Номер 221, страница 192 - гдз по алгебре 11 класс учебник Арефьева, Пирютко

Алгебра, 11 класс Учебник, авторы: Арефьева Ирина Глебовна, Пирютко Ольга Николаевна, издательство Народная асвета, Минск, 2020, бирюзового цвета

Авторы: Арефьева И. Г., Пирютко О. Н.

Тип: Учебник

Издательство: Народная асвета

Год издания: 2020 - 2025

Цвет обложки: бирюзовый, зелёный с графиком

ISBN: 978-985-03-3165-6

Популярные ГДЗ в 11 классе

Упражнения для итогового повторения. Выражения и их преобразования - номер 221, страница 192.

№221 (с. 192)
Условие. №221 (с. 192)
скриншот условия
Алгебра, 11 класс Учебник, авторы: Арефьева Ирина Глебовна, Пирютко Ольга Николаевна, издательство Народная асвета, Минск, 2020, бирюзового цвета, страница 192, номер 221, Условие

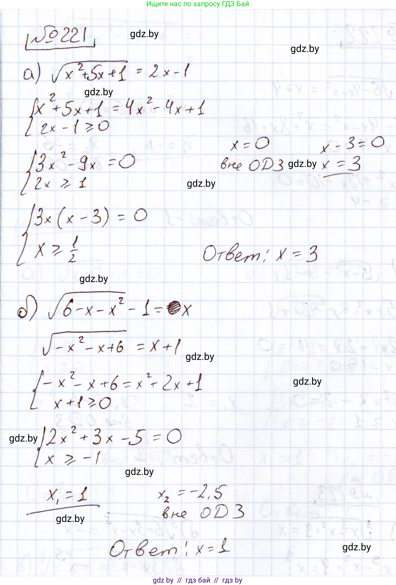
221. Решите иррациональное уравнение:

a) $\sqrt{x^2 + 5x + 1} = 2x - 1;$

б) $\sqrt{6 - x - x^2} - 1 = x.$

Решение. №221 (с. 192)
Алгебра, 11 класс Учебник, авторы: Арефьева Ирина Глебовна, Пирютко Ольга Николаевна, издательство Народная асвета, Минск, 2020, бирюзового цвета, страница 192, номер 221, Решение
Решение 2. №221 (с. 192)

а) $\sqrt{x^2 + 5x + 1} = 2x - 1$

Решение иррационального уравнения вида $\sqrt{f(x)} = g(x)$ равносильно решению системы:

$\begin{cases} f(x) = (g(x))^2 \\ g(x) \ge 0 \end{cases}$

В нашем случае система будет выглядеть так:

$\begin{cases} x^2 + 5x + 1 = (2x - 1)^2 \\ 2x - 1 \ge 0 \end{cases}$

Условие неотрицательности подкоренного выражения ($x^2 + 5x + 1 \ge 0$) выполняется автоматически, так как $x^2 + 5x + 1$ приравнивается к $(2x-1)^2$, а квадрат любого числа всегда неотрицателен.

1. Решим неравенство:

$2x - 1 \ge 0$

$2x \ge 1$

$x \ge \frac{1}{2}$

Это условие, которому должны удовлетворять корни уравнения.

2. Решим уравнение:

$x^2 + 5x + 1 = (2x - 1)^2$

Раскроем скобки в правой части по формуле квадрата разности:

$x^2 + 5x + 1 = 4x^2 - 4x + 1$

Перенесем все слагаемые в одну сторону:

$4x^2 - x^2 - 4x - 5x + 1 - 1 = 0$

$3x^2 - 9x = 0$

Вынесем общий множитель $3x$ за скобки:

$3x(x - 3) = 0$

Произведение равно нулю, когда один из множителей равен нулю. Получаем два возможных корня:

$3x = 0 \implies x_1 = 0$

$x - 3 = 0 \implies x_2 = 3$

3. Проверим найденные корни на соответствие условию $x \ge \frac{1}{2}$:

Корень $x_1 = 0$ не удовлетворяет условию $0 \ge \frac{1}{2}$, следовательно, это посторонний корень.

Корень $x_2 = 3$ удовлетворяет условию $3 \ge \frac{1}{2}$, следовательно, это решение уравнения.

Ответ: $3$

б) $\sqrt{6 - x - x^2} - 1 = x$

Для начала уединим радикал в левой части уравнения:

$\sqrt{6 - x - x^2} = x + 1$

Данное уравнение также равносильно системе:

$\begin{cases} 6 - x - x^2 = (x + 1)^2 \\ x + 1 \ge 0 \end{cases}$

1. Решим неравенство из системы:

$x + 1 \ge 0$

$x \ge -1$

Это область допустимых значений для корней уравнения.

2. Решим уравнение, возведя обе части в квадрат:

$6 - x - x^2 = (x + 1)^2$

Раскроем скобки в правой части по формуле квадрата суммы:

$6 - x - x^2 = x^2 + 2x + 1$

Перенесем все слагаемые в правую часть, чтобы получить стандартное квадратное уравнение:

$x^2 + x^2 + 2x + x + 1 - 6 = 0$

$2x^2 + 3x - 5 = 0$

Решим полученное квадратное уравнение через дискриминант:

$D = b^2 - 4ac = 3^2 - 4 \cdot 2 \cdot (-5) = 9 + 40 = 49 = 7^2$

Найдем корни:

$x_{1} = \frac{-b - \sqrt{D}}{2a} = \frac{-3 - 7}{2 \cdot 2} = \frac{-10}{4} = -2.5$

$x_{2} = \frac{-b + \sqrt{D}}{2a} = \frac{-3 + 7}{2 \cdot 2} = \frac{4}{4} = 1$

3. Проверим, удовлетворяют ли найденные корни условию $x \ge -1$:

Корень $x_1 = -2.5$ не удовлетворяет условию $-2.5 \ge -1$, значит, это посторонний корень.

Корень $x_2 = 1$ удовлетворяет условию $1 \ge -1$, значит, это и есть решение исходного уравнения.

Ответ: $1$

Помогло решение? Оставьте отзыв в комментариях ниже.

Присоединяйтесь к Телеграм-группе @gdz_by_belarus

Присоединиться

Мы подготовили для вас ответ c подробным объяснением домашего задания по алгебре за 11 класс, для упражнения номер 221 расположенного на странице 192 к учебнику 2020 года издания для учащихся школ и гимназий.

Теперь на нашем сайте ГДЗ.ТОП вы всегда легко и бесплатно найдёте условие с правильным ответом на вопрос «Как решить ДЗ» и «Как сделать» задание по алгебре к упражнению №221 (с. 192), авторов: Арефьева (Ирина Глебовна), Пирютко (Ольга Николаевна), учебного пособия издательства Народная асвета.