Номер 2.199, страница 93 - гдз по алгебре 11 класс учебник Арефьева, Пирютко

Алгебра, 11 класс Учебник, авторы: Арефьева Ирина Глебовна, Пирютко Ольга Николаевна, издательство Народная асвета, Минск, 2020, бирюзового цвета

Авторы: Арефьева И. Г., Пирютко О. Н.

Тип: Учебник

Издательство: Народная асвета

Год издания: 2020 - 2025

Цвет обложки: бирюзовый, зелёный с графиком

ISBN: 978-985-03-3165-6

Популярные ГДЗ в 11 классе

Глава 2. Показательная функция. Параграф 6. Показательные неравенства - номер 2.199, страница 93.

№2.199 (с. 93)
Условие. №2.199 (с. 93)
скриншот условия
Алгебра, 11 класс Учебник, авторы: Арефьева Ирина Глебовна, Пирютко Ольга Николаевна, издательство Народная асвета, Минск, 2020, бирюзового цвета, страница 93, номер 2.199, Условие

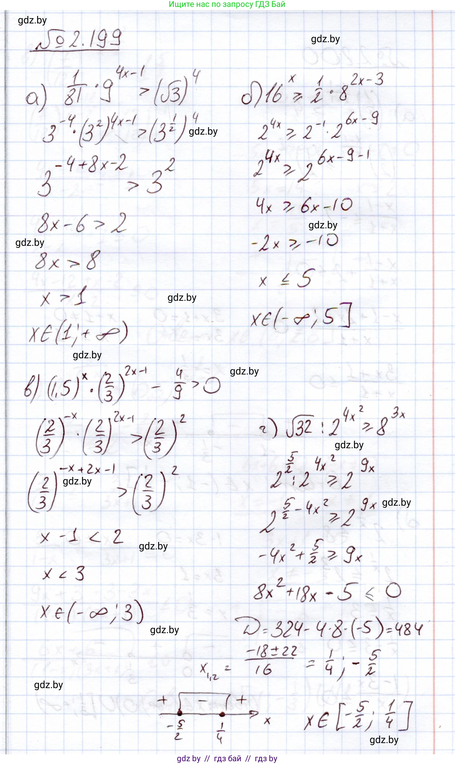
2.199. Решите неравенство, выполнив преобразования степеней:

a) $\frac{1}{81} \cdot 9^{4x-1} > (\sqrt{3})^4$;

б) $16^x \ge \frac{1}{2} \cdot 8^{2x-3}$;

в) $(1,5)^x \cdot (\frac{2}{3})^{2x-1} - \frac{4}{9} > 0$;

г) $\sqrt{32} : 2^{4x^2} \ge 8^{3x}$.

Решение. №2.199 (с. 93)
Алгебра, 11 класс Учебник, авторы: Арефьева Ирина Глебовна, Пирютко Ольга Николаевна, издательство Народная асвета, Минск, 2020, бирюзового цвета, страница 93, номер 2.199, Решение
Решение 2. №2.199 (с. 93)

а) $\frac{1}{81} \cdot 9^{4x-1} > (\sqrt{3})^4$

Приведем обе части неравенства к основанию 3.

$\frac{1}{81} = \frac{1}{3^4} = 3^{-4}$

$9^{4x-1} = (3^2)^{4x-1} = 3^{2(4x-1)} = 3^{8x-2}$

$(\sqrt{3})^4 = (3^{1/2})^4 = 3^{(1/2) \cdot 4} = 3^2$

Подставим преобразованные выражения в исходное неравенство:

$3^{-4} \cdot 3^{8x-2} > 3^2$

Используем свойство степеней $a^m \cdot a^n = a^{m+n}$:

$3^{-4 + 8x - 2} > 3^2$

$3^{8x-6} > 3^2$

Так как основание степени $3 > 1$, переходим к неравенству для показателей степеней, сохраняя знак неравенства:

$8x - 6 > 2$

$8x > 8$

$x > 1$

Ответ: $x \in (1; +\infty)$

б) $16^x \ge \frac{1}{2} \cdot 8^{2x-3}$

Приведем обе части неравенства к основанию 2.

