Номер 2.196, страница 93 - гдз по алгебре 11 класс учебник Арефьева, Пирютко

Алгебра, 11 класс Учебник, авторы: Арефьева Ирина Глебовна, Пирютко Ольга Николаевна, издательство Народная асвета, Минск, 2020, бирюзового цвета

Авторы: Арефьева И. Г., Пирютко О. Н.

Тип: Учебник

Издательство: Народная асвета

Год издания: 2020 - 2025

Цвет обложки: бирюзовый, зелёный с графиком

ISBN: 978-985-03-3165-6

Популярные ГДЗ в 11 классе

Глава 2. Показательная функция. Параграф 6. Показательные неравенства - номер 2.196, страница 93.

№2.196 (с. 93)
Условие. №2.196 (с. 93)
скриншот условия
Алгебра, 11 класс Учебник, авторы: Арефьева Ирина Глебовна, Пирютко Ольга Николаевна, издательство Народная асвета, Минск, 2020, бирюзового цвета, страница 93, номер 2.196, Условие

2.196. Решите неравенство, используя свойство монотонности показательной функции:

а) $4^{x^2 - 6} \le 64;$

б) $(0,5)^{x^2 - 2} \le 0,25;$

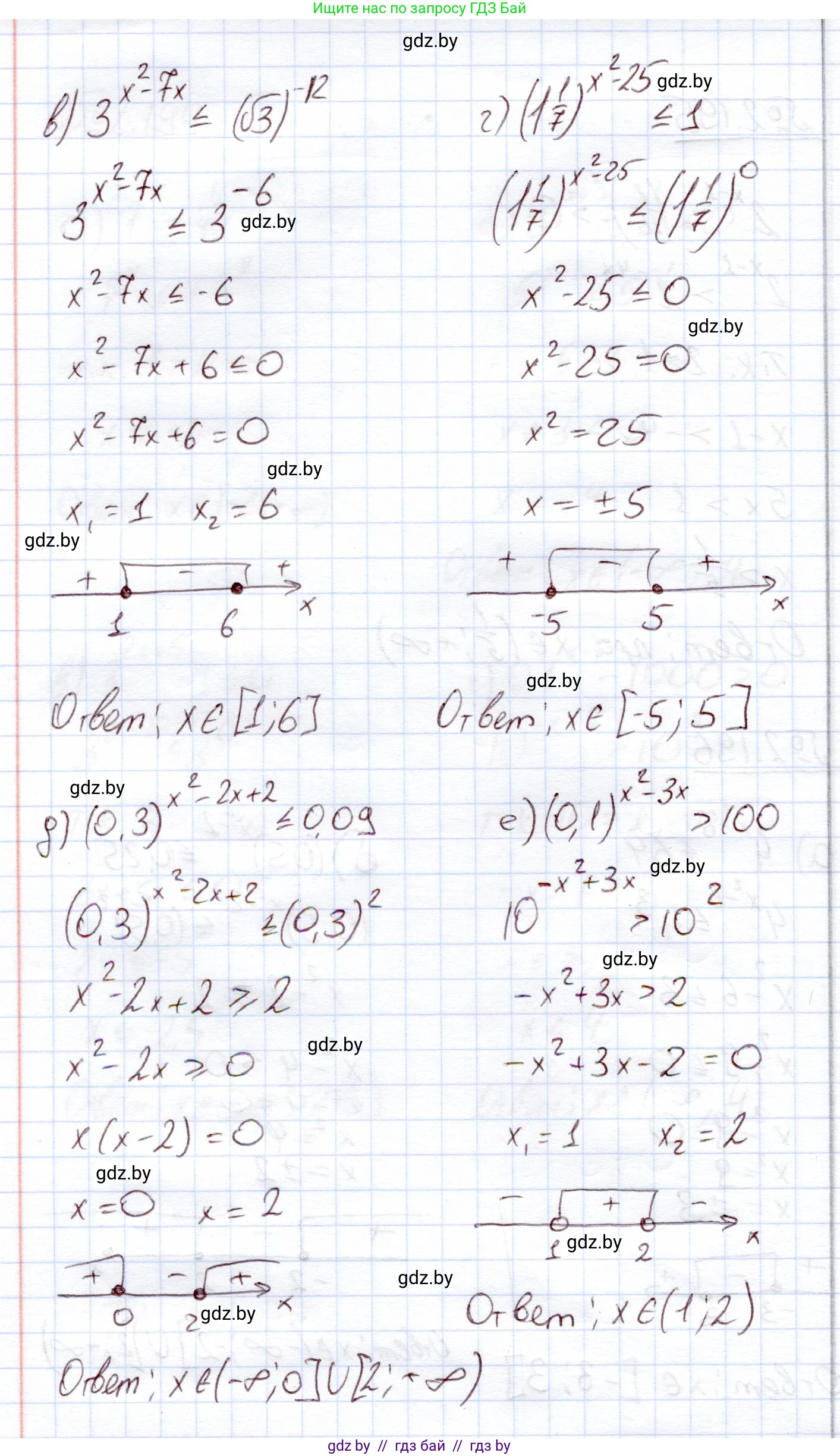
в) $3^{x^2 - 7x} \le (\sqrt{3})^{-12};$

г) $(1\frac{1}{7})^{x^2 - 25} \le 1;$

д) $(0,3)^{x^2 - 2x + 2} \le 0,09;$

е) $(0,1)^{x^2 - 3x} > 100.$

Решение. №2.196 (с. 93)
Алгебра, 11 класс Учебник, авторы: Арефьева Ирина Глебовна, Пирютко Ольга Николаевна, издательство Народная асвета, Минск, 2020, бирюзового цвета, страница 93, номер 2.196, Решение Алгебра, 11 класс Учебник, авторы: Арефьева Ирина Глебовна, Пирютко Ольга Николаевна, издательство Народная асвета, Минск, 2020, бирюзового цвета, страница 93, номер 2.196, Решение (продолжение 2)
Решение 2. №2.196 (с. 93)

