Номер 35, страница 45 - гдз по алгебре 11 класс сборник задач Арефьева, Пирютко
Авторы: Арефьева И. Г., Пирютко О. Н.
Тип: Сборник задач
Издательство: Народная асвета
Год издания: 2020 - 2025
Уровень обучения: базовый и повышенный
Цвет обложки: белый с графиком
Допущено Министерством образования Республики Беларусь
Популярные ГДЗ в 11 классе
Глава 2. Показательная функция. Параграф 6. Показательные неравенства - номер 35, страница 45.
№35 (с. 45)
Условие. №35 (с. 45)
скриншот условия
6.35. Решите неравенство:
a) $4^{x^2 - x} - 10 \cdot 2^{x^2} + 2^{2x + 4} \ge 0;$
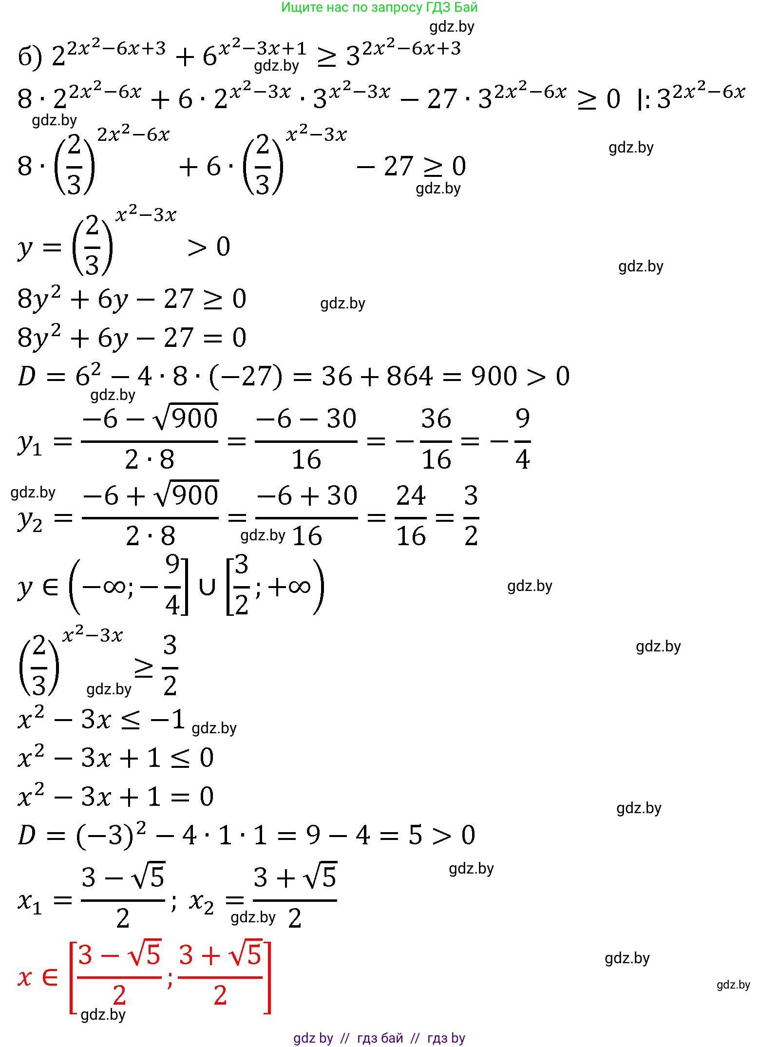
б) $2^{2x^2 - 6x + 3} + 6^{x^2 - 3x + 1} \ge 3^{2x^2 - 6x + 3}.$
Решение. №35 (с. 45)
Решение 2. №35 (с. 45)
a) Исходное неравенство: $4^{x^2-x} - 10 \cdot 2^{x^2} + 2^{2x+4} \ge 0$.
Преобразуем степени, чтобы привести их к общему основанию 2: $$ (2^2)^{x^2-x} - 10 \cdot 2^{x^2} + 2^{2x} \cdot 2^4 \ge 0 $$ $$ 2^{2x^2-2x} - 10 \cdot 2^{x^2} + 16 \cdot 2^{2x} \ge 0 $$
Разделим все неравенство на $2^{x^2}$ (это выражение всегда положительно, поэтому знак неравенства не меняется): $$ \frac{2^{2x^2-2x}}{2^{x^2}} - \frac{10 \cdot 2^{x^2}}{2^{x^2}} + \frac{16 \cdot 2^{2x}}{2^{x^2}} \ge 0 $$ $$ 2^{2x^2-2x-x^2} - 10 + 16 \cdot 2^{2x-x^2} \ge 0 $$ $$ 2^{x^2-2x} - 10 + 16 \cdot 2^{-(x^2-2x)} \ge 0 $$
Сделаем замену переменной. Пусть $y = 2^{x^2-2x}$. Так как показательная функция всегда положительна, $y > 0$. Неравенство принимает вид: $$ y - 10 + \frac{16}{y} \ge 0 $$
Умножим обе части на $y$ (так как $y>0$, знак неравенства не изменится): $$ y^2 - 10y + 16 \ge 0 $$
Это квадратное неравенство относительно $y$. Найдем корни соответствующего уравнения $y^2 - 10y + 16 = 0$. По теореме Виета, корни $y_1 = 2$ и $y_2 = 8$.
Парабола $f(y) = y^2 - 10y + 16$ с ветвями вверх, поэтому неравенство выполняется при $y \le 2$ или $y \ge 8$.
