Номер 2.181, страница 92 - гдз по алгебре 11 класс учебник Арефьева, Пирютко

Алгебра, 11 класс Учебник, авторы: Арефьева Ирина Глебовна, Пирютко Ольга Николаевна, издательство Народная асвета, Минск, 2020, бирюзового цвета

Авторы: Арефьева И. Г., Пирютко О. Н.

Тип: Учебник

Издательство: Народная асвета

Год издания: 2020 - 2025

Цвет обложки: бирюзовый, зелёный с графиком

ISBN: 978-985-03-3165-6

Популярные ГДЗ в 11 классе

Глава 2. Показательная функция. Параграф 6. Показательные неравенства - номер 2.181, страница 92.

№2.181 (с. 92)
Условие. №2.181 (с. 92)
скриншот условия
Алгебра, 11 класс Учебник, авторы: Арефьева Ирина Глебовна, Пирютко Ольга Николаевна, издательство Народная асвета, Минск, 2020, бирюзового цвета, страница 92, номер 2.181, Условие

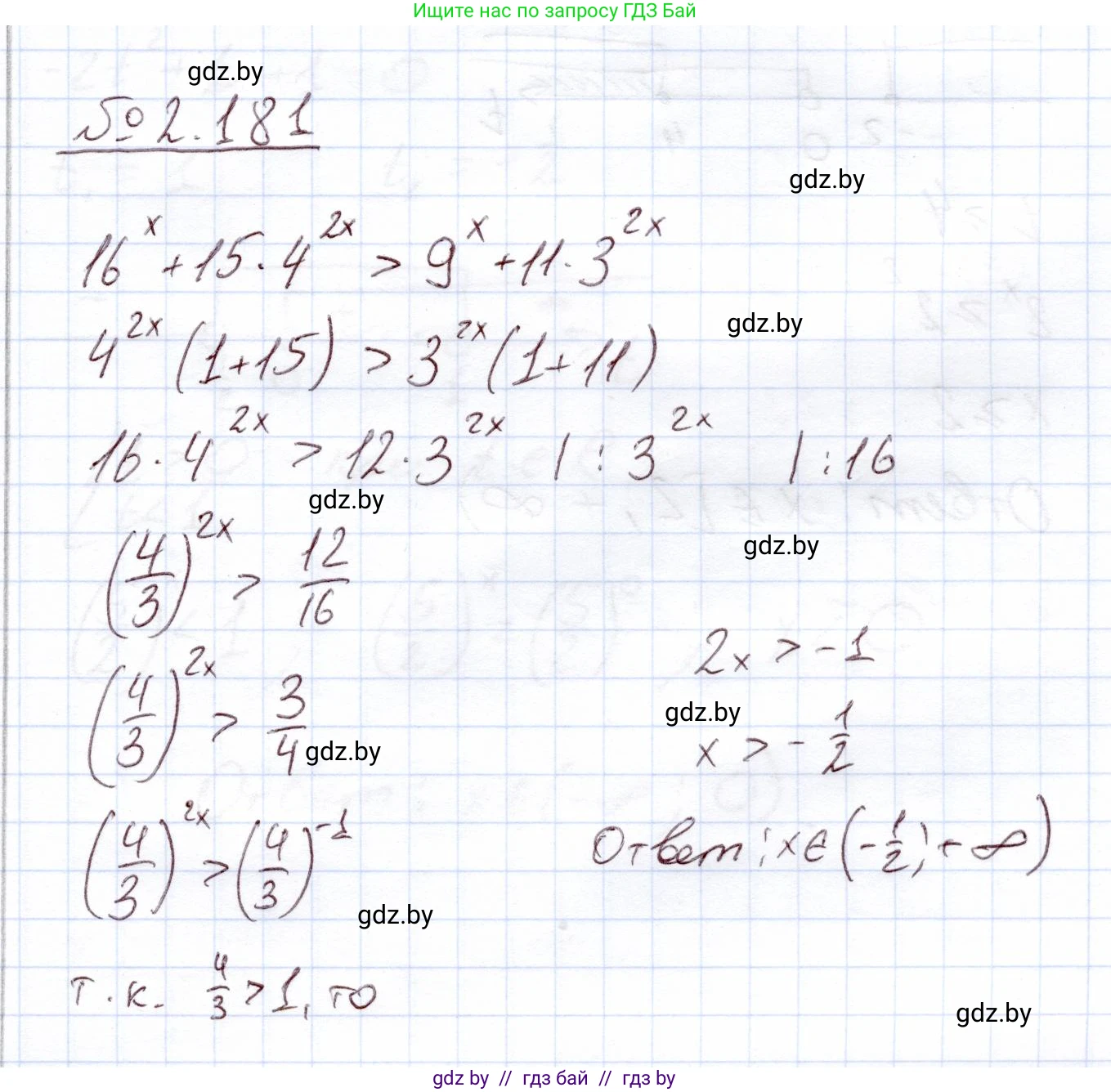
2.181. Решите неравенство $16^x + 15 \cdot 4^{2x} > 9^x + 11 \cdot 3^{2x}$.

