Номер 5.1, страница 33 - гдз по алгебре 10 класс сборник задач Арефьева, Пирютко

Алгебра, 10 класс Сборник задач, авторы: Арефьева Ирина Глебовна, Пирютко Ольга Николаевна, издательство Народная асвета, Минск, 2020, белого цвета

Авторы: Арефьева И. Г., Пирютко О. Н.

Тип: Сборник задач

Издательство: Народная асвета

Год издания: 2020 - 2025

Уровень обучения: базовый и повышенный

Цвет обложки: белый, голубой с графиком

Допущено Министерством образования Республики Беларусь

Популярные ГДЗ в 10 классе

Глава 2. Многочлены. Параграф 5. Многочлены - номер 5.1, страница 33.

№5.1 (с. 33)
Условие. №5.1 (с. 33)
скриншот условия
Алгебра, 10 класс Сборник задач, авторы: Арефьева Ирина Глебовна, Пирютко Ольга Николаевна, издательство Народная асвета, Минск, 2020, белого цвета, страница 33, номер 5.1, Условие

5.1. Разделите «уголком» многочлен $P(x)$ на многочлен $Q(x)$, назовите частное и остаток:

а) $P(x) = x^3 - 3x^2 + 5x - 6$, $Q(x) = x - 2$;

б) $P(x) = x^4 - 4x^3 - x^2 - 7x + 1$, $Q(x) = x + 3$;

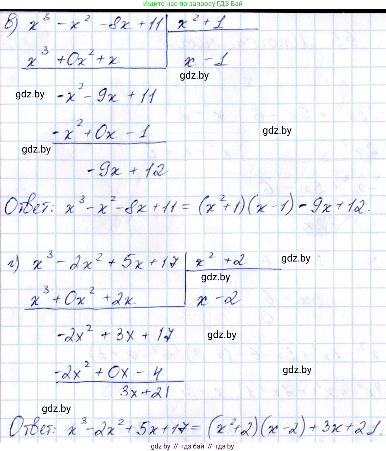
в) $P(x) = x^3 - x^2 - 8x + 11$, $Q(x) = x^2 + 1$;

г) $P(x) = x^3 - 2x^2 + 5x + 17$, $Q(x) = x^2 + 2$.

Решение. №5.1 (с. 33)
Алгебра, 10 класс Сборник задач, авторы: Арефьева Ирина Глебовна, Пирютко Ольга Николаевна, издательство Народная асвета, Минск, 2020, белого цвета, страница 33, номер 5.1, Решение Алгебра, 10 класс Сборник задач, авторы: Арефьева Ирина Глебовна, Пирютко Ольга Николаевна, издательство Народная асвета, Минск, 2020, белого цвета, страница 33, номер 5.1, Решение (продолжение 2)
Решение 2. №5.1 (с. 33)

а) Разделим многочлен $P(x) = x^3 - 3x^2 + 5x - 6$ на многочлен $Q(x) = x - 2$ столбиком (уголком).

Процесс деления выглядит следующим образом:

 x³ - 3x² + 5x - 6 | x - 2 - (x³ - 2x²) |---------- ------------- | x² - x + 3 -x² + 5x - (-x² + 2x) ---------- 3x - 6 - (3x - 6) -------- 0

Пошаговое решение:

  1. Делим старший член делимого ($x^3$) на старший член делителя ($x$), получаем $x^3 / x = x^2$. Это первый член частного.
  2. Умножаем $x^2$ на делитель $(x-2)$: $x^2(x-2) = x^3 - 2x^2$.
  3. Вычитаем результат из делимого: $(x^3 - 3x^2) - (x^3 - 2x^2) = -x^2$. Сносим следующий член ($+5x$), получаем $-x^2 + 5x$.
  4. Делим старший член нового остатка ($-x^2$) на старший член делителя ($x$), получаем $-x^2 / x = -x$. Это второй член частного.
  5. Умножаем $-x$ на делитель $(x-2)$: $-x(x-2) = -x^2 + 2x$.
  6. Вычитаем результат: $(-x^2 + 5x) - (-x^2 + 2x) = 3x$. Сносим следующий член ($-6$), получаем $3x - 6$.
  7. Делим старший член нового остатка ($3x$) на старший член делителя ($x$), получаем $3x / x = 3$. Это третий член частного.
  8. Умножаем $3$ на делитель $(x-2)$: $3(x-2) = 3x - 6$.
  9. Вычитаем результат: $(3x - 6) - (3x - 6) = 0$.

Деление завершено. В результате мы получили частное (целую часть) и остаток.

Ответ: Частное (целая часть): $x^2 - x + 3$, остаток: $0$.

б) Разделим многочлен $P(x) = x^4 - 4x^3 - x^2 - 7x + 1$ на многочлен $Q(x) = x + 3$.

