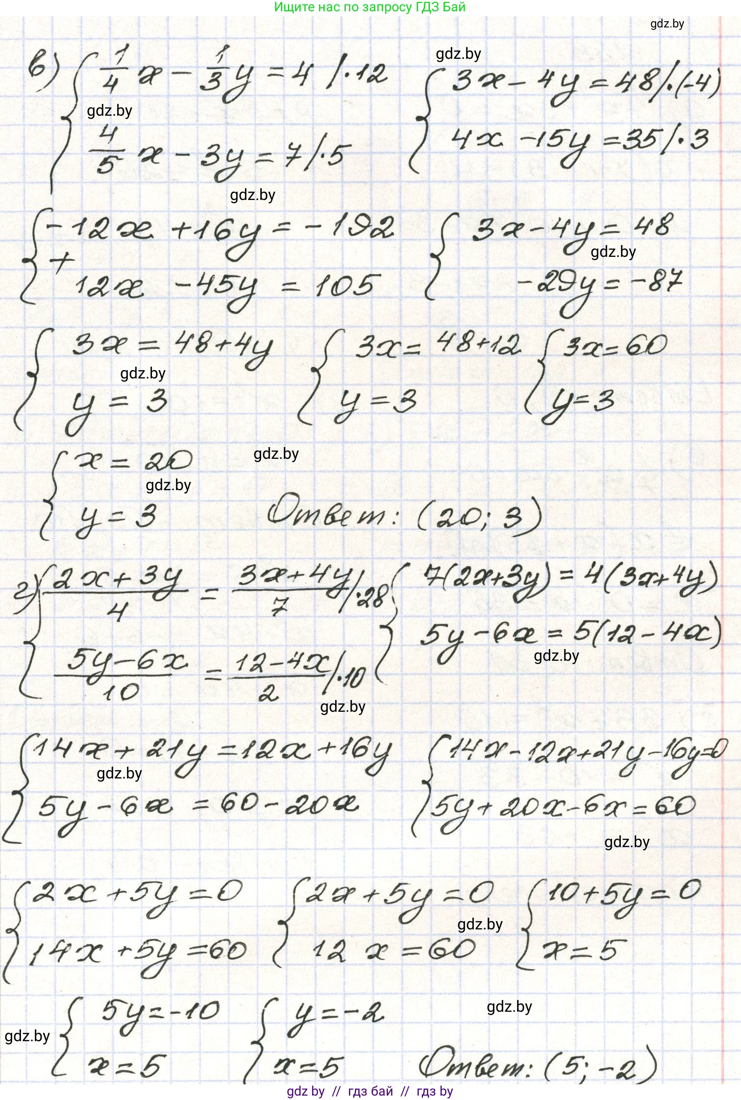
в) $\begin{cases} \frac{1}{4}x - \frac{1}{3}y = 4, \\ \frac{4}{5}x - 3y = 7; \end{cases}$

г) $\begin{cases} \frac{2x + 3y}{4} = \frac{3x + 4y}{7}, \\ \frac{5y - 6x}{10} = \frac{12 - 4x}{2}. \end{cases}$

Решение. №282 (с. 296)
Алгебра, 9 класс Учебник, авторы: Арефьева Ирина Глебовна, Пирютко Ольга Николаевна, издательство Народная асвета, Минск, 2019, голубого цвета, страница 296, номер 282, Решение Алгебра, 9 класс Учебник, авторы: Арефьева Ирина Глебовна, Пирютко Ольга Николаевна, издательство Народная асвета, Минск, 2019, голубого цвета, страница 296, номер 282, Решение (продолжение 2)
Решение 2. №282 (с. 296)

а) Дана система уравнений:

$$ \begin{cases} 3x - y = 3, \\ 5x + 2y = 16; \end{cases} $$

1. Выразим переменную $y$ из первого уравнения:

$y = 3x - 3$

2. Подставим полученное выражение для $y$ во второе уравнение системы:

$5x + 2(3x - 3) = 16$

3. Решим полученное уравнение:

$5x + 6x - 6 = 16$

$11x = 16 + 6$

$11x = 22$

$x = \frac{22}{11}$

$x = 2$

4. Найдем соответствующее значение $y$, подставив $x=2$ в выражение $y = 3x - 3$:

$y = 3(2) - 3 = 6 - 3 = 3$

Проверка:
$3(2) - 3 = 6 - 3 = 3$ (верно)
$5(2) + 2(3) = 10 + 6 = 16$ (верно)

Ответ: $x=2, y=3$.