Возвращаемся к исходной переменной $x$, рассматривая два случая:
1) $y \le 2 \implies 2^{x^2-2x} \le 2^1$. Так как основание степени $2 > 1$, то $x^2-2x \le 1$, что равносильно $x^2 - 2x - 1 \le 0$. Находим корни уравнения $x^2 - 2x - 1 = 0$: $x = \frac{2 \pm \sqrt{4-4(-1)}}{2} = \frac{2 \pm \sqrt{8}}{2} = 1 \pm \sqrt{2}$. Решением неравенства $x^2 - 2x - 1 \le 0$ является отрезок $[1-\sqrt{2}, 1+\sqrt{2}]$.
2) $y \ge 8 \implies 2^{x^2-2x} \ge 2^3$. Так как основание степени $2 > 1$, то $x^2-2x \ge 3$, что равносильно $x^2 - 2x - 3 \ge 0$. Находим корни уравнения $x^2 - 2x - 3 = 0$: по теореме Виета, $x_1 = -1, x_2 = 3$. Решением неравенства $x^2 - 2x - 3 \ge 0$ является объединение промежутков $(-\infty, -1] \cup [3, +\infty)$.
Объединяя решения из обоих случаев, получаем итоговый ответ.
Ответ: $x \in (-\infty, -1] \cup [1-\sqrt{2}, 1+\sqrt{2}] \cup [3, +\infty)$.
б) Исходное неравенство: $2^{2x^2-6x+3} + 6^{x^2-3x+1} \ge 3^{2x^2-6x+3}$.
Перенесем все члены в левую часть и преобразуем, используя свойства степеней: $$ 2^{2(x^2-3x)+3} + 6^{(x^2-3x)+1} - 3^{2(x^2-3x)+3} \ge 0 $$ $$ 2^3 \cdot 2^{2(x^2-3x)} + 6^1 \cdot 6^{x^2-3x} - 3^3 \cdot 3^{2(x^2-3x)} \ge 0 $$ $$ 8 \cdot (2^{x^2-3x})^2 + 6 \cdot (2 \cdot 3)^{x^2-3x} - 27 \cdot (3^{x^2-3x})^2 \ge 0 $$ $$ 8 \cdot (2^{x^2-3x})^2 + 6 \cdot 2^{x^2-3x} \cdot 3^{x^2-3x} - 27 \cdot (3^{x^2-3x})^2 \ge 0 $$
Это однородное неравенство. Разделим обе части на $(3^{x^2-3x})^2 > 0$: $$ 8 \cdot \left(\frac{2^{x^2-3x}}{3^{x^2-3x}}\right)^2 + 6 \cdot \frac{2^{x^2-3x}}{3^{x^2-3x}} - 27 \ge 0 $$ $$ 8 \cdot \left(\left(\frac{2}{3}\right)^{x^2-3x}\right)^2 + 6 \cdot \left(\frac{2}{3}\right)^{x^2-3x} - 27 \ge 0 $$
Сделаем замену. Пусть $t = \left(\frac{2}{3}\right)^{x^2-3x}$. Так как $t$ - значение показательной функции, $t > 0$. $$ 8t^2 + 6t - 27 \ge 0 $$
Решим квадратное уравнение $8t^2 + 6t - 27 = 0$. Дискриминант $D = 6^2 - 4 \cdot 8 \cdot (-27) = 36 + 864 = 900 = 30^2$. Корни: $t_1 = \frac{-6 - 30}{16} = -\frac{36}{16} = -\frac{9}{4} = -2\frac{1}{4}$ и $t_2 = \frac{-6 + 30}{16} = \frac{24}{16} = \frac{3}{2} = 1\frac{1}{2}$.
Парабола $f(t) = 8t^2 + 6t - 27$ с ветвями вверх, значит, неравенство выполняется при $t \le -2\frac{1}{4}$ или $t \ge 1\frac{1}{2}$. Учитывая, что $t > 0$, нам подходит только $t \ge 1\frac{1}{2}$.
Выполняем обратную замену: $$ \left(\frac{2}{3}\right)^{x^2-3x} \ge \frac{3}{2} $$ Представим правую часть как степень с основанием $\frac{2}{3}$: $$ \left(\frac{2}{3}\right)^{x^2-3x} \ge \left(\frac{2}{3}\right)^{-1} $$
Так как основание степени $\frac{2}{3} < 1$, при переходе к неравенству для показателей знак меняется на противоположный: $$ x^2 - 3x \le -1 \implies x^2 - 3x + 1 \le 0 $$
Найдем корни квадратного уравнения $x^2 - 3x + 1 = 0$: $D = (-3)^2 - 4 \cdot 1 \cdot 1 = 9 - 4 = 5$. Корни: $x_1 = \frac{3-\sqrt{5}}{2}$, $x_2 = \frac{3+\sqrt{5}}{2}$.
Парабола $g(x) = x^2 - 3x + 1$ с ветвями вверх, поэтому неравенство $g(x) \le 0$ выполняется между корнями.
Ответ: $x \in \left[\frac{3-\sqrt{5}}{2}, \frac{3+\sqrt{5}}{2}\right]$.
Другие задания:
Помогло решение? Оставьте отзыв в комментариях ниже.
Присоединяйтесь к Телеграм-группе @gdz_by_belarus
ПрисоединитьсяМы подготовили для вас ответ c подробным объяснением домашего задания по алгебре за 11 класс, для упражнения номер 35 расположенного на странице 45 к сборнику задач 2020 года издания для учащихся школ и гимназий.
Теперь на нашем сайте ГДЗ.ТОП вы всегда легко и бесплатно найдёте условие с правильным ответом на вопрос «Как решить ДЗ» и «Как сделать» задание по алгебре к упражнению №35 (с. 45), авторов: Арефьева (Ирина Глебовна), Пирютко (Ольга Николаевна), базовый и повышенный уровень обучения учебного пособия издательства Народная асвета.