Решение. №2.181 (с. 92)
Алгебра, 11 класс Учебник, авторы: Арефьева Ирина Глебовна, Пирютко Ольга Николаевна, издательство Народная асвета, Минск, 2020, бирюзового цвета, страница 92, номер 2.181, Решение
Решение 2. №2.181 (с. 92)

Исходное неравенство:

$16^x + 15 \cdot 4^{2x} > 9^x + 11 \cdot 3^{2x}$

Преобразуем выражения в левой и правой частях неравенства. Заметим, что основания степеней можно привести к одному виду:

$16^x = (4^2)^x = 4^{2x}$

$9^x = (3^2)^x = 3^{2x}$

Подставим эти выражения обратно в неравенство:

$4^{2x} + 15 \cdot 4^{2x} > 3^{2x} + 11 \cdot 3^{2x}$

Приведем подобные слагаемые в обеих частях неравенства:

$(1 + 15) \cdot 4^{2x} > (1 + 11) \cdot 3^{2x}$

$16 \cdot 4^{2x} > 12 \cdot 3^{2x}$

Разделим обе части неравенства на 4. Так как 4 - положительное число, знак неравенства не изменится:

$4 \cdot 4^{2x} > 3 \cdot 3^{2x}$

Используя свойство степени $a^m \cdot a^n = a^{m+n}$, упростим обе части:

$4^{1+2x} > 3^{1+2x}$

Разделим обе части неравенства на $3^{1+2x}$. Так как выражение $3^{1+2x}$ всегда положительно при любом действительном значении $x$, знак неравенства сохраняется:

$\frac{4^{1+2x}}{3^{1+2x}} > 1$

Используя свойство степени $\frac{a^m}{b^m} = (\frac{a}{b})^m$, получим:

$(\frac{4}{3})^{1+2x} > 1$

Поскольку любое число в нулевой степени равно 1, мы можем записать 1 как $(\frac{4}{3})^0$:

$(\frac{4}{3})^{1+2x} > (\frac{4}{3})^0$

Так как основание степени $\frac{4}{3} > 1$, показательная функция является возрастающей. Это означает, что большему значению функции соответствует большее значение показателя. Следовательно, мы можем перейти от неравенства для степеней к неравенству для их показателей:

$1 + 2x > 0$

Решим полученное линейное неравенство:

$2x > -1$

$x > -\frac{1}{2}$

Таким образом, решением неравенства является интервал от $-\frac{1}{2}$ до $+\infty$.

Ответ: $x \in (-\frac{1}{2}; +\infty)$

Помогло решение? Оставьте отзыв в комментариях ниже.

Присоединяйтесь к Телеграм-группе @gdz_by_belarus

Присоединиться

Мы подготовили для вас ответ c подробным объяснением домашего задания по алгебре за 11 класс, для упражнения номер 2.181 расположенного на странице 92 к учебнику 2020 года издания для учащихся школ и гимназий.

Теперь на нашем сайте ГДЗ.ТОП вы всегда легко и бесплатно найдёте условие с правильным ответом на вопрос «Как решить ДЗ» и «Как сделать» задание по алгебре к упражнению №2.181 (с. 92), авторов: Арефьева (Ирина Глебовна), Пирютко (Ольга Николаевна), учебного пособия издательства Народная асвета.