Номер 2.192, страница 93 - гдз по алгебре 11 класс учебник Арефьева, Пирютко

Алгебра, 11 класс Учебник, авторы: Арефьева Ирина Глебовна, Пирютко Ольга Николаевна, издательство Народная асвета, Минск, 2020, бирюзового цвета

Авторы: Арефьева И. Г., Пирютко О. Н.

Тип: Учебник

Издательство: Народная асвета

Год издания: 2020 - 2025

Цвет обложки: бирюзовый, зелёный с графиком

ISBN: 978-985-03-3165-6

Популярные ГДЗ в 11 классе

Глава 2. Показательная функция. Параграф 6. Показательные неравенства - номер 2.192, страница 93.

№2.192 (с. 93)
Условие. №2.192 (с. 93)
скриншот условия
Алгебра, 11 класс Учебник, авторы: Арефьева Ирина Глебовна, Пирютко Ольга Николаевна, издательство Народная асвета, Минск, 2020, бирюзового цвета, страница 93, номер 2.192, Условие

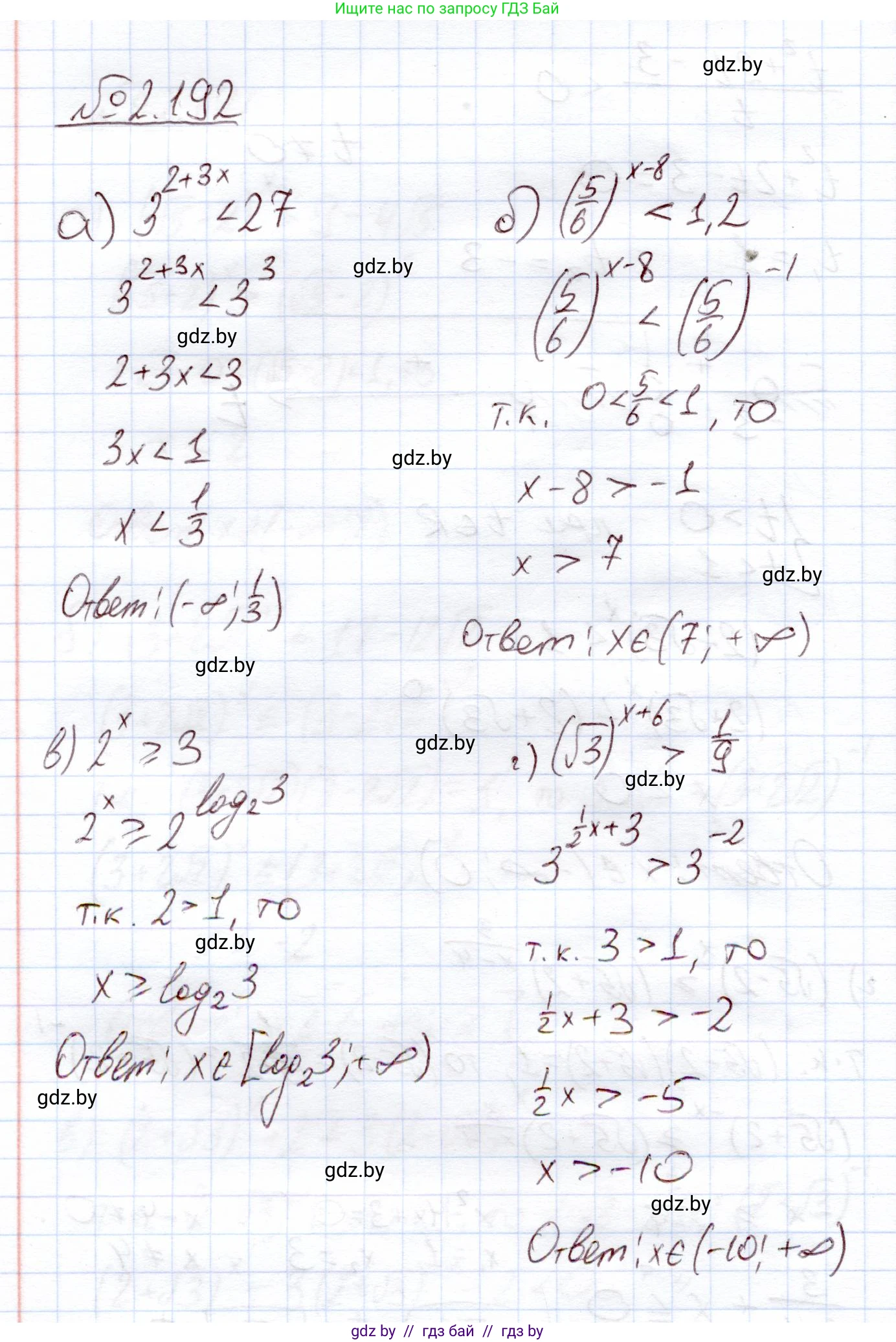
2.192. Решите неравенство и обоснуйте решение:

