Номер 2.174, страница 91 - гдз по алгебре 11 класс учебник Арефьева, Пирютко

Алгебра, 11 класс Учебник, авторы: Арефьева Ирина Глебовна, Пирютко Ольга Николаевна, издательство Народная асвета, Минск, 2020, бирюзового цвета

Авторы: Арефьева И. Г., Пирютко О. Н.

Тип: Учебник

Издательство: Народная асвета

Год издания: 2020 - 2025

Цвет обложки: бирюзовый, зелёный с графиком

ISBN: 978-985-03-3165-6

Популярные ГДЗ в 11 классе

Глава 2. Показательная функция. Параграф 6. Показательные неравенства - номер 2.174, страница 91.

№2.174 (с. 91)
Условие. №2.174 (с. 91)
скриншот условия
Алгебра, 11 класс Учебник, авторы: Арефьева Ирина Глебовна, Пирютко Ольга Николаевна, издательство Народная асвета, Минск, 2020, бирюзового цвета, страница 91, номер 2.174, Условие

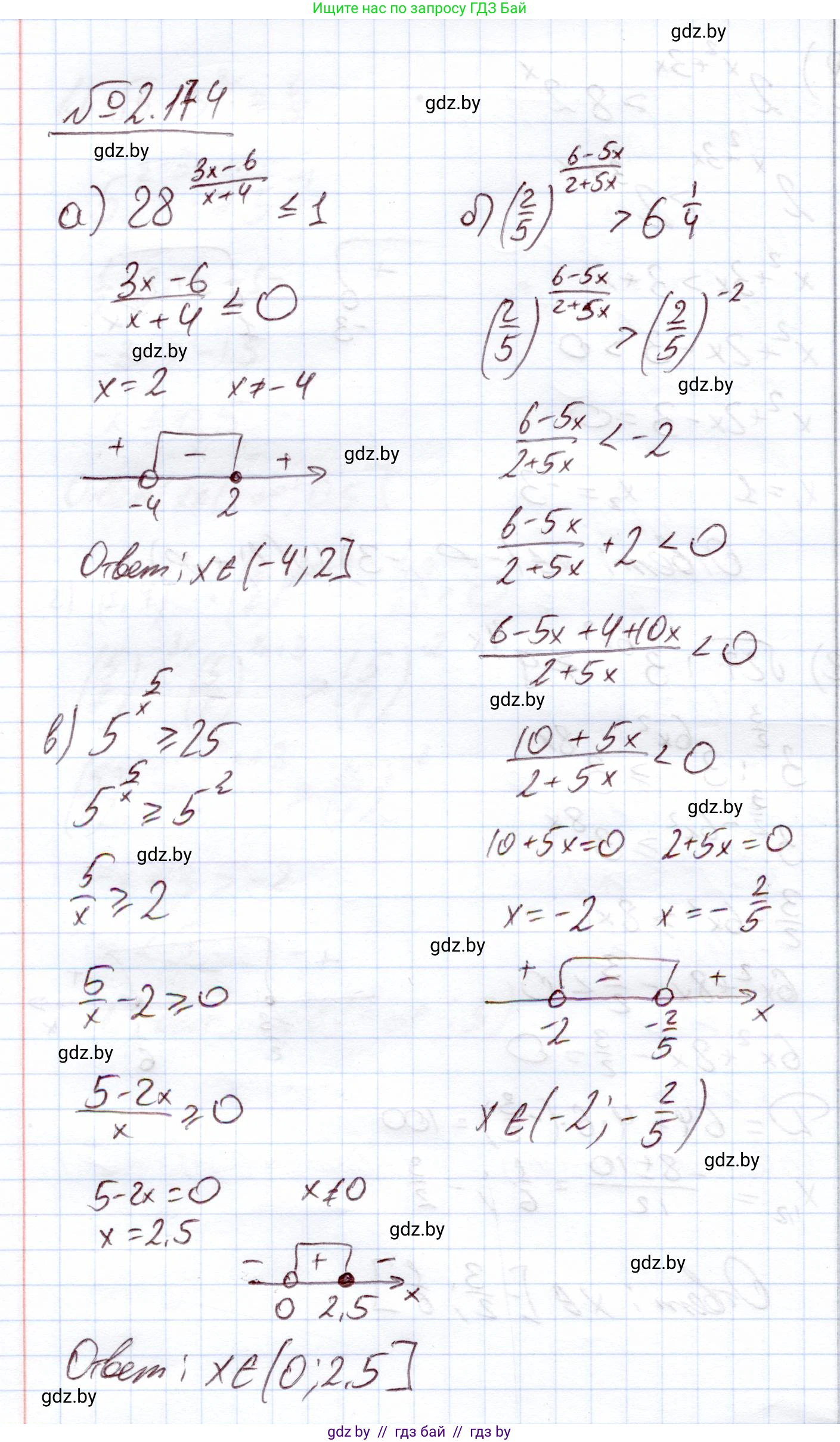
2.174. Решите неравенство:

