Номер 26.2, страница 126 - гдз по алгебре 10 класс сборник задач Арефьева, Пирютко

Алгебра, 10 класс Сборник задач, авторы: Арефьева Ирина Глебовна, Пирютко Ольга Николаевна, издательство Народная асвета, Минск, 2020, белого цвета

Авторы: Арефьева И. Г., Пирютко О. Н.

Тип: Сборник задач

Издательство: Народная асвета

Год издания: 2020 - 2025

Уровень обучения: базовый и повышенный

Цвет обложки: белый, голубой с графиком

Допущено Министерством образования Республики Беларусь

Популярные ГДЗ в 10 классе

Глава 5. Производная. Параграф 26. Производная сложной функции. Производная обратной функции. Производные тригонометрических функций - номер 26.2, страница 126.

№26.2 (с. 126)
Условие. №26.2 (с. 126)
скриншот условия
Алгебра, 10 класс Сборник задач, авторы: Арефьева Ирина Глебовна, Пирютко Ольга Николаевна, издательство Народная асвета, Минск, 2020, белого цвета, страница 126, номер 26.2, Условие

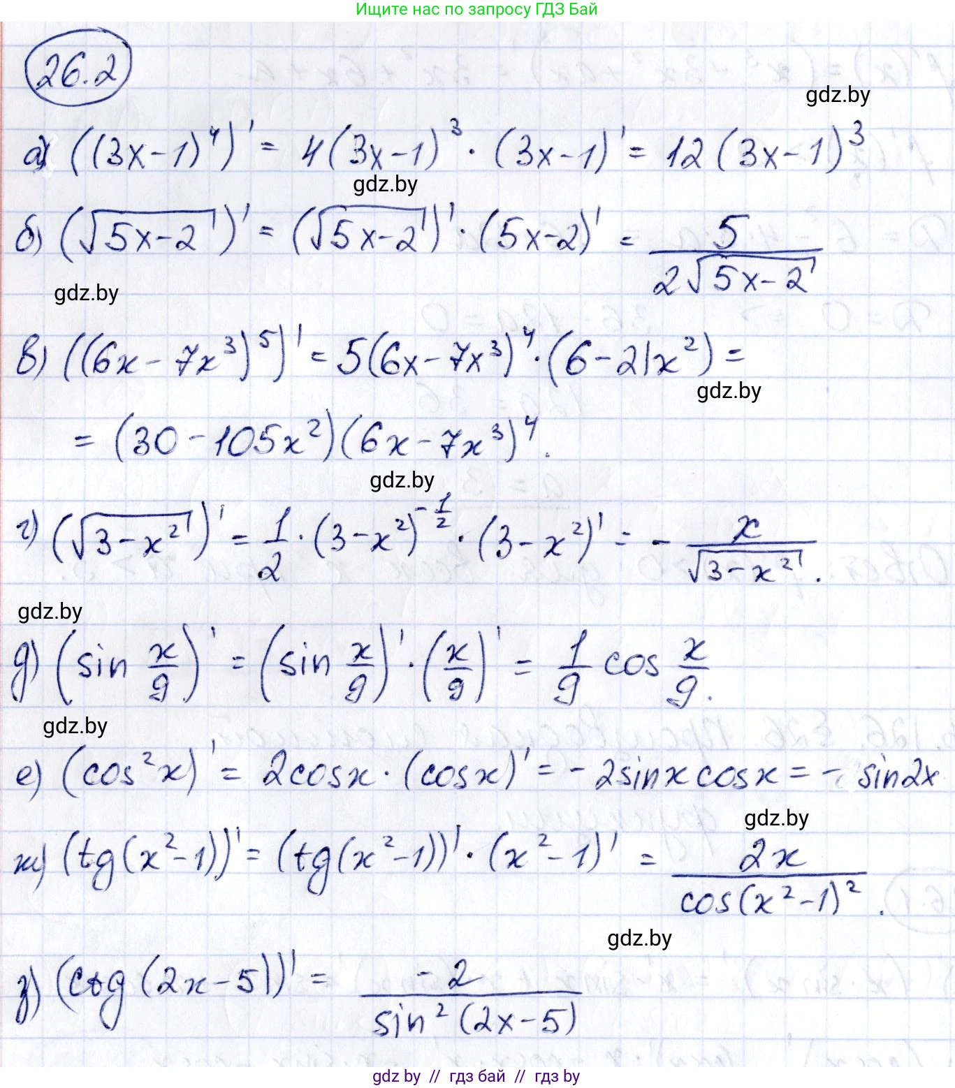
26.2. Найдите производную сложной функции:

