Номер 293, страница 298 - гдз по алгебре 9 класс учебник Арефьева, Пирютко

Алгебра, 9 класс Учебник, авторы: Арефьева Ирина Глебовна, Пирютко Ольга Николаевна, издательство Народная асвета, Минск, 2019, голубого цвета

Авторы: Арефьева И. Г., Пирютко О. Н.

Тип: Учебник

Издательство: Народная асвета

Год издания: 2019 - 2025

Цвет обложки: голубой, синий с графиком

ISBN: 978-985-03-3077-2

Допущено Министерством образования Республики Беларусь

Популярные ГДЗ в 9 классе

Итоговое повторение. Уравнения, неравенства, системы - номер 293, страница 298.

№293 (с. 298)
Условие. №293 (с. 298)
скриншот условия
Алгебра, 9 класс Учебник, авторы: Арефьева Ирина Глебовна, Пирютко Ольга Николаевна, издательство Народная асвета, Минск, 2019, голубого цвета, страница 298, номер 293, Условие

293. Решите дробно-рациональное уравнение:

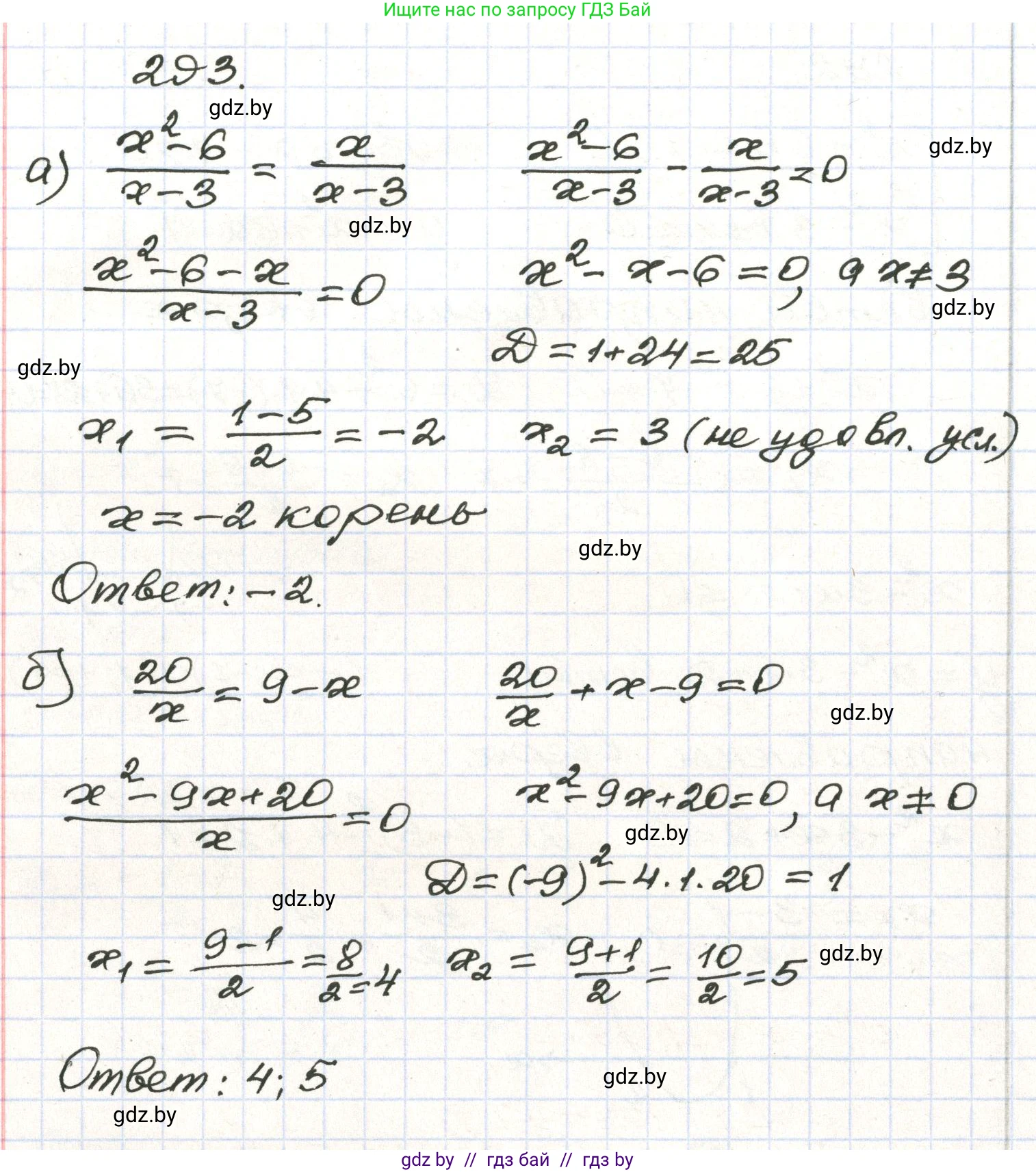
а) $ \frac{x^2 - 6}{x - 3} = \frac{x}{x - 3} $;

