Номер 28.5, страница 138 - гдз по алгебре 10 класс сборник задач Арефьева, Пирютко

Алгебра, 10 класс Сборник задач, авторы: Арефьева Ирина Глебовна, Пирютко Ольга Николаевна, издательство Народная асвета, Минск, 2020, белого цвета

Авторы: Арефьева И. Г., Пирютко О. Н.

Тип: Сборник задач

Издательство: Народная асвета

Год издания: 2020 - 2025

Уровень обучения: базовый и повышенный

Цвет обложки: белый, голубой с графиком

Допущено Министерством образования Республики Беларусь

Популярные ГДЗ в 10 классе

Глава 5. Производная. Параграф 28. Применение производной к исследованию функций - номер 28.5, страница 138.

№28.5 (с. 138)
Условие. №28.5 (с. 138)
скриншот условия
Алгебра, 10 класс Сборник задач, авторы: Арефьева Ирина Глебовна, Пирютко Ольга Николаевна, издательство Народная асвета, Минск, 2020, белого цвета, страница 138, номер 28.5, Условие

28.5. Найдите количество корней уравнения в зависимости от числа $a$:

а) $x^4 - 2x^2 + 3 = a;$

б) $\frac{x^5}{5} - \frac{4x^3}{3} = a;$

в) $x^3 - 3x^2 + 4 = a.$

Решение. №28.5 (с. 138)
Алгебра, 10 класс Сборник задач, авторы: Арефьева Ирина Глебовна, Пирютко Ольга Николаевна, издательство Народная асвета, Минск, 2020, белого цвета, страница 138, номер 28.5, Решение Алгебра, 10 класс Сборник задач, авторы: Арефьева Ирина Глебовна, Пирютко Ольга Николаевна, издательство Народная асвета, Минск, 2020, белого цвета, страница 138, номер 28.5, Решение (продолжение 2) Алгебра, 10 класс Сборник задач, авторы: Арефьева Ирина Глебовна, Пирютко Ольга Николаевна, издательство Народная асвета, Минск, 2020, белого цвета, страница 138, номер 28.5, Решение (продолжение 3)
Решение 2. №28.5 (с. 138)