а) $3^{2+3x} < 27;$

б) $(\frac{5}{6})^{x-8} < 1,2;$

в) $2^x \ge 3;$

г) $(\sqrt{3})^{x+6} > \frac{1}{9};$

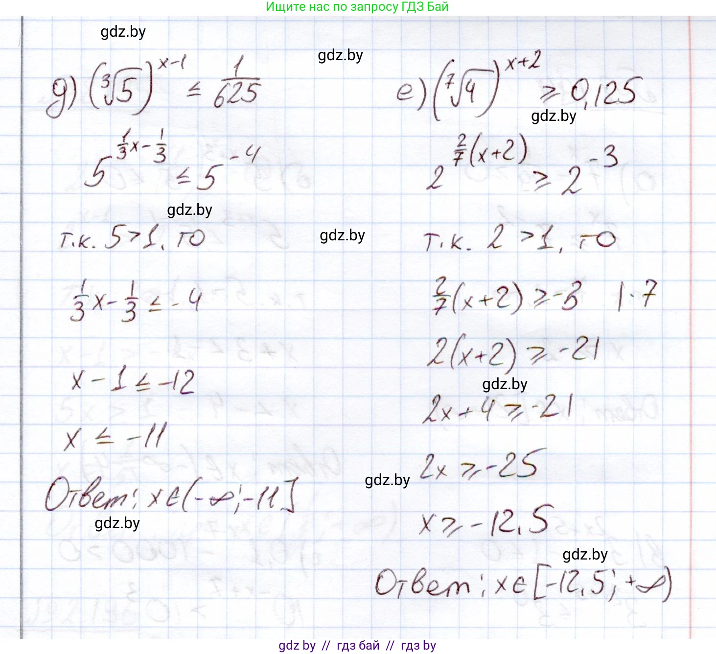
д) $(\sqrt[3]{5})^{x-1} \le \frac{1}{625};$

е) $(\sqrt[7]{4})^{x+2} \ge 0,125.$

Решение. №2.192 (с. 93)
Алгебра, 11 класс Учебник, авторы: Арефьева Ирина Глебовна, Пирютко Ольга Николаевна, издательство Народная асвета, Минск, 2020, бирюзового цвета, страница 93, номер 2.192, Решение Алгебра, 11 класс Учебник, авторы: Арефьева Ирина Глебовна, Пирютко Ольга Николаевна, издательство Народная асвета, Минск, 2020, бирюзового цвета, страница 93, номер 2.192, Решение (продолжение 2)
Решение 2. №2.192 (с. 93)

а) $3^{2+3x} < 27$

Для решения показательного неравенства приведем обе его части к одному основанию. В данном случае это основание 3.

Представим правую часть неравенства в виде степени с основанием 3: $27 = 3^3$.

Неравенство принимает вид: $3^{2+3x} < 3^3$.

Так как основание степени $a=3$ больше 1, показательная функция $y=3^t$ является возрастающей. Это означает, что большему значению функции соответствует большее значение аргумента. Следовательно, при переходе от неравенства для степеней к неравенству для их показателей знак неравенства сохраняется:

$2+3x < 3$

Решим полученное линейное неравенство:

$3x < 3 - 2$

$3x < 1$

$x < \frac{1}{3}$

Ответ: $x \in (-\infty; \frac{1}{3})$.

б) $(\frac{5}{6})^{x-8} < 1,2$

Приведем обе части неравенства к одному основанию $\frac{5}{6}$.

Представим правую часть: $1,2 = \frac{12}{10} = \frac{6}{5}$. Так как $\frac{6}{5}$ является обратной дробью к $\frac{5}{6}$, то $\frac{6}{5} = (\frac{5}{6})^{-1}$.

Неравенство принимает вид: $(\frac{5}{6})^{x-8} < (\frac{5}{6})^{-1}$.

Так как основание степени $a=\frac{5}{6}$ удовлетворяет условию $0 < a < 1$, показательная функция $y=(\frac{5}{6})^t$ является убывающей. Это означает, что большему значению функции соответствует меньшее значение аргумента. Следовательно, при переходе к неравенству для показателей знак неравенства меняется на противоположный:

$x-8 > -1$

Решим полученное линейное неравенство:

$x > -1+8$

$x > 7$

Ответ: $x \in (7; +\infty)$.

