Номер 37, страница 55 - гдз по алгебре 11 класс сборник задач Арефьева, Пирютко

Алгебра, 11 класс Сборник задач, авторы: Арефьева Ирина Глебовна, Пирютко Ольга Николаевна, издательство Народная асвета, Минск, 2020, белого цвета

Авторы: Арефьева И. Г., Пирютко О. Н.

Тип: Сборник задач

Издательство: Народная асвета

Год издания: 2020 - 2025

Уровень обучения: базовый и повышенный

Цвет обложки: белый с графиком

Допущено Министерством образования Республики Беларусь

Популярные ГДЗ в 11 классе

Глава 3. Логарифмическая функция. Параграф 7. Свойства логарифмов - номер 37, страница 55.

№37 (с. 55)
Условие. №37 (с. 55)
скриншот условия
Алгебра, 11 класс Сборник задач, авторы: Арефьева Ирина Глебовна, Пирютко Ольга Николаевна, издательство Народная асвета, Минск, 2020, белого цвета, страница 55, номер 37, Условие

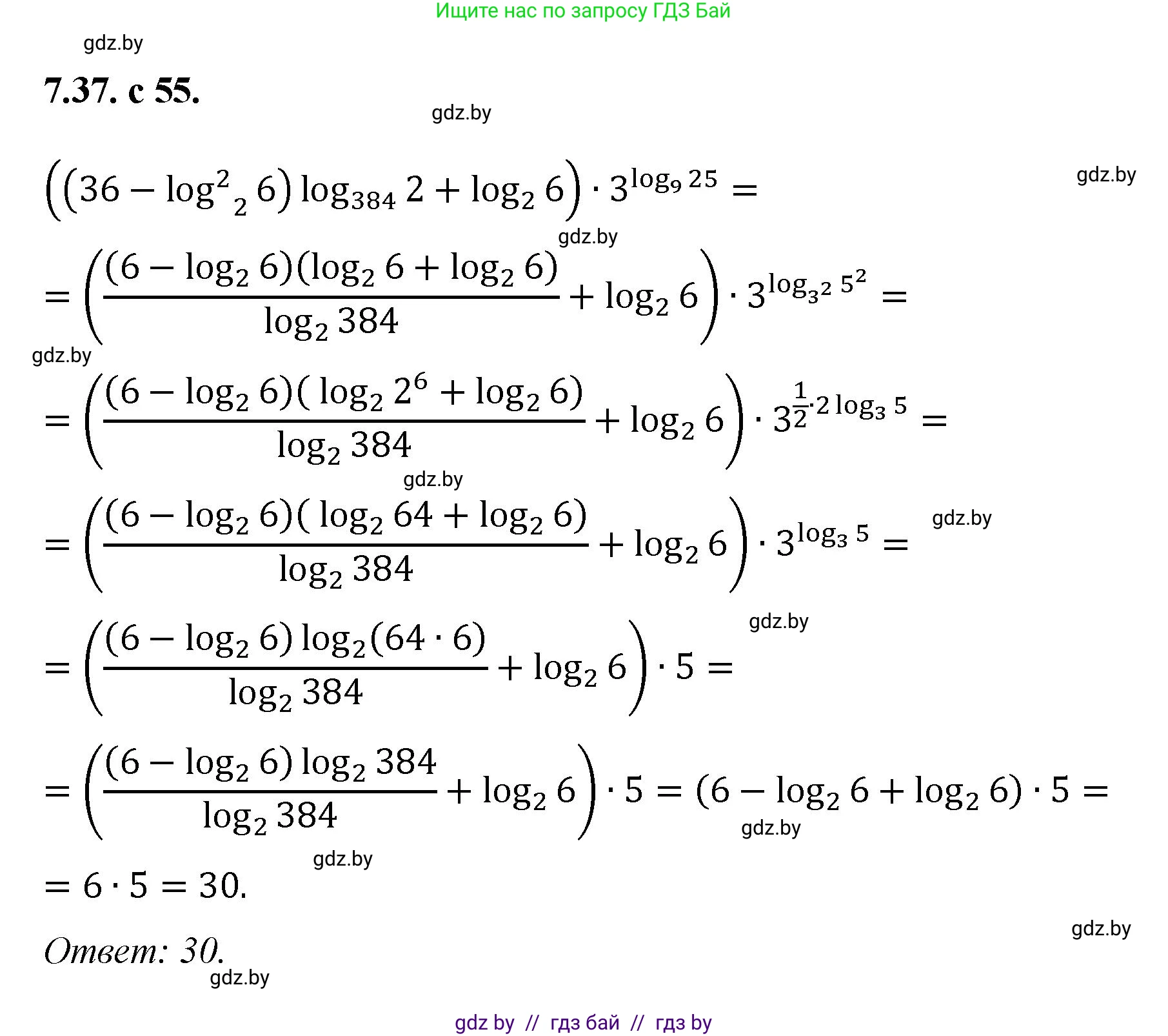
7.37. Вычислите:

$ (36 - \log_2^2 6)\log_{384} 2 + \log_2 6) \cdot 3^{\log_9 25} $

Решение. №37 (с. 55)
Алгебра, 11 класс Сборник задач, авторы: Арефьева Ирина Глебовна, Пирютко Ольга Николаевна, издательство Народная асвета, Минск, 2020, белого цвета, страница 55, номер 37, Решение
Решение 2. №37 (с. 55)

Для решения данного выражения, разобьем его на два основных множителя и вычислим значение каждого из них по очереди.

Первый множитель — это выражение в скобках: $ (36 - \log_2^2 6)\log_{384} 2 + \log_2 6 $. Давайте упростим его.

Сначала воспользуемся формулой разности квадратов $a^2 - b^2 = (a-b)(a+b)$ для части выражения $ (36 - \log_2^2 6) $:$ 36 - \log_2^2 6 = 6^2 - (\log_2 6)^2 = (6 - \log_2 6)(6 + \log_2 6) $.

Далее преобразуем логарифм $ \log_{384} 2 $ по формуле перехода к другому основанию $ \log_b a = \frac{1}{\log_a b} $:$ \log_{384} 2 = \frac{1}{\log_2 384} $.

Чтобы упростить знаменатель $ \log_2 384 $, разложим число 384 на множители: $ 384 = 64 \cdot 6 = 2^6 \cdot 6 $.
Теперь применим свойство логарифма произведения $ \log_a(xy) = \log_a x + \log_a y $:$ \log_2 384 = \log_2 (2^6 \cdot 6) = \log_2(2^6) + \log_2 6 = 6 + \log_2 6 $.

Подставим полученный результат обратно в выражение для $ \log_{384} 2 $:$ \log_{384} 2 = \frac{1}{6 + \log_2 6} $.

Теперь объединим все преобразованные части в исходном выражении в скобках:$ (36 - \log_2^2 6)\log_{384} 2 + \log_2 6 = (6 - \log_2 6)(6 + \log_2 6) \cdot \frac{1}{6 + \log_2 6} + \log_2 6 $.

Сократим одинаковые множители $ (6 + \log_2 6) $ в числителе и знаменателе:$ (6 - \log_2 6) + \log_2 6 $.
Взаимно уничтожив $ -\log_2 6 $ и $ +\log_2 6 $, получаем:$ 6 $.
Таким образом, значение всего выражения в скобках равно 6.

Второй множитель в исходном выражении — это $ 3^{\log_9 25} $. Упростим его.

Преобразуем логарифм в показателе степени, представив его основание и аргумент в виде степеней: $ 9 = 3^2 $ и $ 25 = 5^2 $.
Используем свойство логарифмов $ \log_{a^n} b^m = \frac{m}{n} \log_a b $:$ \log_9 25 = \log_{3^2} 5^2 = \frac{2}{2} \log_3 5 = \log_3 5 $.

Теперь подставим упрощенный логарифм обратно во второй множитель:$ 3^{\log_9 25} = 3^{\log_3 5} $.

Согласно основному логарифмическому тождеству $ a^{\log_a b} = b $, получаем:$ 3^{\log_3 5} = 5 $.
Таким образом, значение второго множителя равно 5.

На последнем шаге перемножим полученные значения двух множителей:$ 6 \cdot 5 = 30 $.

Ответ: 30

Помогло решение? Оставьте отзыв в комментариях ниже.

Присоединяйтесь к Телеграм-группе @gdz_by_belarus

Присоединиться

Мы подготовили для вас ответ c подробным объяснением домашего задания по алгебре за 11 класс, для упражнения номер 37 расположенного на странице 55 к сборнику задач 2020 года издания для учащихся школ и гимназий.

Теперь на нашем сайте ГДЗ.ТОП вы всегда легко и бесплатно найдёте условие с правильным ответом на вопрос «Как решить ДЗ» и «Как сделать» задание по алгебре к упражнению №37 (с. 55), авторов: Арефьева (Ирина Глебовна), Пирютко (Ольга Николаевна), базовый и повышенный уровень обучения учебного пособия издательства Народная асвета.