а) $28^{\frac{3x-6}{x+4}} \le 1;$

б) $(\frac{2}{5})^{\frac{6-5x}{2+5x}} > 6\frac{1}{4};$

в) $5^{\frac{5}{x}} \ge 25;$

г) $(\frac{2}{3})^{\frac{2x-6}{3x+5}} \ge 2,25;$

д) $3^{5x-2} \le (\frac{1}{3})^{\frac{1}{5-3x}};$

е) $5^{2-x} \le 0,2^{x-3}.$

Решение. №2.174 (с. 91)
Алгебра, 11 класс Учебник, авторы: Арефьева Ирина Глебовна, Пирютко Ольга Николаевна, издательство Народная асвета, Минск, 2020, бирюзового цвета, страница 91, номер 2.174, Решение Алгебра, 11 класс Учебник, авторы: Арефьева Ирина Глебовна, Пирютко Ольга Николаевна, издательство Народная асвета, Минск, 2020, бирюзового цвета, страница 91, номер 2.174, Решение (продолжение 2) Алгебра, 11 класс Учебник, авторы: Арефьева Ирина Глебовна, Пирютко Ольга Николаевна, издательство Народная асвета, Минск, 2020, бирюзового цвета, страница 91, номер 2.174, Решение (продолжение 3)
Решение 2. №2.174 (с. 91)

а) Исходное неравенство: $28^{\frac{3x-6}{x+4}} \le 1$.
Представим 1 в виде степени с основанием 28: $1 = 28^0$.
$28^{\frac{3x-6}{x+4}} \le 28^0$.
Так как основание степени $28 > 1$, показательная функция является возрастающей. Следовательно, можно перейти к неравенству для показателей, сохранив знак неравенства:
$\frac{3x-6}{x+4} \le 0$.
Решим это рациональное неравенство методом интервалов.
Найдём нули числителя: $3x-6=0 \Rightarrow x=2$.
Найдём нули знаменателя (точку разрыва): $x+4=0 \Rightarrow x=-4$.
Нанесём точки на числовую ось. Точка $x=2$ будет закрашенной (включена в решение), так как неравенство нестрогое. Точка $x=-4$ будет выколотой (не включена в решение), так как находится в знаменателе.
Определим знаки выражения на интервалах $(-\infty; -4)$, $(-4; 2]$ и $[2; +\infty)$.
При $x>2$, например $x=3$: $\frac{3(3)-6}{3+4} = \frac{3}{7} > 0$.
При $-4<x<2$, например $x=0$: $\frac{3(0)-6}{0+4} = -\frac{6}{4} < 0$.
При $x<-4$, например $x=-5$: $\frac{3(-5)-6}{-5+4} = \frac{-21}{-1} > 0$.
Нам нужен интервал, где выражение меньше или равно нулю. Это интервал $(-4, 2]$.
Ответ: $x \in (-4; 2]$.