б) $ \frac{20}{x} = 9 - x $;

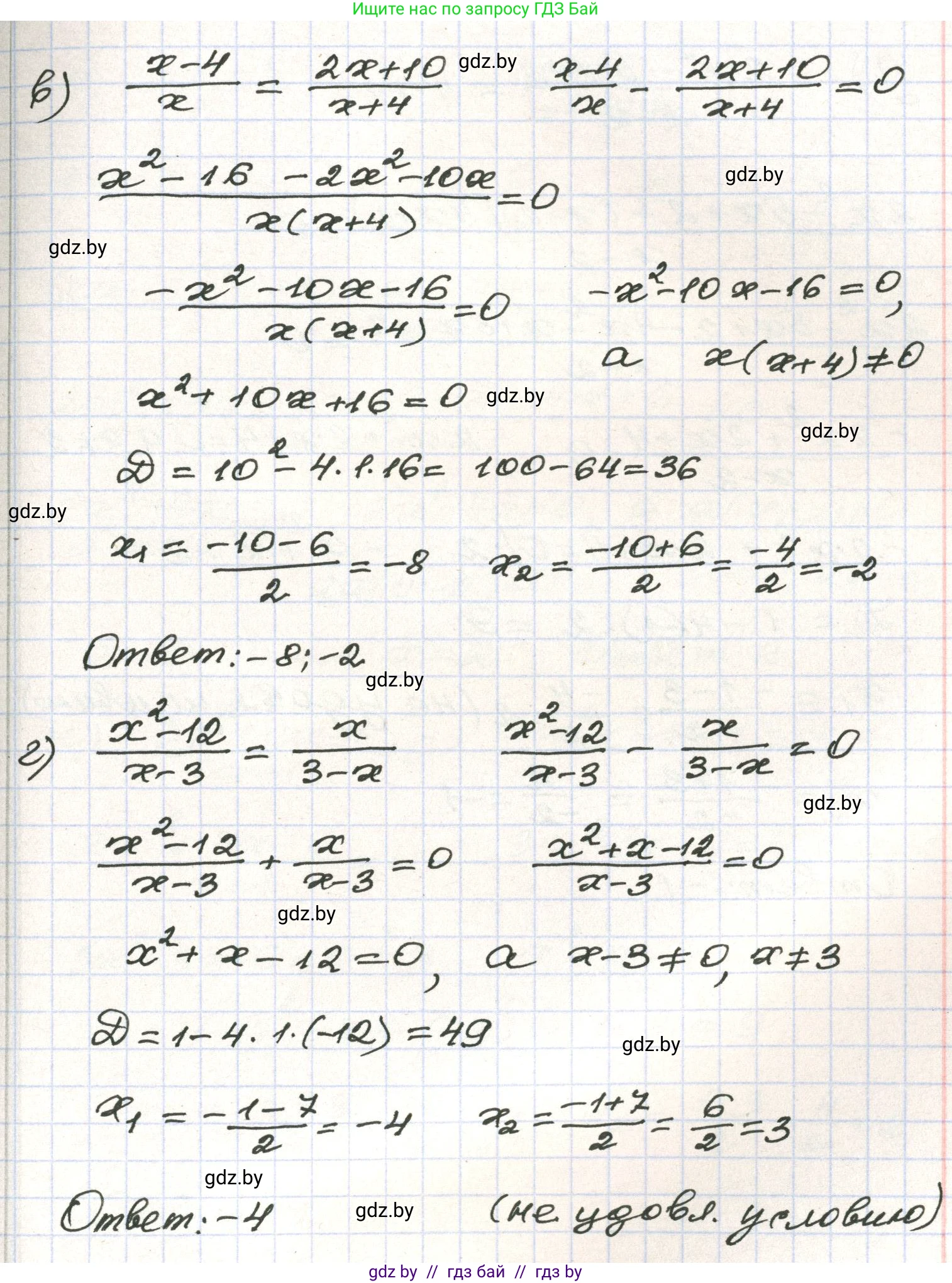
в) $ \frac{x - 4}{x} = \frac{2x + 10}{x + 4} $;

