Номер 2.184, страница 92 - гдз по алгебре 11 класс учебник Арефьева, Пирютко

Алгебра, 11 класс Учебник, авторы: Арефьева Ирина Глебовна, Пирютко Ольга Николаевна, издательство Народная асвета, Минск, 2020, бирюзового цвета

Авторы: Арефьева И. Г., Пирютко О. Н.

Тип: Учебник

Издательство: Народная асвета

Год издания: 2020 - 2025

Цвет обложки: бирюзовый, зелёный с графиком

ISBN: 978-985-03-3165-6

Популярные ГДЗ в 11 классе

Глава 2. Показательная функция. Параграф 6. Показательные неравенства - номер 2.184, страница 92.

№2.184 (с. 92)
Условие. №2.184 (с. 92)
скриншот условия
Алгебра, 11 класс Учебник, авторы: Арефьева Ирина Глебовна, Пирютко Ольга Николаевна, издательство Народная асвета, Минск, 2020, бирюзового цвета, страница 92, номер 2.184, Условие

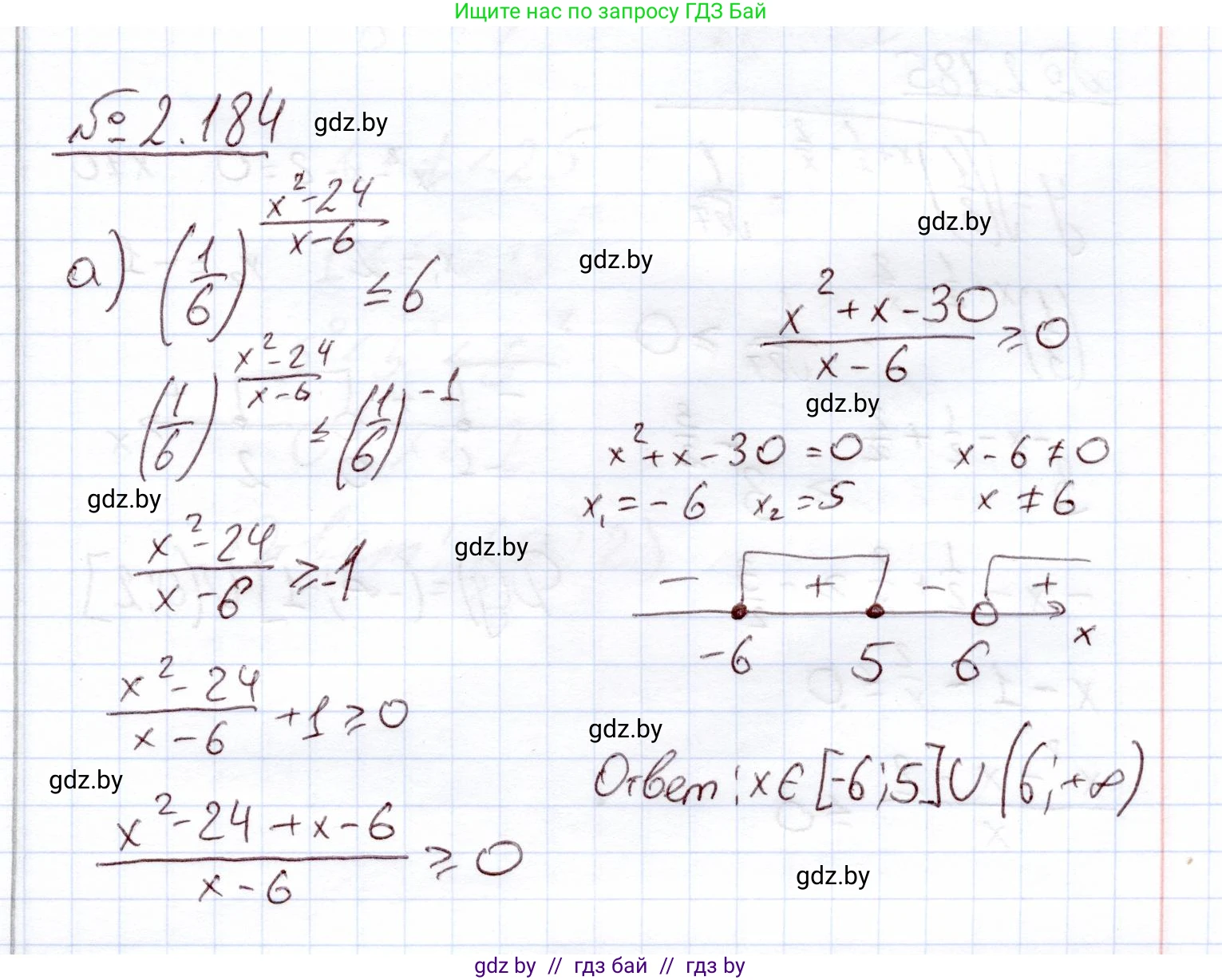
2.184. Решите неравенство:

а) $(\frac{1}{6})^{\frac{x^2 - 24}{x - 6}} \leq 6;$

б) $(1,3)^{\frac{x^2 - x - 6}{x}} < 1.$

Решение. №2.184 (с. 92)
Алгебра, 11 класс Учебник, авторы: Арефьева Ирина Глебовна, Пирютко Ольга Николаевна, издательство Народная асвета, Минск, 2020, бирюзового цвета, страница 92, номер 2.184, Решение Алгебра, 11 класс Учебник, авторы: Арефьева Ирина Глебовна, Пирютко Ольга Николаевна, издательство Народная асвета, Минск, 2020, бирюзового цвета, страница 92, номер 2.184, Решение (продолжение 2)
Решение 2. №2.184 (с. 92)

а) Дано показательное неравенство: $ \left(\frac{1}{6}\right)^{\frac{x^2 - 24}{x - 6}} \le 6 $.