а) $f(x) = (3x - 1)^4$;

б) $f(x) = \sqrt{5x - 2}$;

в) $f(x) = (6x - 7x^3)^5$;

г) $f(x) = \sqrt{3 - x^2}$;

д) $f(x) = \sin \frac{x}{9}$;

е) $f(x) = \cos^2 x$;

ж) $f(x) = \tan(x^2 - 1)$;

з) $f(x) = \cot(2x - 5)$.

Решение. №26.2 (с. 126)
Алгебра, 10 класс Сборник задач, авторы: Арефьева Ирина Глебовна, Пирютко Ольга Николаевна, издательство Народная асвета, Минск, 2020, белого цвета, страница 126, номер 26.2, Решение
Решение 2. №26.2 (с. 126)

а) Для нахождения производной сложной функции $f(x) = g(h(x))$ используется правило дифференцирования сложной функции (цепное правило): $(g(h(x)))' = g'(h(x)) \cdot h'(x)$.
В данном случае функция $f(x) = (3x - 1)^4$.
Определим внешнюю и внутреннюю функции:
Внешняя функция: $g(u) = u^4$.
Внутренняя функция: $h(x) = 3x - 1$.
Найдем их производные:
$g'(u) = (u^4)' = 4u^3$.
$h'(x) = (3x - 1)' = 3$.
Теперь применим цепное правило:
$f'(x) = g'(h(x)) \cdot h'(x) = 4(3x - 1)^3 \cdot 3 = 12(3x - 1)^3$.
Ответ: $12(3x - 1)^3$.

б) Представим функцию в виде $f(x) = (5x-2)^{\frac{1}{2}}$. Для нахождения производной используем цепное правило: $(g(h(x)))' = g'(h(x)) \cdot h'(x)$.
Внешняя функция: $g(u) = u^{\frac{1}{2}}$.
Внутренняя функция: $h(x) = 5x - 2$.
Находим производные:
$g'(u) = (u^{\frac{1}{2}})' = \frac{1}{2}u^{-\frac{1}{2}} = \frac{1}{2\sqrt{u}}$.
$h'(x) = (5x - 2)' = 5$.
Применяем цепное правило:
$f'(x) = g'(h(x)) \cdot h'(x) = \frac{1}{2\sqrt{5x - 2}} \cdot 5 = \frac{5}{2\sqrt{5x - 2}}$.
Ответ: $\frac{5}{2\sqrt{5x - 2}}$.

в) Для нахождения производной сложной функции $f(x) = (6x - 7x^3)^5$ используем цепное правило: $(g(h(x)))' = g'(h(x)) \cdot h'(x)$.
Внешняя функция: $g(u) = u^5$.
Внутренняя функция: $h(x) = 6x - 7x^3$.
Находим их производные:
$g'(u) = (u^5)' = 5u^4$.
$h'(x) = (6x - 7x^3)' = 6 - 7 \cdot 3x^2 = 6 - 21x^2$.
Применяем цепное правило:
$f'(x) = g'(h(x)) \cdot h'(x) = 5(6x - 7x^3)^4 \cdot (6 - 21x^2) = 5(6 - 21x^2)(6x - 7x^3)^4$.
Ответ: $5(6 - 21x^2)(6x - 7x^3)^4$.

г) Представим функцию в виде $f(x) = (3 - x^2)^{\frac{1}{2}}$. Для нахождения производной используем цепное правило: $(g(h(x)))' = g'(h(x)) \cdot h'(x)$.
Внешняя функция: $g(u) = u^{\frac{1}{2}}$.
Внутренняя функция: $h(x) = 3 - x^2$.
Находим производные:
$g'(u) = (u^{\frac{1}{2}})' = \frac{1}{2}u^{-\frac{1}{2}} = \frac{1}{2\sqrt{u}}$.
$h'(x) = (3 - x^2)' = -2x$.
Применяем цепное правило и упрощаем:
$f'(x) = g'(h(x)) \cdot h'(x) = \frac{1}{2\sqrt{3 - x^2}} \cdot (-2x) = \frac{-2x}{2\sqrt{3 - x^2}} = -\frac{x}{\sqrt{3 - x^2}}$.
Ответ: $-\frac{x}{\sqrt{3 - x^2}}$.