г) $ \frac{x^2 - 12}{x - 3} = \frac{x}{3 - x} $;

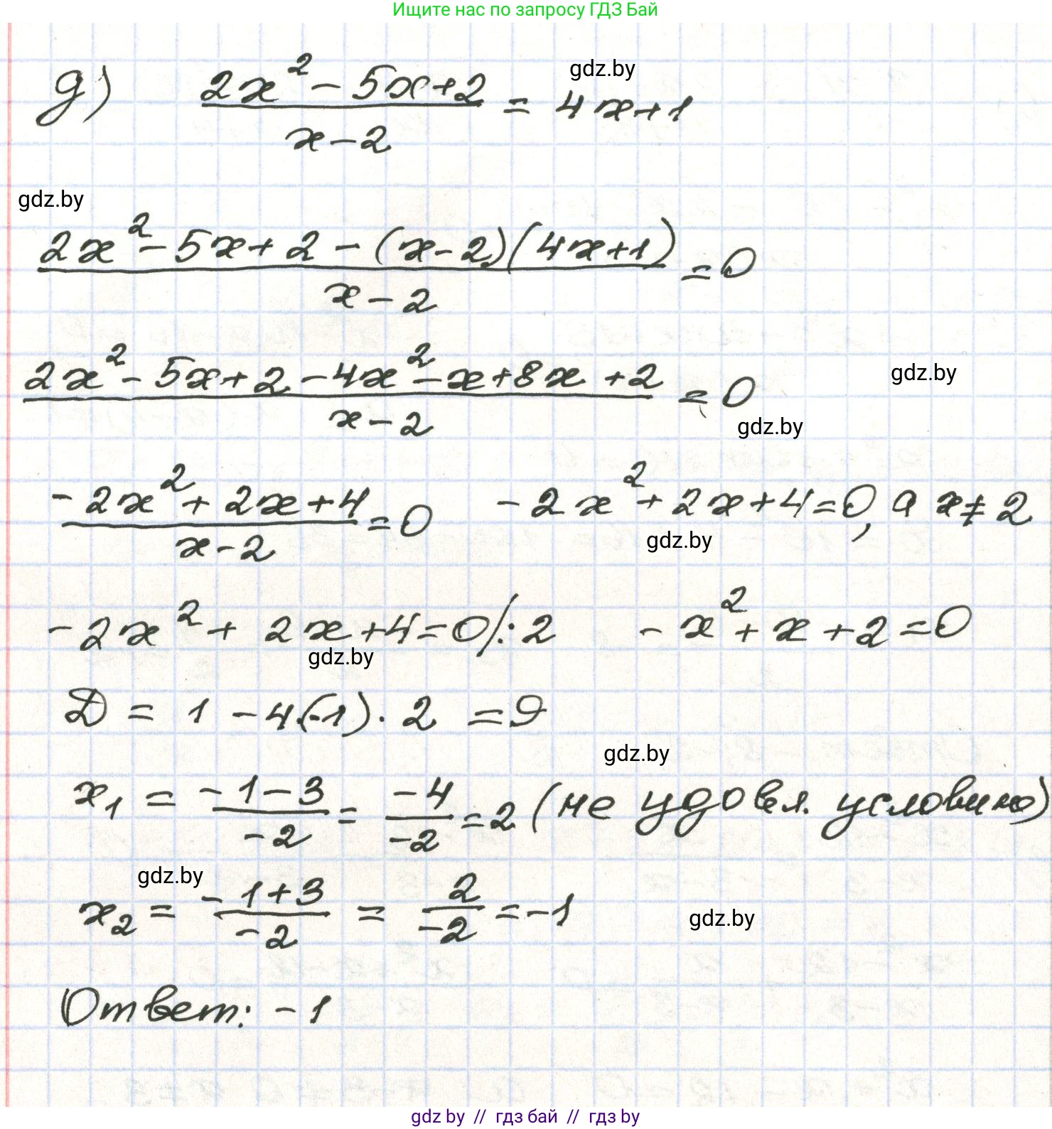
д) $ \frac{2x^2 - 5x + 2}{x - 2} = 4x + 1 $;

е) $ \frac{2x - 3}{x} - \frac{1}{x + 2} = \frac{4x - 6}{x^2 + 2x} $;

