Номер 2.200, страница 94 - гдз по алгебре 11 класс учебник Арефьева, Пирютко

Алгебра, 11 класс Учебник, авторы: Арефьева Ирина Глебовна, Пирютко Ольга Николаевна, издательство Народная асвета, Минск, 2020, бирюзового цвета

Авторы: Арефьева И. Г., Пирютко О. Н.

Тип: Учебник

Издательство: Народная асвета

Год издания: 2020 - 2025

Цвет обложки: бирюзовый, зелёный с графиком

ISBN: 978-985-03-3165-6

Популярные ГДЗ в 11 классе

Глава 2. Показательная функция. Параграф 6. Показательные неравенства - номер 2.200, страница 94.

№2.200 (с. 94)
Условие. №2.200 (с. 94)
скриншот условия
Алгебра, 11 класс Учебник, авторы: Арефьева Ирина Глебовна, Пирютко Ольга Николаевна, издательство Народная асвета, Минск, 2020, бирюзового цвета, страница 94, номер 2.200, Условие

2.200. Решите неравенство:

а) $ \left(\frac{1}{2}\right)^{\frac{x-1}{x+1}} \geq 4; $

б) $ 2^{\frac{1}{x}} \leq 8; $

в) $ \left(\frac{7}{12}\right)^{\frac{4x-12}{x-2}} \geq 1\frac{5}{7}; $

г) $ 2^{1-x} \leq (0,5)^{\frac{3}{3x+1}}. $

Решение. №2.200 (с. 94)
Алгебра, 11 класс Учебник, авторы: Арефьева Ирина Глебовна, Пирютко Ольга Николаевна, издательство Народная асвета, Минск, 2020, бирюзового цвета, страница 94, номер 2.200, Решение Алгебра, 11 класс Учебник, авторы: Арефьева Ирина Глебовна, Пирютко Ольга Николаевна, издательство Народная асвета, Минск, 2020, бирюзового цвета, страница 94, номер 2.200, Решение (продолжение 2)
Решение 2. №2.200 (с. 94)

а) $(\frac{1}{2})^{\frac{x-1}{x+1}} \ge 4$

Приведем обе части неравенства к одному основанию $2$.
$(\frac{1}{2})^{\frac{x-1}{x+1}} = (2^{-1})^{\frac{x-1}{x+1}} = 2^{-\frac{x-1}{x+1}}$
$4 = 2^2$
Получаем неравенство:
$2^{-\frac{x-1}{x+1}} \ge 2^2$
Так как основание степени $2 > 1$, то показательная функция возрастающая. При переходе к неравенству для показателей знак неравенства сохраняется.
$-\frac{x-1}{x+1} \ge 2$
$\frac{1-x}{x+1} \ge 2$
Перенесем 2 в левую часть и приведем к общему знаменателю:
$\frac{1-x}{x+1} - 2 \ge 0$
$\frac{1-x - 2(x+1)}{x+1} \ge 0$
$\frac{1-x - 2x - 2}{x+1} \ge 0$
$\frac{-3x - 1}{x+1} \ge 0$
Умножим обе части на -1, изменив знак неравенства:
$\frac{3x+1}{x+1} \le 0$
Решим это неравенство методом интервалов.
Найдем нули числителя и знаменателя:
$3x+1=0 \Rightarrow x = -1/3$ (точка будет закрашенной)
$x+1=0 \Rightarrow x = -1$ (точка будет выколотой, так как знаменатель не может быть равен нулю)
Нанесем точки на числовую ось и определим знаки выражения на интервалах:
При $x > -1/3$, выражение $\frac{3x+1}{x+1}$ положительно.
При $-1 < x < -1/3$, выражение $\frac{3x+1}{x+1}$ отрицательно.
При $x < -1$, выражение $\frac{3x+1}{x+1}$ положительно.
Нас интересует, где выражение $\le 0$. Это промежуток $(-1, -1/3]$.
Ответ: $x \in (-1, -1/3]$.

б) $2^{\frac{1}{x}} \le 8$

Приведем обе части неравенства к основанию 2.
$8 = 2^3$
Получаем неравенство:
$2^{\frac{1}{x}} \le 2^3$
Так как основание $2 > 1$, функция возрастающая, знак неравенства сохраняется.
$\frac{1}{x} \le 3$
Перенесем 3 в левую часть:
$\frac{1}{x} - 3 \le 0$
$\frac{1 - 3x}{x} \le 0$
Решим методом интервалов. Нули числителя и знаменателя:
$1 - 3x = 0 \Rightarrow x = 1/3$ (точка закрашенная)
$x = 0$ (точка выколотая)
Нанесем точки на числовую ось и определим знаки:
При $x > 1/3$, выражение $\frac{1-3x}{x}$ отрицательно.
При $0 < x < 1/3$, выражение $\frac{1-3x}{x}$ положительно.
При $x < 0$, выражение $\frac{1-3x}{x}$ отрицательно.
Нас интересует, где выражение $\le 0$. Это объединение промежутков $(-\infty, 0) \cup [1/3, +\infty)$.
Ответ: $x \in (-\infty, 0) \cup [1/3, +\infty)$.