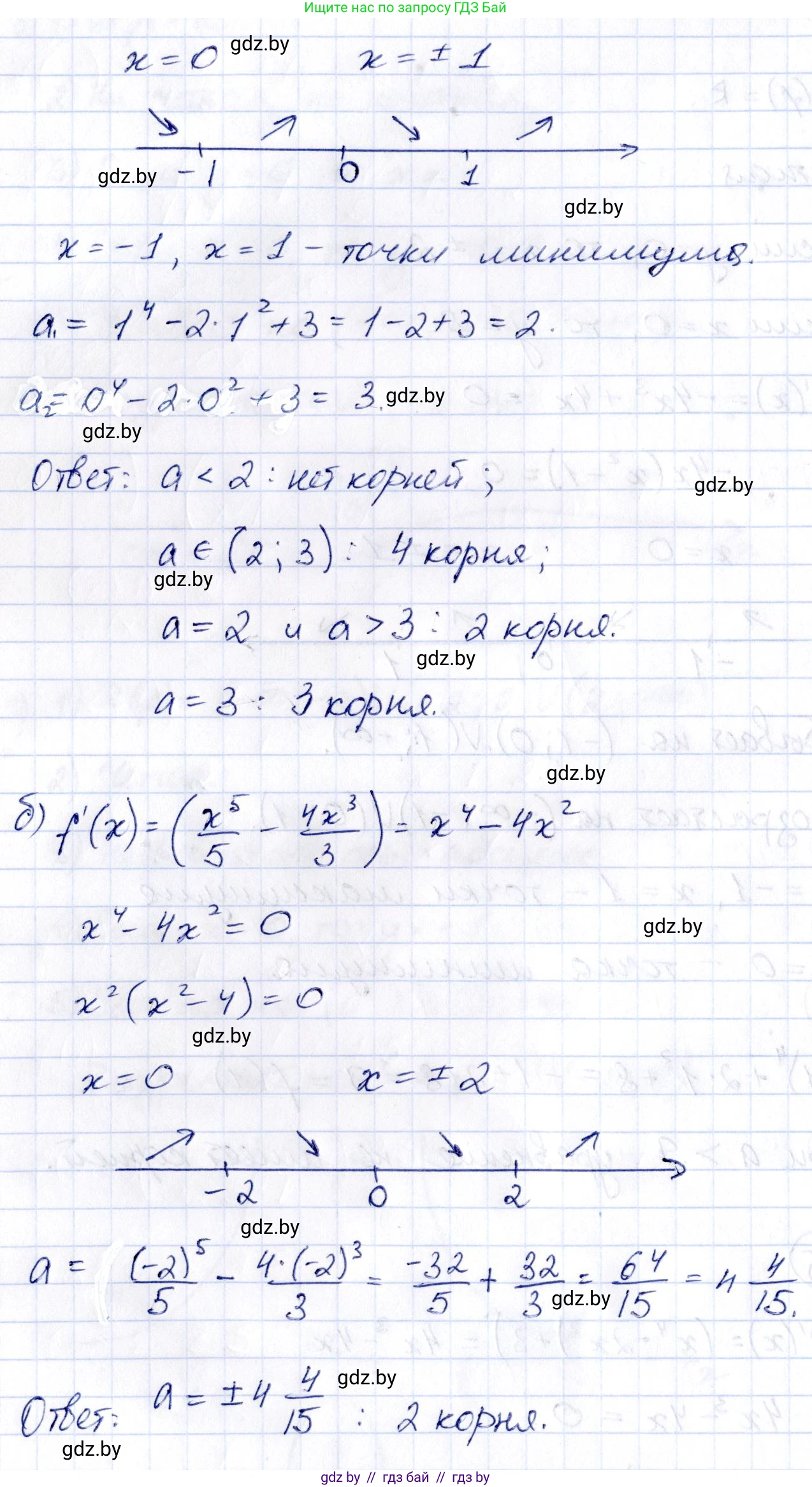
а) Для нахождения количества корней уравнения $x^4 - 2x^2 + 3 = a$ в зависимости от параметра $a$, исследуем функцию $f(x) = x^4 - 2x^2 + 3$ с помощью производной. Количество корней уравнения равно количеству точек пересечения графика функции $y=f(x)$ и горизонтальной прямой $y=a$.
1. Найдём производную функции: $f'(x) = (x^4 - 2x^2 + 3)' = 4x^3 - 4x$.
2. Найдём критические точки, приравняв производную к нулю: $4x^3 - 4x = 0 \Rightarrow 4x(x^2 - 1) = 0 \Rightarrow 4x(x - 1)(x + 1) = 0$. Критические точки: $x_1 = -1$, $x_2 = 0$, $x_3 = 1$.
3. Определим знаки производной на интервалах и найдём промежутки монотонности функции:

  • При $x \in (-\infty; -1)$ $f'(x) < 0$, функция убывает.
  • При $x \in (-1; 0)$ $f'(x) > 0$, функция возрастает.
  • При $x \in (0; 1)$ $f'(x) < 0$, функция убывает.
  • При $x \in (1; +\infty)$ $f'(x) > 0$, функция возрастает.

4. Найдём значения функции в точках экстремума:

  • $x = -1$ — точка локального минимума. $f(-1) = (-1)^4 - 2(-1)^2 + 3 = 1 - 2 + 3 = 2$.
  • $x = 0$ — точка локального максимума. $f(0) = 0^4 - 2(0)^2 + 3 = 3$.
  • $x = 1$ — точка локального минимума. $f(1) = 1^4 - 2(1)^2 + 3 = 1 - 2 + 3 = 2$.

5. Анализируя положение прямой $y=a$ относительно графика функции, получаем количество корней:
Ответ:

  • при $a < 2$ — корней нет;
  • при $a = 2$ — 2 корня;
  • при $2 < a < 3$ — 4 корня;
  • при $a = 3$ — 3 корня;
  • при $a > 3$ — 2 корня.

