Номер 287, страница 297 - гдз по алгебре 9 класс учебник Арефьева, Пирютко

Алгебра, 9 класс Учебник, авторы: Арефьева Ирина Глебовна, Пирютко Ольга Николаевна, издательство Народная асвета, Минск, 2019, голубого цвета

Авторы: Арефьева И. Г., Пирютко О. Н.

Тип: Учебник

Издательство: Народная асвета

Год издания: 2019 - 2025

Цвет обложки: голубой, синий с графиком

ISBN: 978-985-03-3077-2

Допущено Министерством образования Республики Беларусь

Популярные ГДЗ в 9 классе

Итоговое повторение. Уравнения, неравенства, системы - номер 287, страница 297.

№287 (с. 297)
Условие. №287 (с. 297)
скриншот условия
Алгебра, 9 класс Учебник, авторы: Арефьева Ирина Глебовна, Пирютко Ольга Николаевна, издательство Народная асвета, Минск, 2019, голубого цвета, страница 297, номер 287, Условие

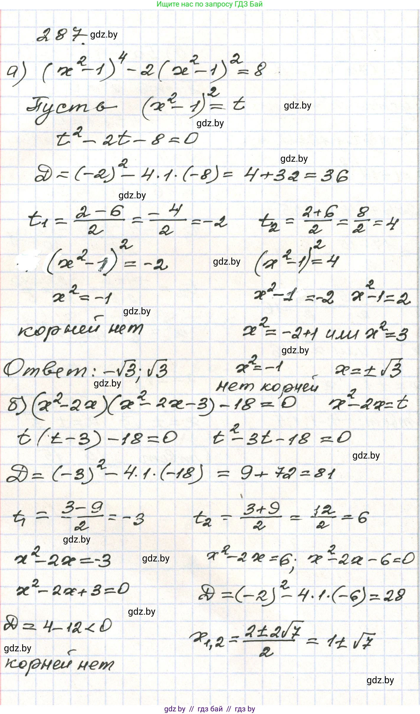
287. Решите уравнение, используя метод замены переменной:

а) $ (x^2 - 1)^4 - 2(x^2 - 1)^2 = 8; $

б) $ (x^2 - 2x)(x^2 - 2x - 3) - 18 = 0. $

Решение. №287 (с. 297)
Алгебра, 9 класс Учебник, авторы: Арефьева Ирина Глебовна, Пирютко Ольга Николаевна, издательство Народная асвета, Минск, 2019, голубого цвета, страница 297, номер 287, Решение
Решение 2. №287 (с. 297)

а) $(x^2 - 1)^4 - 2(x^2 - 1)^2 = 8$

Перенесем все члены уравнения в левую часть:

$(x^2 - 1)^4 - 2(x^2 - 1)^2 - 8 = 0$

Данное уравнение является биквадратным относительно выражения $(x^2 - 1)^2$. Для его решения введем замену переменной. Пусть $t = (x^2 - 1)^2$.

Важно отметить, что, поскольку $t$ является квадратом действительного числа, его значение не может быть отрицательным, то есть $t \ge 0$.

Подставим новую переменную $t$ в уравнение:

$t^2 - 2t - 8 = 0$

Получили квадратное уравнение относительно $t$. Решим его с помощью дискриминанта или по теореме Виета.

По теореме Виета, сумма корней равна $2$, а их произведение равно $-8$. Подбором находим корни:

$t_1 = 4$

$t_2 = -2$

Теперь необходимо проверить найденные корни на соответствие условию $t \ge 0$.

  • $t_1 = 4$ удовлетворяет условию $4 \ge 0$.
  • $t_2 = -2$ не удовлетворяет условию, так как $-2 < 0$. Следовательно, это посторонний корень.

Выполним обратную замену для единственного подходящего корня $t = 4$:

$(x^2 - 1)^2 = 4$

Извлекая квадратный корень из обеих частей, получаем два случая:

1) $x^2 - 1 = 2 \implies x^2 = 3 \implies x = \pm\sqrt{3}$

2) $x^2 - 1 = -2 \implies x^2 = -1$. Это уравнение не имеет действительных корней.

Ответ: $x = \pm\sqrt{3}$.

б) $(x^2 - 2x)(x^2 - 2x - 3) - 18 = 0$

Заметим, что в уравнении повторяется выражение $x^2 - 2x$. Применим метод замены переменной.

Пусть $y = x^2 - 2x$.

Подставим новую переменную $y$ в исходное уравнение:

$y(y - 3) - 18 = 0$

Раскроем скобки и приведем уравнение к стандартному квадратному виду:

$y^2 - 3y - 18 = 0$

Решим полученное квадратное уравнение. По теореме Виета, сумма корней равна $3$, а их произведение равно $-18$. Корни:

$y_1 = 6$

$y_2 = -3$

Теперь выполним обратную замену для каждого найденного значения $y$.

1) Для $y = 6$:

$x^2 - 2x = 6$

$x^2 - 2x - 6 = 0$

Найдем дискриминант $D$ этого уравнения:

$D = b^2 - 4ac = (-2)^2 - 4 \cdot 1 \cdot (-6) = 4 + 24 = 28$

Так как $D > 0$, уравнение имеет два корня:

$x = \frac{-b \pm \sqrt{D}}{2a} = \frac{2 \pm \sqrt{28}}{2} = \frac{2 \pm \sqrt{4 \cdot 7}}{2} = \frac{2 \pm 2\sqrt{7}}{2} = 1 \pm \sqrt{7}$

2) Для $y = -3$:

$x^2 - 2x = -3$

$x^2 - 2x + 3 = 0$

Найдем дискриминант $D$ этого уравнения:

$D = b^2 - 4ac = (-2)^2 - 4 \cdot 1 \cdot 3 = 4 - 12 = -8$

Так как $D < 0$, это уравнение не имеет действительных корней.

Объединяя результаты, получаем два корня исходного уравнения.

Ответ: $x = 1 \pm \sqrt{7}$.

Помогло решение? Оставьте отзыв в комментариях ниже.

Присоединяйтесь к Телеграм-группе @gdz_by_belarus

Присоединиться

Мы подготовили для вас ответ c подробным объяснением домашего задания по алгебре за 9 класс, для упражнения номер 287 расположенного на странице 297 к учебнику 2019 года издания для учащихся школ и гимназий.

Теперь на нашем сайте ГДЗ.ТОП вы всегда легко и бесплатно найдёте условие с правильным ответом на вопрос «Как решить ДЗ» и «Как сделать» задание по алгебре к упражнению №287 (с. 297), авторов: Арефьева (Ирина Глебовна), Пирютко (Ольга Николаевна), учебного пособия издательства Народная асвета.