в) $2^x \ge 3$

В данном неравенстве правую часть (число 3) невозможно представить в виде степени с основанием 2 и рациональным показателем. Для решения воспользуемся логарифмированием.

Прологарифмируем обе части неравенства по основанию 2. Так как основание логарифма $a=2$ больше 1, функция $y=\log_2(t)$ является возрастающей, и знак неравенства при логарифмировании сохраняется.

$\log_2(2^x) \ge \log_2(3)$

Используя свойство логарифма $\log_a(a^b) = b$, получаем:

$x \ge \log_2(3)$

Обоснование: Показательная функция $y=2^x$ является строго возрастающей на всей числовой оси. Поэтому неравенство $2^x \ge 3$ выполняется для всех значений $x$, которые не меньше, чем корень уравнения $2^x=3$. Корень этого уравнения по определению логарифма равен $\log_2(3)$.

Ответ: $x \in [\log_2(3); +\infty)$.

г) $(\sqrt{3})^{x+6} > \frac{1}{9}$

Приведем обе части неравенства к основанию 3.

Преобразуем левую часть: $(\sqrt{3})^{x+6} = (3^{1/2})^{x+6} = 3^{\frac{1}{2}(x+6)}$.

Преобразуем правую часть: $\frac{1}{9} = \frac{1}{3^2} = 3^{-2}$.

Неравенство принимает вид: $3^{\frac{x+6}{2}} > 3^{-2}$.

Так как основание степени $a=3 > 1$, показательная функция является возрастающей. Знак неравенства для показателей сохраняется:

$\frac{x+6}{2} > -2$

Умножим обе части на 2:

$x+6 > -4$

$x > -4 - 6$

$x > -10$

Ответ: $x \in (-10; +\infty)$.

д) $(\sqrt[3]{5})^{x-1} \le \frac{1}{625}$

Приведем обе части неравенства к основанию 5.

Преобразуем левую часть: $(\sqrt[3]{5})^{x-1} = (5^{1/3})^{x-1} = 5^{\frac{1}{3}(x-1)}$.

Преобразуем правую часть: $\frac{1}{625} = \frac{1}{5^4} = 5^{-4}$.

Неравенство принимает вид: $5^{\frac{x-1}{3}} \le 5^{-4}$.

Так как основание степени $a=5 > 1$, показательная функция является возрастающей. Знак неравенства для показателей сохраняется:

$\frac{x-1}{3} \le -4$

Умножим обе части на 3:

$x-1 \le -12$

$x \le -12 + 1$

$x \le -11$

Ответ: $x \in (-\infty; -11]$.

е) $(\sqrt[7]{4})^{x+2} \ge 0,125$

Приведем обе части неравенства к основанию 2.

Преобразуем левую часть: $(\sqrt[7]{4})^{x+2} = (\sqrt[7]{2^2})^{x+2} = ((2^2)^{1/7})^{x+2} = (2^{2/7})^{x+2} = 2^{\frac{2(x+2)}{7}}$.

Преобразуем правую часть: $0,125 = \frac{125}{1000} = \frac{1}{8} = \frac{1}{2^3} = 2^{-3}$.

Неравенство принимает вид: $2^{\frac{2x+4}{7}} \ge 2^{-3}$.

Так как основание степени $a=2 > 1$, показательная функция является возрастающей. Знак неравенства для показателей сохраняется:

$\frac{2x+4}{7} \ge -3$

Умножим обе части на 7:

$2x+4 \ge -21$

$2x \ge -21 - 4$

$2x \ge -25$

$x \ge -\frac{25}{2}$ или $x \ge -12,5$.

Ответ: $x \in [-\frac{25}{2}; +\infty)$.

Помогло решение? Оставьте отзыв в комментариях ниже.

Присоединяйтесь к Телеграм-группе @gdz_by_belarus

Присоединиться

Мы подготовили для вас ответ c подробным объяснением домашего задания по алгебре за 11 класс, для упражнения номер 2.192 расположенного на странице 93 к учебнику 2020 года издания для учащихся школ и гимназий.

Теперь на нашем сайте ГДЗ.ТОП вы всегда легко и бесплатно найдёте условие с правильным ответом на вопрос «Как решить ДЗ» и «Как сделать» задание по алгебре к упражнению №2.192 (с. 93), авторов: Арефьева (Ирина Глебовна), Пирютко (Ольга Николаевна), учебного пособия издательства Народная асвета.