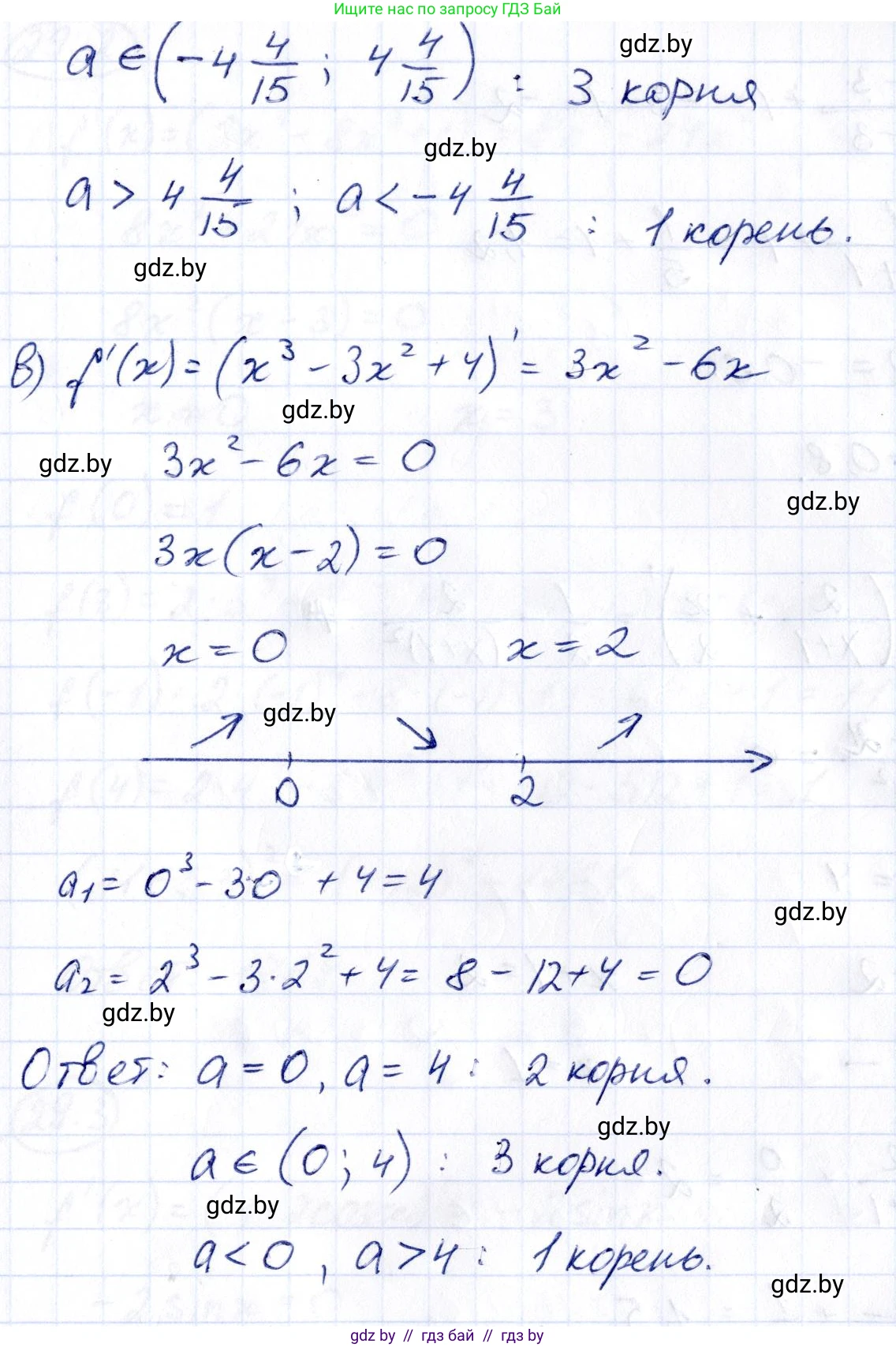
б) Для нахождения количества корней уравнения $\frac{x^5}{5} - \frac{4x^3}{3} = a$ исследуем функцию $f(x) = \frac{x^5}{5} - \frac{4x^3}{3}$.
1. Найдём производную функции: $f'(x) = (\frac{x^5}{5} - \frac{4x^3}{3})' = x^4 - 4x^2$.
2. Найдём критические точки: $x^4 - 4x^2 = 0 \Rightarrow x^2(x^2 - 4) = 0 \Rightarrow x^2(x-2)(x+2)=0$. Критические точки: $x_1 = -2$, $x_2 = 0$, $x_3 = 2$.
3. Определим знаки производной на интервалах и найдём промежутки монотонности:

  • При $x \in (-\infty; -2)$ $f'(x) > 0$, функция возрастает.
  • При $x \in (-2; 2)$ $f'(x) \le 0$, функция убывает (в точке $x=0$ производная равна нулю, но знак не меняет).
  • При $x \in (2; +\infty)$ $f'(x) > 0$, функция возрастает.

4. Найдём значения функции в точках экстремума:

  • $x = -2$ — точка локального максимума. $f(-2) = \frac{(-2)^5}{5} - \frac{4(-2)^3}{3} = \frac{-32}{5} - \frac{4(-8)}{3} = -\frac{32}{5} + \frac{32}{3} = \frac{-96+160}{15} = \frac{64}{15} = \mathbf{4}\frac{4}{15}$.
  • $x = 2$ — точка локального минимума. $f(2) = \frac{2^5}{5} - \frac{4(2)^3}{3} = \frac{32}{5} - \frac{32}{3} = \frac{96-160}{15} = -\frac{64}{15} = -\mathbf{4}\frac{4}{15}$.
  • Точка $x=0$ является точкой перегиба. $f(0) = 0$.

5. Анализируя положение прямой $y=a$ относительно экстремумов функции, получаем количество корней:
Ответ:

  • при $a < -4\frac{4}{15}$ или $a > 4\frac{4}{15}$ — 1 корень;
  • при $a = -4\frac{4}{15}$ или $a = 4\frac{4}{15}$ — 2 корня;
  • при $-4\frac{4}{15} < a < 4\frac{4}{15}$ — 3 корня.

в) Для нахождения количества корней уравнения $x^3 - 3x^2 + 4 = a$ исследуем функцию $f(x) = x^3 - 3x^2 + 4$.
1. Найдём производную функции: $f'(x) = (x^3 - 3x^2 + 4)' = 3x^2 - 6x$.
2. Найдём критические точки: $3x^2 - 6x = 0 \Rightarrow 3x(x - 2) = 0$. Критические точки: $x_1 = 0$, $x_2 = 2$.
3. Определим знаки производной на интервалах и найдём промежутки монотонности:

  • При $x \in (-\infty; 0)$ $f'(x) > 0$, функция возрастает.
  • При $x \in (0; 2)$ $f'(x) < 0$, функция убывает.
  • При $x \in (2; +\infty)$ $f'(x) > 0$, функция возрастает.

4. Найдём значения функции в точках экстремума:

  • $x = 0$ — точка локального максимума. $f(0) = 0^3 - 3(0)^2 + 4 = 4$.
  • $x = 2$ — точка локального минимума. $f(2) = 2^3 - 3(2)^2 + 4 = 8 - 12 + 4 = 0$.

5. Анализируя положение прямой $y=a$ относительно экстремумов функции, получаем количество корней:
Ответ:

  • при $a < 0$ или $a > 4$ — 1 корень;
  • при $a = 0$ или $a = 4$ — 2 корня;
  • при $0 < a < 4$ — 3 корня.

Помогло решение? Оставьте отзыв в комментариях ниже.

Присоединяйтесь к Телеграм-группе @gdz_by_belarus

Присоединиться

Мы подготовили для вас ответ c подробным объяснением домашего задания по алгебре за 10 класс, для упражнения номер 28.5 расположенного на странице 138 к сборнику задач 2020 года издания для учащихся школ и гимназий.

Теперь на нашем сайте ГДЗ.ТОП вы всегда легко и бесплатно найдёте условие с правильным ответом на вопрос «Как решить ДЗ» и «Как сделать» задание по алгебре к упражнению №28.5 (с. 138), авторов: Арефьева (Ирина Глебовна), Пирютко (Ольга Николаевна), базовый и повышенный уровень обучения учебного пособия издательства Народная асвета.