а) Дано неравенство $4^{x^2 - 6} \le 64$.
Приведем обе части неравенства к одному основанию 4. Так как $64 = 4^3$, неравенство принимает вид:
$4^{x^2 - 6} \le 4^3$.
Поскольку основание степени $a=4 > 1$, показательная функция $y=4^t$ является возрастающей. Следовательно, при переходе к неравенству для показателей знак неравенства сохраняется:
$x^2 - 6 \le 3$
$x^2 - 9 \le 0$
$(x - 3)(x + 3) \le 0$.
Решением этого квадратного неравенства является промежуток между корнями -3 и 3, включая сами корни.
Ответ: $x \in [-3, 3]$.

б) Дано неравенство $(0,5)^{x^2 - 2} \le 0,25$.
Приведем обе части к основанию 0,5. Так как $0,25 = (0,5)^2$, получаем:
$(0,5)^{x^2 - 2} \le (0,5)^2$.
Поскольку основание степени $a=0,5$, и $0 < 0,5 < 1$, показательная функция $y=(0,5)^t$ является убывающей. При переходе к неравенству для показателей знак неравенства меняется на противоположный:
$x^2 - 2 \ge 2$
$x^2 - 4 \ge 0$
$(x - 2)(x + 2) \ge 0$.
Решением этого квадратного неравенства является объединение промежутков, лежащих вне корней -2 и 2.
Ответ: $x \in (-\infty, -2] \cup [2, \infty)$.

в) Дано неравенство $3^{x^2 - 7x} \le (\sqrt{3})^{-12}$.
Приведем правую часть к основанию 3: $(\sqrt{3})^{-12} = (3^{1/2})^{-12} = 3^{-6}$.
Неравенство принимает вид: $3^{x^2 - 7x} \le 3^{-6}$.
Так как основание $a=3 > 1$, показательная функция возрастающая, знак неравенства сохраняется:
$x^2 - 7x \le -6$
$x^2 - 7x + 6 \le 0$.
Найдем корни квадратного трехчлена $x^2 - 7x + 6 = 0$. По теореме Виета, корни $x_1=1, x_2=6$.
$(x - 1)(x - 6) \le 0$.
Решением является отрезок между корнями.
Ответ: $x \in [1, 6]$.

г) Дано неравенство $(1\frac{1}{7})^{x^2 - 25} \le 1$.
Преобразуем основание и правую часть: $1\frac{1}{7} = \frac{8}{7}$ и $1 = (\frac{8}{7})^0$.
Неравенство принимает вид: $(\frac{8}{7})^{x^2 - 25} \le (\frac{8}{7})^0$.
Основание $a=\frac{8}{7} > 1$, поэтому показательная функция возрастающая, и знак неравенства сохраняется:
$x^2 - 25 \le 0$
$(x - 5)(x + 5) \le 0$.
Решением является отрезок между корнями -5 и 5.
Ответ: $x \in [-5, 5]$.

д) Дано неравенство $(0,3)^{x^2 - 2x + 2} \le 0,09$.
Приведем правую часть к основанию 0,3: $0,09 = (0,3)^2$.
Неравенство принимает вид: $(0,3)^{x^2 - 2x + 2} \le (0,3)^2$.
Основание $a=0,3$, и $0 < 0,3 < 1$, поэтому показательная функция убывающая, и знак неравенства меняется на противоположный:
$x^2 - 2x + 2 \ge 2$
$x^2 - 2x \ge 0$
$x(x - 2) \ge 0$.
Решением является объединение промежутков, лежащих вне корней 0 и 2.
Ответ: $x \in (-\infty, 0] \cup [2, \infty)$.

е) Дано неравенство $(0,1)^{x^2 - 3x} > 100$.
Приведем обе части к основанию 0,1. $100 = 10^2 = (\frac{1}{10})^{-2} = (0,1)^{-2}$.
Неравенство принимает вид: $(0,1)^{x^2 - 3x} > (0,1)^{-2}$.
Основание $a=0,1$, и $0 < 0,1 < 1$, поэтому показательная функция убывающая, и знак неравенства меняется на противоположный:
$x^2 - 3x < -2$
$x^2 - 3x + 2 < 0$.
Найдем корни уравнения $x^2 - 3x + 2 = 0$. По теореме Виета, корни $x_1=1, x_2=2$.
$(x - 1)(x - 2) < 0$.
Решением является интервал между корнями.
Ответ: $x \in (1, 2)$.

Помогло решение? Оставьте отзыв в комментариях ниже.

Присоединяйтесь к Телеграм-группе @gdz_by_belarus

Присоединиться

Мы подготовили для вас ответ c подробным объяснением домашего задания по алгебре за 11 класс, для упражнения номер 2.196 расположенного на странице 93 к учебнику 2020 года издания для учащихся школ и гимназий.

Теперь на нашем сайте ГДЗ.ТОП вы всегда легко и бесплатно найдёте условие с правильным ответом на вопрос «Как решить ДЗ» и «Как сделать» задание по алгебре к упражнению №2.196 (с. 93), авторов: Арефьева (Ирина Глебовна), Пирютко (Ольга Николаевна), учебного пособия издательства Народная асвета.