д) Для нахождения производной сложной функции $f(x) = \sin\frac{x}{9}$ используем цепное правило: $(g(h(x)))' = g'(h(x)) \cdot h'(x)$.
Внешняя функция: $g(u) = \sin u$.
Внутренняя функция: $h(x) = \frac{x}{9}$.
Находим их производные:
$g'(u) = (\sin u)' = \cos u$.
$h'(x) = (\frac{x}{9})' = \frac{1}{9}$.
Применяем цепное правило:
$f'(x) = g'(h(x)) \cdot h'(x) = \cos(\frac{x}{9}) \cdot \frac{1}{9} = \frac{1}{9}\cos\frac{x}{9}$.
Ответ: $\frac{1}{9}\cos\frac{x}{9}$.

е) Представим функцию в виде $f(x) = (\cos x)^2$. Для нахождения производной используем цепное правило: $(g(h(x)))' = g'(h(x)) \cdot h'(x)$.
Внешняя функция: $g(u) = u^2$.
Внутренняя функция: $h(x) = \cos x$.
Находим их производные:
$g'(u) = (u^2)' = 2u$.
$h'(x) = (\cos x)' = -\sin x$.
Применяем цепное правило:
$f'(x) = g'(h(x)) \cdot h'(x) = 2(\cos x) \cdot (-\sin x) = -2\sin x \cos x$.
Используя тригонометрическую формулу синуса двойного угла $2\sin\alpha\cos\alpha = \sin(2\alpha)$, упростим выражение:
$f'(x) = -\sin(2x)$.
Ответ: $-\sin(2x)$.

ж) Для нахождения производной сложной функции $f(x) = \tg(x^2 - 1)$ используем цепное правило: $(g(h(x)))' = g'(h(x)) \cdot h'(x)$.
Внешняя функция: $g(u) = \tg u$.
Внутренняя функция: $h(x) = x^2 - 1$.
Находим их производные, зная что $(\tg u)' = \frac{1}{\cos^2 u}$:
$g'(u) = (\tg u)' = \frac{1}{\cos^2 u}$.
$h'(x) = (x^2 - 1)' = 2x$.
Применяем цепное правило:
$f'(x) = g'(h(x)) \cdot h'(x) = \frac{1}{\cos^2(x^2 - 1)} \cdot 2x = \frac{2x}{\cos^2(x^2 - 1)}$.
Ответ: $\frac{2x}{\cos^2(x^2 - 1)}$.

з) Для нахождения производной сложной функции $f(x) = \ctg(2x - 5)$ используем цепное правило: $(g(h(x)))' = g'(h(x)) \cdot h'(x)$.
Внешняя функция: $g(u) = \ctg u$.
Внутренняя функция: $h(x) = 2x - 5$.
Находим их производные, зная что $(\ctg u)' = -\frac{1}{\sin^2 u}$:
$g'(u) = (\ctg u)' = -\frac{1}{\sin^2 u}$.
$h'(x) = (2x - 5)' = 2$.
Применяем цепное правило:
$f'(x) = g'(h(x)) \cdot h'(x) = -\frac{1}{\sin^2(2x - 5)} \cdot 2 = -\frac{2}{\sin^2(2x - 5)}$.
Ответ: $-\frac{2}{\sin^2(2x - 5)}$.

Помогло решение? Оставьте отзыв в комментариях ниже.

Присоединяйтесь к Телеграм-группе @gdz_by_belarus

Присоединиться

Мы подготовили для вас ответ c подробным объяснением домашего задания по алгебре за 10 класс, для упражнения номер 26.2 расположенного на странице 126 к сборнику задач 2020 года издания для учащихся школ и гимназий.

Теперь на нашем сайте ГДЗ.ТОП вы всегда легко и бесплатно найдёте условие с правильным ответом на вопрос «Как решить ДЗ» и «Как сделать» задание по алгебре к упражнению №26.2 (с. 126), авторов: Арефьева (Ирина Глебовна), Пирютко (Ольга Николаевна), базовый и повышенный уровень обучения учебного пособия издательства Народная асвета.