б) Дана система уравнений:

$$ \begin{cases} \frac{1}{2}x - \frac{1}{3}y = 1, \\ 6x - 5y = 3; \end{cases} $$

1. Для удобства избавимся от дробей в первом уравнении. Умножим обе части первого уравнения на наименьшее общее кратное знаменателей (2 и 3), то есть на 6:

$6 \cdot (\frac{1}{2}x - \frac{1}{3}y) = 6 \cdot 1$

$3x - 2y = 6$

2. Теперь система имеет вид:

$$ \begin{cases} 3x - 2y = 6, \\ 6x - 5y = 3; \end{cases} $$

3. Решим систему методом сложения. Умножим первое уравнение на -2, чтобы коэффициенты при $x$ стали противоположными числами:

$-2(3x - 2y) = -2(6) \implies -6x + 4y = -12$

4. Сложим полученное уравнение со вторым уравнением системы:

$(-6x + 4y) + (6x - 5y) = -12 + 3$

$-y = -9$

$y = 9$

5. Подставим найденное значение $y=9$ в уравнение $3x - 2y = 6$:

$3x - 2(9) = 6$

$3x - 18 = 6$

$3x = 24$

$x = 8$

Ответ: $x=8, y=9$.

в) Дана система уравнений:

$$ \begin{cases} \frac{1}{4}x - \frac{1}{3}y = 4, \\ \frac{4}{5}x - 3y = 7; \end{cases} $$

1. Упростим уравнения, избавившись от дробей. Умножим первое уравнение на 12 (НОК 4 и 3), а второе на 5:

$12 \cdot (\frac{1}{4}x - \frac{1}{3}y) = 12 \cdot 4 \implies 3x - 4y = 48$

$5 \cdot (\frac{4}{5}x - 3y) = 5 \cdot 7 \implies 4x - 15y = 35$

2. Получили систему целочисленных уравнений:

$$ \begin{cases} 3x - 4y = 48, \\ 4x - 15y = 35; \end{cases} $$

3. Решим систему методом сложения. Умножим первое уравнение на 4, а второе на -3:

$4(3x - 4y) = 4(48) \implies 12x - 16y = 192$

$-3(4x - 15y) = -3(35) \implies -12x + 45y = -105$

4. Сложим полученные уравнения:

$(12x - 16y) + (-12x + 45y) = 192 + (-105)$

$29y = 87$

$y = \frac{87}{29} = 3$

5. Подставим $y=3$ в уравнение $3x - 4y = 48$:

$3x - 4(3) = 48$

$3x - 12 = 48$

$3x = 60$

$x = 20$

Ответ: $x=20, y=3$.

г) Дана система уравнений:

$$ \begin{cases} \frac{2x+3y}{4} = \frac{3x+4y}{7}, \\ \frac{5y-6x}{10} = \frac{12-4x}{2}; \end{cases} $$

1. Преобразуем оба уравнения, используя основное свойство пропорции (произведение крайних членов равно произведению средних):

Для первого уравнения:

$7(2x+3y) = 4(3x+4y)$

$14x + 21y = 12x + 16y$

$14x - 12x + 21y - 16y = 0$

$2x + 5y = 0$

Для второго уравнения:

$2(5y-6x) = 10(12-4x)$

Разделим обе части на 2 для упрощения:

$5y-6x = 5(12-4x)$

$5y-6x = 60 - 20x$

$20x - 6x + 5y = 60$

$14x + 5y = 60$

2. Получили эквивалентную систему:

$$ \begin{cases} 2x + 5y = 0, \\ 14x + 5y = 60; \end{cases} $$

3. Решим систему методом сложения. Вычтем первое уравнение из второго:

$(14x + 5y) - (2x + 5y) = 60 - 0$

$14x - 2x = 60$

$12x = 60$

$x = \frac{60}{12} = 5$

4. Подставим $x=5$ в первое упрощенное уравнение $2x + 5y = 0$:

$2(5) + 5y = 0$

$10 + 5y = 0$

$5y = -10$

$y = -2$

Ответ: $x=5, y=-2$.

Помогло решение? Оставьте отзыв в комментариях ниже.

Присоединяйтесь к Телеграм-группе @gdz_by_belarus

Присоединиться

Мы подготовили для вас ответ c подробным объяснением домашего задания по алгебре за 9 класс, для упражнения номер 282 расположенного на странице 296 к учебнику 2019 года издания для учащихся школ и гимназий.

Теперь на нашем сайте ГДЗ.ТОП вы всегда легко и бесплатно найдёте условие с правильным ответом на вопрос «Как решить ДЗ» и «Как сделать» задание по алгебре к упражнению №282 (с. 296), авторов: Арефьева (Ирина Глебовна), Пирютко (Ольга Николаевна), учебного пособия издательства Народная асвета.