Номер 283, страница 297 - гдз по алгебре 9 класс учебник Арефьева, Пирютко

Алгебра, 9 класс Учебник, авторы: Арефьева Ирина Глебовна, Пирютко Ольга Николаевна, издательство Народная асвета, Минск, 2019, голубого цвета

Авторы: Арефьева И. Г., Пирютко О. Н.

Тип: Учебник

Издательство: Народная асвета

Год издания: 2019 - 2025

Цвет обложки: голубой, синий с графиком

ISBN: 978-985-03-3077-2

Допущено Министерством образования Республики Беларусь

Популярные ГДЗ в 9 классе

Итоговое повторение. Уравнения, неравенства, системы - номер 283, страница 297.

№283 (с. 297)
Условие. №283 (с. 297)
скриншот условия
Алгебра, 9 класс Учебник, авторы: Арефьева Ирина Глебовна, Пирютко Ольга Николаевна, издательство Народная асвета, Минск, 2019, голубого цвета, страница 297, номер 283, Условие

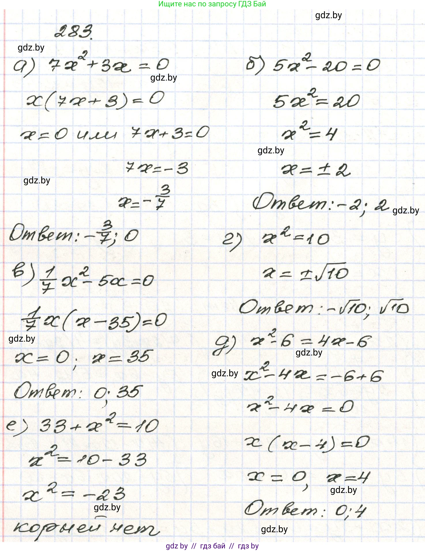
283. Решите неполное квадратное уравнение:

a) $7x^2 + 3x = 0;$

б) $5x^2 - 20 = 0;$

в) $\frac{1}{7}x^2 - 5x = 0;$

г) $x^2 = 10;$

д) $x^2 - 6 = 4x - 6;$

е) $33 + x^2 = 10.$

Решение. №283 (с. 297)
Алгебра, 9 класс Учебник, авторы: Арефьева Ирина Глебовна, Пирютко Ольга Николаевна, издательство Народная асвета, Минск, 2019, голубого цвета, страница 297, номер 283, Решение
Решение 2. №283 (с. 297)

а) $7x^2 + 3x = 0$

Это неполное квадратное уравнение, в котором свободный член $c=0$. Для его решения выносим общий множитель $x$ за скобки:

$x(7x + 3) = 0$

Произведение равно нулю, если один из множителей равен нулю. Отсюда получаем два возможных решения:

1) $x_1 = 0$

2) $7x + 3 = 0 \implies 7x = -3 \implies x_2 = -\frac{3}{7}$

Ответ: $x_1 = 0, x_2 = -\frac{3}{7}$.

б) $5x^2 - 20 = 0$

Это неполное квадратное уравнение, в котором коэффициент $b=0$. Перенесем свободный член в правую часть и разделим на коэффициент при $x^2$:

$5x^2 = 20$

$x^2 = \frac{20}{5}$

$x^2 = 4$

Извлекаем квадратный корень из обеих частей уравнения:

$x = \pm\sqrt{4}$

Ответ: $x = \pm 2$.

в) $\frac{1}{7}x^2 - 5x = 0$

Это неполное квадратное уравнение, где $c=0$. Вынесем общий множитель $x$ за скобки:

$x(\frac{1}{7}x - 5) = 0$

Приравниваем каждый из множителей к нулю:

1) $x_1 = 0$

2) $\frac{1}{7}x - 5 = 0 \implies \frac{1}{7}x = 5 \implies x_2 = 35$

Ответ: $x_1 = 0, x_2 = 35$.

г) $x^2 = 10$

Это неполное квадратное уравнение, уже приведенное к виду $x^2 = k$. Для нахождения $x$ извлекаем квадратный корень из обеих частей:

$x = \pm\sqrt{10}$

Ответ: $x = \pm\sqrt{10}$.

д) $x^2 - 6 = 4x - 6$

Сначала упростим уравнение, перенеся все члены в одну сторону:

$x^2 - 4x - 6 + 6 = 0$

$x^2 - 4x = 0$

Получили неполное квадратное уравнение. Вынесем $x$ за скобки:

$x(x - 4) = 0$

Приравниваем каждый множитель к нулю:

1) $x_1 = 0$

2) $x - 4 = 0 \implies x_2 = 4$

Ответ: $x_1 = 0, x_2 = 4$.

е) $33 + x^2 = 10$

Перенесем число 33 в правую часть уравнения, чтобы выразить $x^2$:

$x^2 = 10 - 33$

$x^2 = -23$

Квадрат действительного числа не может быть отрицательным. Следовательно, у данного уравнения нет действительных корней.

Ответ: нет действительных корней.

Помогло решение? Оставьте отзыв в комментариях ниже.

Присоединяйтесь к Телеграм-группе @gdz_by_belarus

Присоединиться

Мы подготовили для вас ответ c подробным объяснением домашего задания по алгебре за 9 класс, для упражнения номер 283 расположенного на странице 297 к учебнику 2019 года издания для учащихся школ и гимназий.

Теперь на нашем сайте ГДЗ.ТОП вы всегда легко и бесплатно найдёте условие с правильным ответом на вопрос «Как решить ДЗ» и «Как сделать» задание по алгебре к упражнению №283 (с. 297), авторов: Арефьева (Ирина Глебовна), Пирютко (Ольга Николаевна), учебного пособия издательства Народная асвета.