Номер 2.172, страница 91 - гдз по алгебре 11 класс учебник Арефьева, Пирютко

Алгебра, 11 класс Учебник, авторы: Арефьева Ирина Глебовна, Пирютко Ольга Николаевна, издательство Народная асвета, Минск, 2020, бирюзового цвета

Авторы: Арефьева И. Г., Пирютко О. Н.

Тип: Учебник

Издательство: Народная асвета

Год издания: 2020 - 2025

Цвет обложки: бирюзовый, зелёный с графиком

ISBN: 978-985-03-3165-6

Популярные ГДЗ в 11 классе

Глава 2. Показательная функция. Параграф 6. Показательные неравенства - номер 2.172, страница 91.

№2.172 (с. 91)
Условие. №2.172 (с. 91)
скриншот условия
Алгебра, 11 класс Учебник, авторы: Арефьева Ирина Глебовна, Пирютко Ольга Николаевна, издательство Народная асвета, Минск, 2020, бирюзового цвета, страница 91, номер 2.172, Условие

2.172. Найдите область определения функции:

а) $y = \sqrt{\left(\frac{1}{3}\right)^{3x+1} - 3};$

б) $y = \sqrt[6]{\left(\frac{1}{4}\right)^{5-4x} - \frac{1}{64}};$

в) $y = \frac{4}{\sqrt{5^{5x+4} - 25}};$

г) $y = \frac{4}{\sqrt[12]{1 - 7^{3-8x}}};$

д) $y = \sqrt[8]{5^{x^2-12} - 625};$

е) $y = \frac{1}{\sqrt[4]{0,7^{x^2-2x-3} - 1}}.$

Решение. №2.172 (с. 91)
Алгебра, 11 класс Учебник, авторы: Арефьева Ирина Глебовна, Пирютко Ольга Николаевна, издательство Народная асвета, Минск, 2020, бирюзового цвета, страница 91, номер 2.172, Решение Алгебра, 11 класс Учебник, авторы: Арефьева Ирина Глебовна, Пирютко Ольга Николаевна, издательство Народная асвета, Минск, 2020, бирюзового цвета, страница 91, номер 2.172, Решение (продолжение 2) Алгебра, 11 класс Учебник, авторы: Арефьева Ирина Глебовна, Пирютко Ольга Николаевна, издательство Народная асвета, Минск, 2020, бирюзового цвета, страница 91, номер 2.172, Решение (продолжение 3) Алгебра, 11 класс Учебник, авторы: Арефьева Ирина Глебовна, Пирютко Ольга Николаевна, издательство Народная асвета, Минск, 2020, бирюзового цвета, страница 91, номер 2.172, Решение (продолжение 4)
Решение 2. №2.172 (с. 91)

а) $y = \sqrt{(\frac{1}{3})^{3x+1} - 3}$

Область определения функции задается условием, что выражение под корнем четной степени должно быть неотрицательным:

$(\frac{1}{3})^{3x+1} - 3 \ge 0$

$(\frac{1}{3})^{3x+1} \ge 3$

Представим правую часть неравенства в виде степени с основанием $\frac{1}{3}$:

$3 = (\frac{1}{3})^{-1}$

Получаем неравенство:

$(\frac{1}{3})^{3x+1} \ge (\frac{1}{3})^{-1}$

Так как основание степени $a = \frac{1}{3}$ удовлетворяет условию $0 < a < 1$, показательная функция является убывающей. Поэтому при переходе к неравенству для показателей знак неравенства меняется на противоположный:

$3x + 1 \le -1$

$3x \le -2$

$x \le -\frac{2}{3}$

Следовательно, область определения функции: $D(y) = (-\infty, -\frac{2}{3}]$.