б) Исходное неравенство: $(\frac{2}{5})^{\frac{6-5x}{2+5x}} > 6\frac{1}{4}$.
Преобразуем правую часть: $6\frac{1}{4} = \frac{25}{4} = (\frac{5}{2})^2 = (\frac{2}{5})^{-2}$.
Неравенство принимает вид: $(\frac{2}{5})^{\frac{6-5x}{2+5x}} > (\frac{2}{5})^{-2}$.
Так как основание степени $\frac{2}{5} < 1$, показательная функция является убывающей. При переходе к неравенству для показателей знак неравенства меняется на противоположный:
$\frac{6-5x}{2+5x} < -2$.
Перенесём всё в левую часть и приведём к общему знаменателю:
$\frac{6-5x}{2+5x} + 2 < 0$
$\frac{6-5x + 2(2+5x)}{2+5x} < 0$
$\frac{6-5x+4+10x}{2+5x} < 0$
$\frac{5x+10}{2+5x} < 0$.
Решим методом интервалов. Нули числителя: $5x+10=0 \Rightarrow x=-2$. Нули знаменателя: $2+5x=0 \Rightarrow x=-0,4$.
Обе точки выколотые, так как неравенство строгое. Определим знаки на интервалах $(-\infty; -2)$, $(-2; -0,4)$ и $(-0,4; +\infty)$.
При $x > -0,4$: $(+)/(+) > 0$.
При $-2 < x < -0,4$: $(+)/(-) < 0$.
При $x < -2$: $(-)/(-) > 0$.
Нам нужен интервал, где выражение меньше нуля. Это интервал $(-2; -0,4)$.
Ответ: $x \in (-2; -0,4)$.

в) Исходное неравенство: $5^{\frac{5}{x}} \ge 25$.
Представим правую часть как степень с основанием 5: $25 = 5^2$.
$5^{\frac{5}{x}} \ge 5^2$.
Так как основание $5>1$, переходим к неравенству для показателей, сохраняя знак:
$\frac{5}{x} \ge 2$.
Учтем, что $x \ne 0$. Перенесём 2 влево:
$\frac{5}{x} - 2 \ge 0 \Rightarrow \frac{5-2x}{x} \ge 0$.
Методом интервалов находим нули: числитель $5-2x=0 \Rightarrow x=2,5$; знаменатель $x=0$.
Точка $x=2,5$ закрашенная, точка $x=0$ выколотая.
Интервалы: $(-\infty; 0)$, $(0; 2,5]$, $[2,5; +\infty)$.
Знаки: $(-)/(-) = +$, $(+)/(+) = +$, $(-)/(+) = -$. Ошибка в ручном подборе, проверим:
При $x>2,5$, например $x=3$: $\frac{5-6}{3}<0$.
При $0<x<2,5$, например $x=1$: $\frac{5-2}{1}>0$.
При $x<0$, например $x=-1$: $\frac{5+2}{-1}<0$.
Нам нужен интервал, где выражение больше или равно нулю. Это $(0; 2,5]$.
Ответ: $x \in (0; 2,5]$.

г) Исходное неравенство: $(\frac{2}{3})^{\frac{2x-6}{3x+5}} \ge 2,25$.
Преобразуем правую часть: $2,25 = \frac{9}{4} = (\frac{3}{2})^2 = (\frac{2}{3})^{-2}$.
$(\frac{2}{3})^{\frac{2x-6}{3x+5}} \ge (\frac{2}{3})^{-2}$.
Основание $\frac{2}{3} < 1$, поэтому знак неравенства меняется:
$\frac{2x-6}{3x+5} \le -2$.
$\frac{2x-6}{3x+5} + 2 \le 0 \Rightarrow \frac{2x-6+2(3x+5)}{3x+5} \le 0 \Rightarrow \frac{2x-6+6x+10}{3x+5} \le 0 \Rightarrow \frac{8x+4}{3x+5} \le 0$.
Нули числителя: $8x+4=0 \Rightarrow x=-0,5$. Нули знаменателя: $3x+5=0 \Rightarrow x=-5/3$.
Точка $x=-0,5$ закрашенная, $x=-5/3$ выколотая.
Интервалы: $(-\infty; -5/3)$, $(-5/3; -0,5]$, $[-0,5; +\infty)$.
Знаки: $(+)$, $(-)$, $(+)$.
Нам нужен интервал, где выражение меньше или равно нулю. Это $(-5/3; -0,5]$.
Ответ: $x \in (-5/3; -0,5]$.