Представим правую часть неравенства с основанием $\frac{1}{6}$, используя свойство степеней $a^{-1} = \frac{1}{a}$. Таким образом, $6 = \left(\frac{1}{6}\right)^{-1}$. Неравенство принимает вид:

$ \left(\frac{1}{6}\right)^{\frac{x^2 - 24}{x - 6}} \le \left(\frac{1}{6}\right)^{-1} $

Так как основание степени $a = \frac{1}{6}$ удовлетворяет условию $0 < a < 1$, показательная функция является убывающей. Это означает, что при переходе от неравенства для степеней к неравенству для их показателей знак неравенства необходимо изменить на противоположный:

$ \frac{x^2 - 24}{x - 6} \ge -1 $

Область допустимых значений (ОДЗ) для исходного выражения определяется условием, что знаменатель показателя не равен нулю: $x - 6 \ne 0$, то есть $x \ne 6$.

Решим полученное рациональное неравенство, перенеся все члены в левую часть и приведя их к общему знаменателю:

$ \frac{x^2 - 24}{x - 6} + 1 \ge 0 $

$ \frac{x^2 - 24 + (x - 6)}{x - 6} \ge 0 $

$ \frac{x^2 + x - 30}{x - 6} \ge 0 $

Найдем корни числителя, решив квадратное уравнение $x^2 + x - 30 = 0$. Используя теорему Виета, находим корни: $x_1 = -6$ и $x_2 = 5$. Теперь числитель можно разложить на множители: $(x+6)(x-5)$.

Неравенство принимает вид:

$ \frac{(x + 6)(x - 5)}{x - 6} \ge 0 $

Для решения этого неравенства применим метод интервалов. Критические точки, которые разбивают числовую ось на интервалы, это корни числителя $x=-6$, $x=5$ и корень знаменателя $x=6$. Точки $x=-6$ и $x=5$ включаются в решение, так как неравенство нестрогое ($\ge$). Точка $x=6$ исключается, так как она обращает знаменатель в ноль.

Проанализируем знаки выражения на каждом интервале:

- для $x \in (6, +\infty)$ выражение положительно;
- для $x \in (5, 6)$ выражение отрицательно;
- для $x \in (-6, 5)$ выражение положительно;
- для $x \in (-\infty, -6)$ выражение отрицательно.

С учетом знака неравенства ($\ge$) и того, что точки -6 и 5 включены, решением является объединение промежутков: $[-6, 5] \cup (6, +\infty)$.

Ответ: $x \in [-6, 5] \cup (6, +\infty)$.

б) Дано показательное неравенство: $ (1,3)^{\frac{x^2 - x - 6}{x}} < 1 $.

Представим правую часть неравенства с основанием $1,3$. Любое положительное число в нулевой степени равно единице, поэтому $1 = (1,3)^0$. Неравенство принимает вид:

$ (1,3)^{\frac{x^2 - x - 6}{x}} < (1,3)^0 $

Так как основание степени $a = 1,3$ больше 1 ($a > 1$), показательная функция является возрастающей. Это означает, что при переходе к неравенству для показателей знак неравенства сохраняется:

$ \frac{x^2 - x - 6}{x} < 0 $

Область допустимых значений (ОДЗ) определяется условием $x \ne 0$.

Чтобы решить полученное рациональное неравенство, найдем корни числителя, решив квадратное уравнение $x^2 - x - 6 = 0$. По теореме Виета, корни уравнения: $x_1 = 3$ и $x_2 = -2$.

Разложим числитель на множители: $(x-3)(x+2)$. Неравенство принимает вид:

$ \frac{(x - 3)(x + 2)}{x} < 0 $

Применим метод интервалов. Критические точки: $x=-2$, $x=0$ и $x=3$. Все точки не входят в решение (являются "выколотыми"), так как неравенство строгое ($<$), а $x=0$ к тому же является корнем знаменателя.

Проанализируем знаки выражения на каждом интервале:

- для $x \in (3, +\infty)$ выражение положительно;
- для $x \in (0, 3)$ выражение отрицательно;
- для $x \in (-2, 0)$ выражение положительно;
- для $x \in (-\infty, -2)$ выражение отрицательно.

Так как мы ищем значения $x$, при которых выражение меньше нуля, решением является объединение интервалов, где выражение отрицательно.

Ответ: $x \in (-\infty, -2) \cup (0, 3)$.

Помогло решение? Оставьте отзыв в комментариях ниже.

Присоединяйтесь к Телеграм-группе @gdz_by_belarus

Присоединиться

Мы подготовили для вас ответ c подробным объяснением домашего задания по алгебре за 11 класс, для упражнения номер 2.184 расположенного на странице 92 к учебнику 2020 года издания для учащихся школ и гимназий.

Теперь на нашем сайте ГДЗ.ТОП вы всегда легко и бесплатно найдёте условие с правильным ответом на вопрос «Как решить ДЗ» и «Как сделать» задание по алгебре к упражнению №2.184 (с. 92), авторов: Арефьева (Ирина Глебовна), Пирютко (Ольга Николаевна), учебного пособия издательства Народная асвета.