ж) $ \frac{3x^2 + 2x - 1}{x + 1} = 5 $;

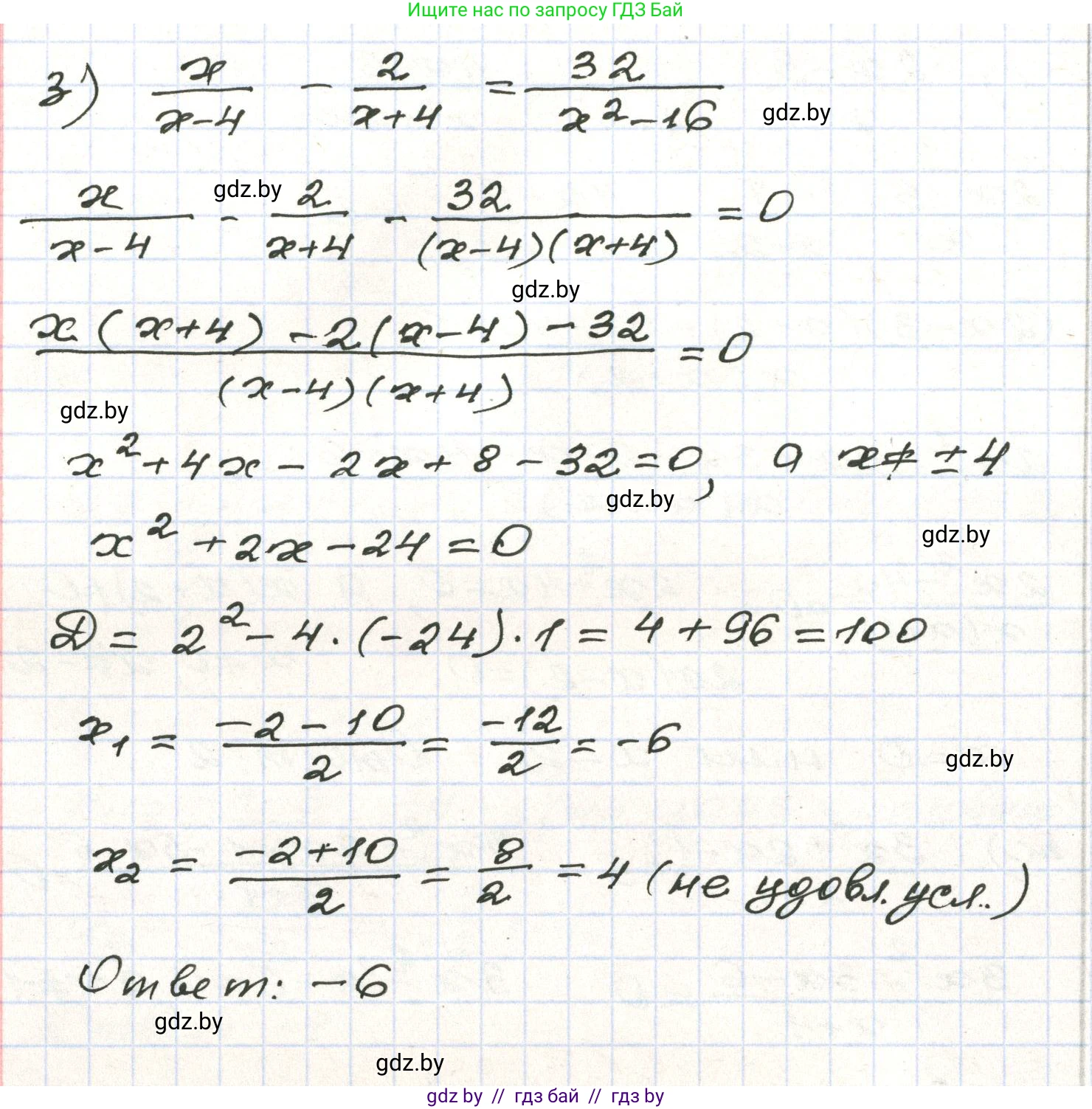
з) $ \frac{x}{x - 4} - \frac{2}{x + 4} = \frac{32}{x^2 - 16} $;