Процесс деления столбиком:

 x⁴ - 4x³ - x² - 7x + 1 | x + 3 - (x⁴ + 3x³) |----------------------- ----------------- | x³ - 7x² + 20x - 67 -7x³ - x² - (-7x³ - 21x²) ------------- 20x² - 7x - (20x² + 60x) ------------ -67x + 1 - (-67x - 201) ------------ 202

Пошаговое решение:

  1. Делим $x^4$ на $x$, получаем $x^3$. Умножаем $x^3$ на $(x+3)$ и вычитаем из делимого: $(x^4 - 4x^3) - (x^4 + 3x^3) = -7x^3$. Сносим $-x^2$.
  2. Делим $-7x^3$ на $x$, получаем $-7x^2$. Умножаем $-7x^2$ на $(x+3)$ и вычитаем: $(-7x^3 - x^2) - (-7x^3 - 21x^2) = 20x^2$. Сносим $-7x$.
  3. Делим $20x^2$ на $x$, получаем $20x$. Умножаем $20x$ на $(x+3)$ и вычитаем: $(20x^2 - 7x) - (20x^2 + 60x) = -67x$. Сносим $+1$.
  4. Делим $-67x$ на $x$, получаем $-67$. Умножаем $-67$ на $(x+3)$ и вычитаем: $(-67x + 1) - (-67x - 201) = 202$.

Степень остатка ($0$) меньше степени делителя ($1$), деление завершено.

Ответ: Частное (целая часть): $x^3 - 7x^2 + 20x - 67$, остаток: $202$.

в) Разделим многочлен $P(x) = x^3 - x^2 - 8x + 11$ на многочлен $Q(x) = x^2 + 1$.

При делении учтем, что в делителе отсутствует член с $x$ (его коэффициент равен 0).

 x³ - x² - 8x + 11 | x² + 1 - (x³ + x) |---------- -------------- | x - 1 -x² - 9x + 11 - (-x² - 1) ------------- -9x + 12

Пошаговое решение:

  1. Делим $x^3$ на $x^2$, получаем $x$. Умножаем $x$ на $(x^2+1)$, получаем $x^3+x$. Вычитаем: $(x^3 - x^2 - 8x) - (x^3 + x) = -x^2 - 9x$. Сносим $+11$.
  2. Делим $-x^2$ на $x^2$, получаем $-1$. Умножаем $-1$ на $(x^2+1)$, получаем $-x^2-1$. Вычитаем: $(-x^2 - 9x + 11) - (-x^2 - 1) = -9x + 12$.

Степень остатка ($-9x+12$) равна $1$, что меньше степени делителя ($x^2+1$), равной $2$. Деление завершено.

Ответ: Частное (целая часть): $x - 1$, остаток: $-9x + 12$.

г) Разделим многочлен $P(x) = x^3 - 2x^2 + 5x + 17$ на многочлен $Q(x) = x^2 + 2$.

Процесс деления столбиком:

 x³ - 2x² + 5x + 17 | x² + 2 - (x³ + 2x) |---------- -------------- | x - 2 -2x² + 3x + 17 - (-2x² - 4) -------------- 3x + 21

Пошаговое решение:

  1. Делим $x^3$ на $x^2$, получаем $x$. Умножаем $x$ на $(x^2+2)$, получаем $x^3+2x$. Вычитаем: $(x^3 - 2x^2 + 5x) - (x^3 + 2x) = -2x^2 + 3x$. Сносим $+17$.
  2. Делим $-2x^2$ на $x^2$, получаем $-2$. Умножаем $-2$ на $(x^2+2)$, получаем $-2x^2-4$. Вычитаем: $(-2x^2 + 3x + 17) - (-2x^2 - 4) = 3x + 21$.

Степень остатка ($3x+21$) равна $1$, что меньше степени делителя ($x^2+2$), равной $2$. Деление завершено.

Ответ: Частное (целая часть): $x - 2$, остаток: $3x + 21$.

Помогло решение? Оставьте отзыв в комментариях ниже.

Присоединяйтесь к Телеграм-группе @gdz_by_belarus

Присоединиться

Мы подготовили для вас ответ c подробным объяснением домашего задания по алгебре за 10 класс, для упражнения номер 5.1 расположенного на странице 33 к сборнику задач 2020 года издания для учащихся школ и гимназий.

Теперь на нашем сайте ГДЗ.ТОП вы всегда легко и бесплатно найдёте условие с правильным ответом на вопрос «Как решить ДЗ» и «Как сделать» задание по алгебре к упражнению №5.1 (с. 33), авторов: Арефьева (Ирина Глебовна), Пирютко (Ольга Николаевна), базовый и повышенный уровень обучения учебного пособия издательства Народная асвета.