д) Исходное неравенство: $3^{\frac{1}{5x-2}} \le (\frac{1}{3})^{\frac{1}{5-3x}}$.
Приведем к одному основанию 3: $(\frac{1}{3})^{\frac{1}{5-3x}} = (3^{-1})^{\frac{1}{5-3x}} = 3^{-\frac{1}{5-3x}}$.
$3^{\frac{1}{5x-2}} \le 3^{-\frac{1}{5-3x}}$.
Основание $3 > 1$, знак неравенства сохраняется:
$\frac{1}{5x-2} \le -\frac{1}{5-3x} \Rightarrow \frac{1}{5x-2} + \frac{1}{5-3x} \le 0$.
$\frac{(5-3x) + (5x-2)}{(5x-2)(5-3x)} \le 0 \Rightarrow \frac{2x+3}{(5x-2)(5-3x)} \le 0$.
Нули: числитель $2x+3=0 \Rightarrow x=-1,5$; знаменатель $5x-2=0 \Rightarrow x=0,4$ и $5-3x=0 \Rightarrow x=5/3$.
Точка $x=-1,5$ закрашенная, точки $x=0,4$ и $x=5/3$ выколотые.
Нанесем точки на ось: $-1,5$, $0,4$, $5/3$.
Определим знаки на интервалах:
$x > 5/3$ (например, $x=2$): $\frac{(+)}{(+)(-)} < 0$.
$0,4 < x < 5/3$ (например, $x=1$): $\frac{(+)}{(+)(+)} > 0$.
$-1,5 < x < 0,4$ (например, $x=0$): $\frac{(+)}{(-)(+)} < 0$.
$x < -1,5$ (например, $x=-2$): $\frac{(-)}{(-)(+)} > 0$.
Нам нужны интервалы, где выражение меньше или равно нулю. Это $[-1,5; 0,4) \cup (5/3; +\infty)$.
Ответ: $x \in [-1,5; 0,4) \cup (5/3; +\infty)$.

е) Исходное неравенство: $5^{\frac{x-3}{2-x}} \le 0,2^{x-3}$.
Приведем к одному основанию 5: $0,2 = 1/5 = 5^{-1}$, поэтому $0,2^{x-3} = (5^{-1})^{x-3} = 5^{-(x-3)} = 5^{3-x}$.
$5^{\frac{x-3}{2-x}} \le 5^{3-x}$.
Основание $5 > 1$, знак сохраняется:
$\frac{x-3}{2-x} \le 3-x$.
$\frac{x-3}{2-x} - (3-x) \le 0 \Rightarrow \frac{x-3 - (3-x)(2-x)}{2-x} \le 0$.
$\frac{x-3 - (6-5x+x^2)}{2-x} \le 0 \Rightarrow \frac{x-3-6+5x-x^2}{2-x} \le 0 \Rightarrow \frac{-x^2+6x-9}{2-x} \le 0$.
Умножим числитель и знаменатель на -1, что не изменит дробь: $\frac{x^2-6x+9}{x-2} \le 0$.
$\frac{(x-3)^2}{x-2} \le 0$.
Данное неравенство выполняется в двух случаях:
1) Равенство нулю: $\frac{(x-3)^2}{x-2} = 0$. Это возможно, когда числитель равен нулю, а знаменатель нет. $(x-3)^2=0 \Rightarrow x=3$. При $x=3$ знаменатель $3-2=1 \ne 0$. Значит $x=3$ является решением.
2) Строгое неравенство: $\frac{(x-3)^2}{x-2} < 0$. Так как числитель $(x-3)^2 \ge 0$ при любом $x$ (и строго положителен при $x \ne 3$), для выполнения неравенства необходимо, чтобы знаменатель был отрицателен: $x-2 < 0 \Rightarrow x < 2$.
Объединяя оба случая, получаем решение: $x < 2$ или $x=3$.
Ответ: $x \in (-\infty; 2) \cup \{3\}$.

Помогло решение? Оставьте отзыв в комментариях ниже.

Присоединяйтесь к Телеграм-группе @gdz_by_belarus

Присоединиться

Мы подготовили для вас ответ c подробным объяснением домашего задания по алгебре за 11 класс, для упражнения номер 2.174 расположенного на странице 91 к учебнику 2020 года издания для учащихся школ и гимназий.

Теперь на нашем сайте ГДЗ.ТОП вы всегда легко и бесплатно найдёте условие с правильным ответом на вопрос «Как решить ДЗ» и «Как сделать» задание по алгебре к упражнению №2.174 (с. 91), авторов: Арефьева (Ирина Глебовна), Пирютко (Ольга Николаевна), учебного пособия издательства Народная асвета.