Решение. №293 (с. 298)
Алгебра, 9 класс Учебник, авторы: Арефьева Ирина Глебовна, Пирютко Ольга Николаевна, издательство Народная асвета, Минск, 2019, голубого цвета, страница 298, номер 293, Решение Алгебра, 9 класс Учебник, авторы: Арефьева Ирина Глебовна, Пирютко Ольга Николаевна, издательство Народная асвета, Минск, 2019, голубого цвета, страница 298, номер 293, Решение (продолжение 2) Алгебра, 9 класс Учебник, авторы: Арефьева Ирина Глебовна, Пирютко Ольга Николаевна, издательство Народная асвета, Минск, 2019, голубого цвета, страница 298, номер 293, Решение (продолжение 3) Алгебра, 9 класс Учебник, авторы: Арефьева Ирина Глебовна, Пирютко Ольга Николаевна, издательство Народная асвета, Минск, 2019, голубого цвета, страница 298, номер 293, Решение (продолжение 4) Алгебра, 9 класс Учебник, авторы: Арефьева Ирина Глебовна, Пирютко Ольга Николаевна, издательство Народная асвета, Минск, 2019, голубого цвета, страница 298, номер 293, Решение (продолжение 5)
Решение 2. №293 (с. 298)

а) Дано уравнение: $\frac{x^2 - 6}{x - 3} = \frac{x}{x - 3}$.
Область допустимых значений (ОДЗ): знаменатель не может быть равен нулю, поэтому $x - 3 \ne 0$, что означает $x \ne 3$.
Поскольку знаменатели в обеих частях уравнения одинаковы, мы можем приравнять числители, при условии, что решение не будет равно 3.
$x^2 - 6 = x$
$x^2 - x - 6 = 0$
Это квадратное уравнение. Решим его с помощью дискриминанта или теоремы Виета. По теореме Виета:
$x_1 + x_2 = 1$
$x_1 \cdot x_2 = -6$
Подбором находим корни: $x_1 = 3$ и $x_2 = -2$.
Теперь необходимо проверить корни на соответствие ОДЗ. Корень $x_1 = 3$ не удовлетворяет условию $x \ne 3$, следовательно, это посторонний корень. Корень $x_2 = -2$ удовлетворяет ОДЗ.
Ответ: -2.

б) Дано уравнение: $\frac{20}{x} = 9 - x$.
ОДЗ: $x \ne 0$.
Умножим обе части уравнения на $x$, чтобы избавиться от знаменателя:
$20 = x(9 - x)$
$20 = 9x - x^2$
Перенесем все члены в одну сторону, чтобы получить стандартное квадратное уравнение:
$x^2 - 9x + 20 = 0$
По теореме Виета:
$x_1 + x_2 = 9$
$x_1 \cdot x_2 = 20$
Подбором находим корни: $x_1 = 4$ и $x_2 = 5$.
Оба корня удовлетворяют ОДЗ ($x \ne 0$).
Ответ: 4; 5.

в) Дано уравнение: $\frac{x - 4}{x} = \frac{2x + 10}{x + 4}$.
ОДЗ: $x \ne 0$ и $x + 4 \ne 0$, то есть $x \ne -4$.
Воспользуемся свойством пропорции (перекрестное умножение):
$(x - 4)(x + 4) = x(2x + 10)$
Применим формулу разности квадратов слева и раскроем скобки справа:
$x^2 - 16 = 2x^2 + 10x$
$0 = 2x^2 - x^2 + 10x + 16$
$x^2 + 10x + 16 = 0$
По теореме Виета:
$x_1 + x_2 = -10$
$x_1 \cdot x_2 = 16$
Подбором находим корни: $x_1 = -2$ и $x_2 = -8$.
Оба корня удовлетворяют ОДЗ ($x \ne 0$ и $x \ne -4$).
Ответ: -8; -2.

г) Дано уравнение: $\frac{x^2 - 12}{x - 3} = \frac{x}{3 - x}$.
ОДЗ: $x - 3 \ne 0$ и $3 - x \ne 0$, что дает одно и то же условие $x \ne 3$.
Заметим, что $3 - x = -(x - 3)$. Перепишем уравнение:
$\frac{x^2 - 12}{x - 3} = -\frac{x}{x - 3}$
Умножим обе части на $(x-3)$:
$x^2 - 12 = -x$
$x^2 + x - 12 = 0$
По теореме Виета:
$x_1 + x_2 = -1$
$x_1 \cdot x_2 = -12$
Подбором находим корни: $x_1 = 3$ и $x_2 = -4$.
Проверяем по ОДЗ: $x_1 = 3$ не является решением (посторонний корень). $x_2 = -4$ удовлетворяет ОДЗ.
Ответ: -4.

