Номер 2.176, страница 91 - гдз по алгебре 11 класс учебник Арефьева, Пирютко

Алгебра, 11 класс Учебник, авторы: Арефьева Ирина Глебовна, Пирютко Ольга Николаевна, издательство Народная асвета, Минск, 2020, бирюзового цвета

Авторы: Арефьева И. Г., Пирютко О. Н.

Тип: Учебник

Издательство: Народная асвета

Год издания: 2020 - 2025

Цвет обложки: бирюзовый, зелёный с графиком

ISBN: 978-985-03-3165-6

Популярные ГДЗ в 11 классе

Глава 2. Показательная функция. Параграф 6. Показательные неравенства - номер 2.176, страница 91.

№2.176 (с. 91)
Условие. №2.176 (с. 91)
скриншот условия
Алгебра, 11 класс Учебник, авторы: Арефьева Ирина Глебовна, Пирютко Ольга Николаевна, издательство Народная асвета, Минск, 2020, бирюзового цвета, страница 91, номер 2.176, Условие

2.176. Решите неравенство, используя метод замены переменной:

а) $9^x - 4 \cdot 3^x + 3 \le 0;$

б) $49^x - 6 \cdot 7^x - 7 > 0;$

В) $(\frac{1}{7})^{2x} - 8 \cdot (\frac{1}{7})^x + 7 < 0;$

Г) $0,04^x - 4 \cdot 0,2^x - 5 \ge 0.$

Решение. №2.176 (с. 91)
Алгебра, 11 класс Учебник, авторы: Арефьева Ирина Глебовна, Пирютко Ольга Николаевна, издательство Народная асвета, Минск, 2020, бирюзового цвета, страница 91, номер 2.176, Решение Алгебра, 11 класс Учебник, авторы: Арефьева Ирина Глебовна, Пирютко Ольга Николаевна, издательство Народная асвета, Минск, 2020, бирюзового цвета, страница 91, номер 2.176, Решение (продолжение 2)
Решение 2. №2.176 (с. 91)

а) $9^x - 4 \cdot 3^x + 3 \le 0$

Заметим, что $9^x = (3^2)^x = (3^x)^2$. Тогда неравенство можно переписать в виде:

$(3^x)^2 - 4 \cdot 3^x + 3 \le 0$

Произведем замену переменной. Пусть $t = 3^x$. Поскольку значение показательной функции всегда положительно, должно выполняться условие $t > 0$.

После замены получаем квадратное неравенство относительно $t$:

$t^2 - 4t + 3 \le 0$

Найдем корни соответствующего квадратного уравнения $t^2 - 4t + 3 = 0$. Используя теорему Виета, находим корни: $t_1 = 1$, $t_2 = 3$.

Графиком функции $y = t^2 - 4t + 3$ является парабола с ветвями, направленными вверх. Значения функции меньше или равны нулю на промежутке между корнями, включая сами корни.

Таким образом, решение неравенства для $t$: $1 \le t \le 3$.

Это решение удовлетворяет условию $t > 0$.

Выполним обратную замену, подставив $3^x$ вместо $t$:

$1 \le 3^x \le 3$

Представим числа 1 и 3 в виде степеней с основанием 3:

$3^0 \le 3^x \le 3^1$

Так как основание степени $3 > 1$, показательная функция $y=3^x$ является возрастающей. Следовательно, при переходе к неравенству для показателей, знаки неравенства сохраняются:

$0 \le x \le 1$

Ответ: $x \in [0, 1]$.


б) $49^x - 6 \cdot 7^x - 7 > 0$

Перепишем $49^x$ как $(7^2)^x = (7^x)^2$. Неравенство принимает вид:

$(7^x)^2 - 6 \cdot 7^x - 7 > 0$

Сделаем замену переменной. Пусть $t = 7^x$, при этом $t > 0$.

Получаем квадратное неравенство:

$t^2 - 6t - 7 > 0$

Найдем корни уравнения $t^2 - 6t - 7 = 0$. По теореме Виета (или через дискриминант): $t_1 = -1$, $t_2 = 7$.

Парабола $y = t^2 - 6t - 7$ с ветвями вверх, поэтому значения функции больше нуля на промежутках левее меньшего корня и правее большего корня.

Решение для $t$: $t < -1$ или $t > 7$.

Учитывая условие $t > 0$, отбрасываем решение $t < -1$. Остается только $t > 7$.

Выполним обратную замену:

$7^x > 7$

Представим 7 как $7^1$:

$7^x > 7^1$

Так как основание $7 > 1$, функция $y=7^x$ возрастающая, поэтому знак неравенства для показателей сохраняется:

$x > 1$

Ответ: $x \in (1, +\infty)$.