Ответ: $D(y) = (-\infty, -\frac{2}{3}]$

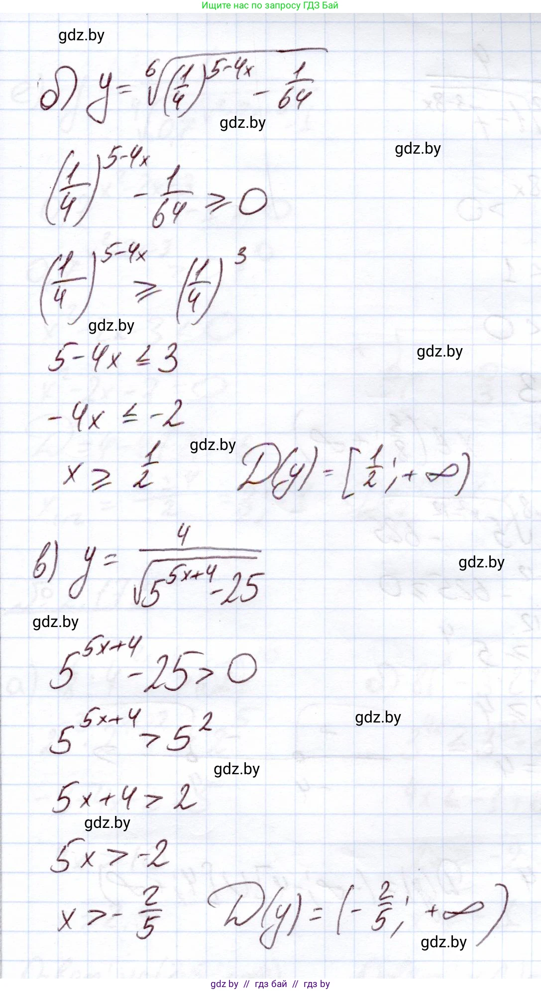
б) $y = \sqrt[6]{(\frac{1}{4})^{5-4x} - \frac{1}{64}}$

Область определения функции задается условием, что выражение под корнем четной степени (в данном случае 6-й) должно быть неотрицательным:

$(\frac{1}{4})^{5-4x} - \frac{1}{64} \ge 0$

$(\frac{1}{4})^{5-4x} \ge \frac{1}{64}$

Представим правую часть неравенства в виде степени с основанием $\frac{1}{4}$:

$\frac{1}{64} = \frac{1}{4^3} = (\frac{1}{4})^3$

Получаем неравенство:

$(\frac{1}{4})^{5-4x} \ge (\frac{1}{4})^3$

Так как основание степени $a = \frac{1}{4}$ удовлетворяет условию $0 < a < 1$, показательная функция является убывающей. При переходе к неравенству для показателей знак неравенства меняется на противоположный:

$5 - 4x \le 3$

$-4x \le 3 - 5$

$-4x \le -2$

$x \ge \frac{-2}{-4}$

$x \ge \frac{1}{2}$

Следовательно, область определения функции: $D(y) = [\frac{1}{2}, +\infty)$.

Ответ: $D(y) = [\frac{1}{2}, +\infty)$

в) $y = \frac{4}{\sqrt{5^{5x+4} - 25}}$

Область определения этой функции определяется двумя условиями:
1. Выражение под корнем четной степени должно быть неотрицательным: $5^{5x+4} - 25 \ge 0$.
2. Знаменатель дроби не должен быть равен нулю: $\sqrt{5^{5x+4} - 25} \ne 0$.
Объединяя эти два условия, получаем одно строгое неравенство:

$5^{5x+4} - 25 > 0$

$5^{5x+4} > 25$

Представим правую часть в виде степени с основанием 5:

$25 = 5^2$

$5^{5x+4} > 5^2$

Так как основание степени $a = 5$ больше 1, показательная функция является возрастающей. Знак неравенства для показателей сохраняется:

$5x + 4 > 2$

$5x > -2$

$x > -\frac{2}{5}$

Следовательно, область определения функции: $D(y) = (-\frac{2}{5}, +\infty)$.