д) Дано уравнение: $\frac{2x^2 - 5x + 2}{x - 2} = 4x + 1$.
ОДЗ: $x - 2 \ne 0$, то есть $x \ne 2$.
Умножим обе части уравнения на $(x - 2)$:
$2x^2 - 5x + 2 = (4x + 1)(x - 2)$
$2x^2 - 5x + 2 = 4x^2 - 8x + x - 2$
$2x^2 - 5x + 2 = 4x^2 - 7x - 2$
$0 = 2x^2 - 2x - 4$
Разделим все уравнение на 2:
$x^2 - x - 2 = 0$
По теореме Виета:
$x_1 + x_2 = 1$
$x_1 \cdot x_2 = -2$
Подбором находим корни: $x_1 = 2$ и $x_2 = -1$.
Проверяем по ОДЗ: $x_1 = 2$ не является решением (посторонний корень). $x_2 = -1$ удовлетворяет ОДЗ.
Ответ: -1.

е) Дано уравнение: $\frac{2x - 3}{x} - \frac{1}{x + 2} = \frac{4x - 6}{x^2 + 2x}$.
ОДЗ: $x \ne 0$, $x + 2 \ne 0 \implies x \ne -2$, $x^2 + 2x = x(x+2) \ne 0$. Все условия сводятся к $x \ne 0$ и $x \ne -2$.
Общий знаменатель $x(x+2)$. Умножим все уравнение на него:
$(2x - 3)(x + 2) - 1 \cdot x = 4x - 6$
$2x^2 + 4x - 3x - 6 - x = 4x - 6$
$2x^2 - 6 = 4x - 6$
$2x^2 - 4x = 0$
$2x(x - 2) = 0$
Отсюда $x_1 = 0$ или $x_2 = 2$.
Проверяем по ОДЗ: $x_1 = 0$ не является решением (посторонний корень). $x_2 = 2$ удовлетворяет ОДЗ.
Ответ: 2.

ж) Дано уравнение: $\frac{3x^2 + 2x - 1}{x + 1} = 5$.
ОДЗ: $x + 1 \ne 0$, то есть $x \ne -1$.
Умножим обе части на $(x+1)$:
$3x^2 + 2x - 1 = 5(x + 1)$
$3x^2 + 2x - 1 = 5x + 5$
$3x^2 - 3x - 6 = 0$
Разделим все уравнение на 3:
$x^2 - x - 2 = 0$
По теореме Виета:
$x_1 + x_2 = 1$
$x_1 \cdot x_2 = -2$
Подбором находим корни: $x_1 = 2$ и $x_2 = -1$.
Проверяем по ОДЗ: $x_2 = -1$ не является решением (посторонний корень). $x_1 = 2$ удовлетворяет ОДЗ.
Ответ: 2.

з) Дано уравнение: $\frac{x}{x - 4} - \frac{2}{x + 4} = \frac{32}{x^2 - 16}$.
ОДЗ: $x - 4 \ne 0 \implies x \ne 4$, $x + 4 \ne 0 \implies x \ne -4$. Знаменатель $x^2-16 = (x-4)(x+4)$ дает те же условия.
Общий знаменатель $(x-4)(x+4)$. Умножим все уравнение на него:
$x(x + 4) - 2(x - 4) = 32$
$x^2 + 4x - 2x + 8 = 32$
$x^2 + 2x + 8 - 32 = 0$
$x^2 + 2x - 24 = 0$
По теореме Виета:
$x_1 + x_2 = -2$
$x_1 \cdot x_2 = -24$
Подбором находим корни: $x_1 = 4$ и $x_2 = -6$.
Проверяем по ОДЗ: $x_1 = 4$ не является решением (посторонний корень). $x_2 = -6$ удовлетворяет ОДЗ.
Ответ: -6.

Помогло решение? Оставьте отзыв в комментариях ниже.

Присоединяйтесь к Телеграм-группе @gdz_by_belarus

Присоединиться

Мы подготовили для вас ответ c подробным объяснением домашего задания по алгебре за 9 класс, для упражнения номер 293 расположенного на странице 298 к учебнику 2019 года издания для учащихся школ и гимназий.

Теперь на нашем сайте ГДЗ.ТОП вы всегда легко и бесплатно найдёте условие с правильным ответом на вопрос «Как решить ДЗ» и «Как сделать» задание по алгебре к упражнению №293 (с. 298), авторов: Арефьева (Ирина Глебовна), Пирютко (Ольга Николаевна), учебного пособия издательства Народная асвета.