$16^x = (2^4)^x = 2^{4x}$

$\frac{1}{2} = 2^{-1}$

$8^{2x-3} = (2^3)^{2x-3} = 2^{3(2x-3)} = 2^{6x-9}$

Подставим преобразованные выражения в исходное неравенство:

$2^{4x} \ge 2^{-1} \cdot 2^{6x-9}$

$2^{4x} \ge 2^{-1+6x-9}$

$2^{4x} \ge 2^{6x-10}$

Так как основание степени $2 > 1$, переходим к неравенству для показателей степеней, сохраняя знак неравенства:

$4x \ge 6x - 10$

$10 \ge 6x - 4x$

$10 \ge 2x$

$5 \ge x$ или $x \le 5$

Ответ: $x \in (-\infty; 5]$

в) $(1,5)^x \cdot (\frac{2}{3})^{2x-1} - \frac{4}{9} > 0$

Перенесем слагаемое в правую часть и преобразуем выражения, приведя их к одному основанию.

$(1,5)^x \cdot (\frac{2}{3})^{2x-1} > \frac{4}{9}$

Заметим, что $1,5 = \frac{3}{2}$, а $\frac{2}{3} = (\frac{3}{2})^{-1}$. Приведем все к основанию $\frac{3}{2}$.

$(\frac{2}{3})^{2x-1} = ((\frac{3}{2})^{-1})^{2x-1} = (\frac{3}{2})^{-(2x-1)} = (\frac{3}{2})^{-2x+1}$

$\frac{4}{9} = (\frac{2}{3})^2 = ((\frac{3}{2})^{-1})^2 = (\frac{3}{2})^{-2}$

Подставим преобразованные выражения в неравенство:

$(\frac{3}{2})^x \cdot (\frac{3}{2})^{-2x+1} > (\frac{3}{2})^{-2}$

$(\frac{3}{2})^{x+(-2x+1)} > (\frac{3}{2})^{-2}$

$(\frac{3}{2})^{-x+1} > (\frac{3}{2})^{-2}$

Так как основание степени $\frac{3}{2} > 1$, переходим к неравенству для показателей степеней, сохраняя знак неравенства:

$-x + 1 > -2$

$-x > -3$

$x < 3$

Ответ: $x \in (-\infty; 3)$

г) $\sqrt{32} : 2^{4x^2} \ge 8^{3x}$

Приведем обе части неравенства к основанию 2.

$\sqrt{32} = \sqrt{2^5} = (2^5)^{1/2} = 2^{5/2}$

$8^{3x} = (2^3)^{3x} = 2^{9x}$

Подставим преобразованные выражения в исходное неравенство:

$2^{5/2} : 2^{4x^2} \ge 2^{9x}$

Используем свойство степеней $a^m : a^n = a^{m-n}$:

$2^{5/2 - 4x^2} \ge 2^{9x}$

Так как основание степени $2 > 1$, переходим к неравенству для показателей степеней, сохраняя знак неравенства:

$\frac{5}{2} - 4x^2 \ge 9x$

Перенесем все члены в одну сторону, чтобы получить квадратное неравенство:

$4x^2 + 9x - \frac{5}{2} \le 0$

Умножим обе части на 2, чтобы избавиться от дроби:

$8x^2 + 18x - 5 \le 0$

Найдем корни соответствующего квадратного уравнения $8x^2 + 18x - 5 = 0$.

Дискриминант $D = b^2 - 4ac = 18^2 - 4 \cdot 8 \cdot (-5) = 324 + 160 = 484 = 22^2$.

Корни уравнения:

$x_1 = \frac{-18 - 22}{2 \cdot 8} = \frac{-40}{16} = -\frac{5}{2}$

$x_2 = \frac{-18 + 22}{2 \cdot 8} = \frac{4}{16} = \frac{1}{4}$

Парабола $y = 8x^2 + 18x - 5$ имеет ветви, направленные вверх, поэтому неравенство $8x^2 + 18x - 5 \le 0$ выполняется между корнями, включая сами корни.

$-\frac{5}{2} \le x \le \frac{1}{4}$

Ответ: $x \in [-\frac{5}{2}; \frac{1}{4}]$

Помогло решение? Оставьте отзыв в комментариях ниже.

Присоединяйтесь к Телеграм-группе @gdz_by_belarus

Присоединиться

Мы подготовили для вас ответ c подробным объяснением домашего задания по алгебре за 11 класс, для упражнения номер 2.199 расположенного на странице 93 к учебнику 2020 года издания для учащихся школ и гимназий.

Теперь на нашем сайте ГДЗ.ТОП вы всегда легко и бесплатно найдёте условие с правильным ответом на вопрос «Как решить ДЗ» и «Как сделать» задание по алгебре к упражнению №2.199 (с. 93), авторов: Арефьева (Ирина Глебовна), Пирютко (Ольга Николаевна), учебного пособия издательства Народная асвета.