Ответ: $D(y) = (-\frac{2}{5}, +\infty)$

г) $y = \frac{4}{\sqrt[12]{1 - 7^{3-8x}}}$

Выражение под корнем четной степени (12-й) в знаменателе должно быть строго положительным:

$1 - 7^{3-8x} > 0$

$1 > 7^{3-8x}$

Представим 1 в виде степени с основанием 7: $1 = 7^0$.

$7^0 > 7^{3-8x}$

Так как основание $a=7$ больше 1, показательная функция возрастающая, поэтому знак неравенства для показателей сохраняется:

$0 > 3 - 8x$

$8x > 3$

$x > \frac{3}{8}$

Следовательно, область определения функции: $D(y) = (\frac{3}{8}, +\infty)$.

Ответ: $D(y) = (\frac{3}{8}, +\infty)$

д) $y = \sqrt[8]{5^{x^2-12} - 625}$

Выражение под корнем четной степени (8-й) должно быть неотрицательным:

$5^{x^2-12} - 625 \ge 0$

$5^{x^2-12} \ge 625$

Представим 625 в виде степени с основанием 5: $625 = 5^4$.

$5^{x^2-12} \ge 5^4$

Так как основание $a=5$ больше 1, знак неравенства для показателей сохраняется:

$x^2 - 12 \ge 4$

$x^2 - 16 \ge 0$

$(x-4)(x+4) \ge 0$

Решим это квадратное неравенство методом интервалов. Корни уравнения $(x-4)(x+4) = 0$ равны $x_1 = -4$ и $x_2 = 4$. Эти точки делят числовую ось на три интервала. Поскольку ветви параболы $y=x^2-16$ направлены вверх, неравенство выполняется на крайних интервалах.

$x \in (-\infty, -4] \cup [4, +\infty)$

Следовательно, область определения функции: $D(y) = (-\infty, -4] \cup [4, +\infty)$.

Ответ: $D(y) = (-\infty, -4] \cup [4, +\infty)$

е) $y = \frac{1}{\sqrt[4]{0.7^{x^2-2x-3} - 1}}$

Выражение под корнем четной степени (4-й) в знаменателе должно быть строго положительным:

$0.7^{x^2-2x-3} - 1 > 0$

$0.7^{x^2-2x-3} > 1$

Представим 1 в виде степени с основанием 0.7: $1 = 0.7^0$.

$0.7^{x^2-2x-3} > 0.7^0$

Так как основание $a = 0.7$ удовлетворяет условию $0 < a < 1$, показательная функция является убывающей. Знак неравенства для показателей меняется на противоположный:

$x^2 - 2x - 3 < 0$

Решим квадратное неравенство. Найдем корни уравнения $x^2 - 2x - 3 = 0$. По теореме Виета, $x_1+x_2=2$, $x_1 \cdot x_2 = -3$, откуда $x_1 = 3$, $x_2 = -1$.

Неравенство можно записать в виде $(x-3)(x+1) < 0$. Ветви параболы $y=x^2-2x-3$ направлены вверх, поэтому неравенство выполняется между корнями.

$x \in (-1, 3)$

Следовательно, область определения функции: $D(y) = (-1, 3)$.

Ответ: $D(y) = (-1, 3)$

Помогло решение? Оставьте отзыв в комментариях ниже.

Присоединяйтесь к Телеграм-группе @gdz_by_belarus

Присоединиться

Мы подготовили для вас ответ c подробным объяснением домашего задания по алгебре за 11 класс, для упражнения номер 2.172 расположенного на странице 91 к учебнику 2020 года издания для учащихся школ и гимназий.

Теперь на нашем сайте ГДЗ.ТОП вы всегда легко и бесплатно найдёте условие с правильным ответом на вопрос «Как решить ДЗ» и «Как сделать» задание по алгебре к упражнению №2.172 (с. 91), авторов: Арефьева (Ирина Глебовна), Пирютко (Ольга Николаевна), учебного пособия издательства Народная асвета.