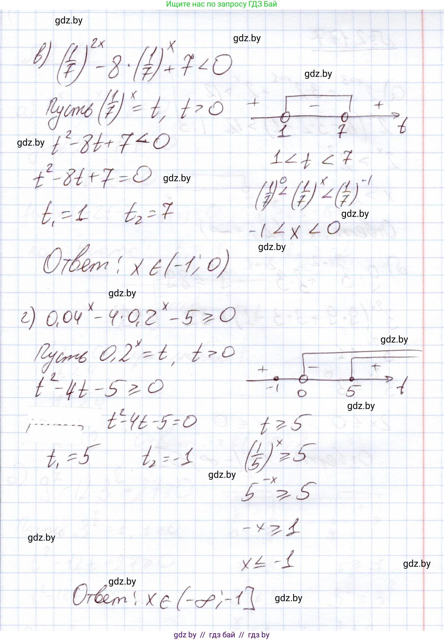
в) $(\frac{1}{7})^{2x} - 8 \cdot (\frac{1}{7})^x + 7 < 0$

Заметим, что $(\frac{1}{7})^{2x} = ((\frac{1}{7})^x)^2$.

Сделаем замену переменной. Пусть $t = (\frac{1}{7})^x$, где $t > 0$.

Неравенство принимает вид:

$t^2 - 8t + 7 < 0$

Найдем корни уравнения $t^2 - 8t + 7 = 0$. По теореме Виета, корни $t_1 = 1$ и $t_2 = 7$.

Парабола $y = t^2 - 8t + 7$ с ветвями вверх, значит, неравенство выполняется между корнями:

$1 < t < 7$

Это решение удовлетворяет условию $t > 0$.

Выполним обратную замену:

$1 < (\frac{1}{7})^x < 7$

Представим 1 и 7 как степени с основанием $\frac{1}{7}$:

$1 = (\frac{1}{7})^0$

$7 = (\frac{1}{7})^{-1}$

Неравенство принимает вид:

$(\frac{1}{7})^0 < (\frac{1}{7})^x < (\frac{1}{7})^{-1}$

Так как основание $0 < \frac{1}{7} < 1$, показательная функция $y=(\frac{1}{7})^x$ является убывающей. Поэтому при переходе к неравенству для показателей, знаки неравенства меняются на противоположные:

$0 > x > -1$

Что эквивалентно записи:

$-1 < x < 0$

Ответ: $x \in (-1, 0)$.


г) $0.04^x - 4 \cdot 0.2^x - 5 \ge 0$

Преобразуем основание $0.04$. Заметим, что $0.04 = (0.2)^2$. Тогда $0.04^x = ((0.2)^2)^x = (0.2^x)^2$.

Неравенство принимает вид:

$(0.2^x)^2 - 4 \cdot 0.2^x - 5 \ge 0$

Сделаем замену переменной. Пусть $t = 0.2^x$, где $t > 0$.

Получаем квадратное неравенство:

$t^2 - 4t - 5 \ge 0$

Найдем корни уравнения $t^2 - 4t - 5 = 0$. По теореме Виета, корни $t_1 = -1$ и $t_2 = 5$.

Парабола $y = t^2 - 4t - 5$ с ветвями вверх, поэтому неравенство выполняется на промежутках $t \le -1$ и $t \ge 5$.

Учитывая условие $t > 0$, отбрасываем решение $t \le -1$. Остается $t \ge 5$.

Выполним обратную замену:

$0.2^x \ge 5$

Представим 5 как степень с основанием 0.2:

$5 = \frac{1}{0.2} = (0.2)^{-1}$

Неравенство принимает вид:

$(0.2)^x \ge (0.2)^{-1}$

Так как основание $0 < 0.2 < 1$, показательная функция $y=(0.2)^x$ является убывающей. Следовательно, при переходе к неравенству для показателей, знак неравенства меняется на противоположный:

$x \le -1$

Ответ: $x \in (-\infty, -1]$.

Помогло решение? Оставьте отзыв в комментариях ниже.

Присоединяйтесь к Телеграм-группе @gdz_by_belarus

Присоединиться

Мы подготовили для вас ответ c подробным объяснением домашего задания по алгебре за 11 класс, для упражнения номер 2.176 расположенного на странице 91 к учебнику 2020 года издания для учащихся школ и гимназий.

Теперь на нашем сайте ГДЗ.ТОП вы всегда легко и бесплатно найдёте условие с правильным ответом на вопрос «Как решить ДЗ» и «Как сделать» задание по алгебре к упражнению №2.176 (с. 91), авторов: Арефьева (Ирина Глебовна), Пирютко (Ольга Николаевна), учебного пособия издательства Народная асвета.