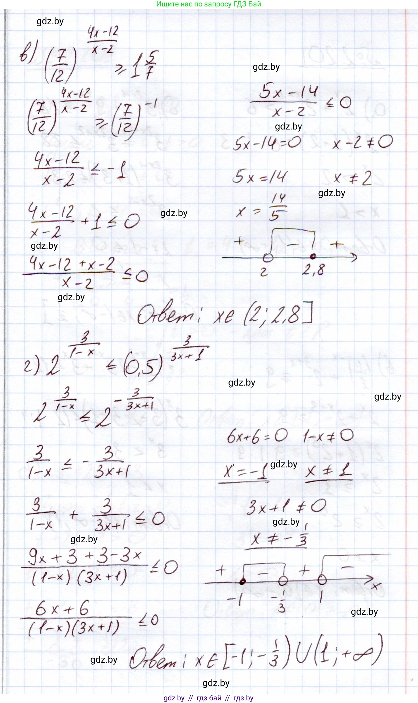
в) $(\frac{7}{12})^{\frac{4x-12}{x-2}} \ge 1\frac{5}{7}$

Преобразуем правую часть неравенства:
$1\frac{5}{7} = \frac{1 \cdot 7 + 5}{7} = \frac{12}{7}$
Приведем обе части к одному основанию $\frac{7}{12}$.
$\frac{12}{7} = (\frac{7}{12})^{-1}$
Получаем неравенство:
$(\frac{7}{12})^{\frac{4x-12}{x-2}} \ge (\frac{7}{12})^{-1}$
Так как основание $0 < \frac{7}{12} < 1$, показательная функция убывающая. При переходе к неравенству для показателей знак неравенства меняется на противоположный.
$\frac{4x-12}{x-2} \le -1$
Перенесем -1 в левую часть:
$\frac{4x-12}{x-2} + 1 \le 0$
$\frac{4x-12 + (x-2)}{x-2} \le 0$
$\frac{5x-14}{x-2} \le 0$
Решим методом интервалов. Нули числителя и знаменателя:
$5x-14 = 0 \Rightarrow x = 14/5 = 2.8$ (точка закрашенная)
$x-2 = 0 \Rightarrow x = 2$ (точка выколотая)
Нанесем точки на числовую ось и определим знаки:
При $x > 2.8$, выражение $\frac{5x-14}{x-2}$ положительно.
При $2 < x < 2.8$, выражение $\frac{5x-14}{x-2}$ отрицательно.
При $x < 2$, выражение $\frac{5x-14}{x-2}$ положительно.
Нас интересует, где выражение $\le 0$. Это промежуток $(2, 2.8]$.
Ответ: $x \in (2, 14/5]$.

г) $2^{\frac{3}{1-x}} \le (0,5)^{\frac{3}{3x+1}}$

Приведем обе части неравенства к основанию 2.
$0.5 = \frac{1}{2} = 2^{-1}$
$(0.5)^{\frac{3}{3x+1}} = (2^{-1})^{\frac{3}{3x+1}} = 2^{-\frac{3}{3x+1}}$
Получаем неравенство:
$2^{\frac{3}{1-x}} \le 2^{-\frac{3}{3x+1}}$
Так как основание $2 > 1$, функция возрастающая, знак неравенства сохраняется.
$\frac{3}{1-x} \le -\frac{3}{3x+1}$
Перенесем правую часть налево и разделим обе части на 3 (положительное число):
$\frac{1}{1-x} + \frac{1}{3x+1} \le 0$
Приведем к общему знаменателю:
$\frac{3x+1 + 1-x}{(1-x)(3x+1)} \le 0$
$\frac{2x+2}{(1-x)(3x+1)} \le 0$
$\frac{2(x+1)}{-(x-1)(3x+1)} \le 0$
Разделим на -2, изменив знак неравенства:
$\frac{x+1}{(x-1)(3x+1)} \ge 0$
Решим методом интервалов. Нули числителя и знаменателей:
$x+1=0 \Rightarrow x = -1$ (точка закрашенная)
$x-1=0 \Rightarrow x = 1$ (точка выколотая)
$3x+1=0 \Rightarrow x = -1/3$ (точка выколотая)
Нанесем точки на числовую ось и определим знаки:
При $x > 1$, выражение $\frac{x+1}{(x-1)(3x+1)}$ положительно.
При $-1/3 < x < 1$, выражение отрицательно.
При $-1 < x < -1/3$, выражение положительно.
При $x < -1$, выражение отрицательно.
Нас интересует, где выражение $\ge 0$. Это объединение промежутков $[-1, -1/3) \cup (1, +\infty)$.
Ответ: $x \in [-1, -1/3) \cup (1, +\infty)$.

Помогло решение? Оставьте отзыв в комментариях ниже.

Присоединяйтесь к Телеграм-группе @gdz_by_belarus

Присоединиться

Мы подготовили для вас ответ c подробным объяснением домашего задания по алгебре за 11 класс, для упражнения номер 2.200 расположенного на странице 94 к учебнику 2020 года издания для учащихся школ и гимназий.

Теперь на нашем сайте ГДЗ.ТОП вы всегда легко и бесплатно найдёте условие с правильным ответом на вопрос «Как решить ДЗ» и «Как сделать» задание по алгебре к упражнению №2.200 (с. 94), авторов: Арефьева (Ирина Глебовна), Пирютко (Ольга Николаевна), учебного пособия издательства Народная асвета.