Номер 216, страница 192 - гдз по алгебре 11 класс учебник Арефьева, Пирютко

Алгебра, 11 класс Учебник, авторы: Арефьева Ирина Глебовна, Пирютко Ольга Николаевна, издательство Народная асвета, Минск, 2020, бирюзового цвета

Авторы: Арефьева И. Г., Пирютко О. Н.

Тип: Учебник

Издательство: Народная асвета

Год издания: 2020 - 2025

Цвет обложки: бирюзовый, зелёный с графиком

ISBN: 978-985-03-3165-6

Популярные ГДЗ в 11 классе

Упражнения для итогового повторения. Выражения и их преобразования - номер 216, страница 192.

№216 (с. 192)
Условие. №216 (с. 192)
скриншот условия
Алгебра, 11 класс Учебник, авторы: Арефьева Ирина Глебовна, Пирютко Ольга Николаевна, издательство Народная асвета, Минск, 2020, бирюзового цвета, страница 192, номер 216, Условие

216. Найдите наименьший положительный и наибольший отрицательный корни уравнения:

a) $ \sin x + \sin 2x + \sin 3x = 0; $

б) $ \cos x - \cos 5x = \sin 3x. $

Решение. №216 (с. 192)
Алгебра, 11 класс Учебник, авторы: Арефьева Ирина Глебовна, Пирютко Ольга Николаевна, издательство Народная асвета, Минск, 2020, бирюзового цвета, страница 192, номер 216, Решение
Решение 2. №216 (с. 192)

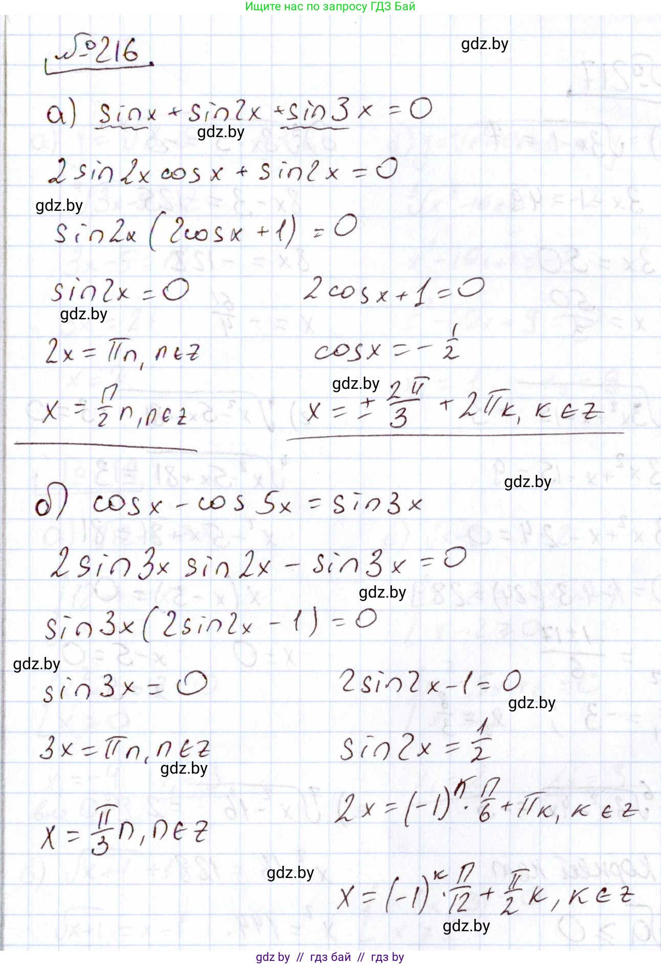
а) $sin x + sin 2x + sin 3x = 0$

Для решения этого уравнения сгруппируем первое и третье слагаемые и применим формулу суммы синусов: $sin \alpha + sin \beta = 2 sin \frac{\alpha+\beta}{2} cos \frac{\alpha-\beta}{2}$.

$(sin x + sin 3x) + sin 2x = 0$

$2 sin \frac{x+3x}{2} cos \frac{x-3x}{2} + sin 2x = 0$

$2 sin(2x) cos(-x) + sin 2x = 0$

Используя свойство четности косинуса $cos(-x) = cos x$, получаем:

$2 sin(2x) cos x + sin 2x = 0$

Вынесем общий множитель $sin(2x)$ за скобки:

$sin(2x) (2 cos x + 1) = 0$

Произведение равно нулю, когда хотя бы один из множителей равен нулю. Таким образом, получаем два независимых уравнения:

1. $sin(2x) = 0$

Решением этого уравнения является серия корней:

$2x = \pi k$, где $k \in Z$ (Z - множество целых чисел).

$x = \frac{\pi k}{2}, k \in Z$.

Чтобы найти наименьший положительный корень, возьмем наименьшее натуральное значение $k=1$: $x_1 = \frac{\pi \cdot 1}{2} = \frac{\pi}{2}$.

Чтобы найти наибольший отрицательный корень, возьмем наибольшее отрицательное целое значение $k=-1$: $x_2 = \frac{\pi \cdot (-1)}{2} = -\frac{\pi}{2}$.

2. $2 cos x + 1 = 0$

$cos x = -\frac{1}{2}$

Решением этого уравнения является серия корней:

$x = \pm arccos(-\frac{1}{2}) + 2\pi n, n \in Z$.

$x = \pm \frac{2\pi}{3} + 2\pi n, n \in Z$.

Чтобы найти наименьший положительный корень из этой серии, рассмотрим значения при $n=0$: $x_3 = \frac{2\pi}{3}$ и $x_4 = -\frac{2\pi}{3}$. Положительный корень — $\frac{2\pi}{3}$.

Чтобы найти наибольший отрицательный корень, рассмотрим значение при $n=0$: $x_4 = -\frac{2\pi}{3}$.

Теперь сравним корни, полученные из обоих уравнений, чтобы найти искомые значения.

Наименьший положительный корень: Сравниваем $\frac{\pi}{2}$ и $\frac{2\pi}{3}$. Так как $\frac{\pi}{2} = \frac{3\pi}{6}$ и $\frac{2\pi}{3} = \frac{4\pi}{6}$, то $\frac{\pi}{2} < \frac{2\pi}{3}$. Следовательно, наименьший положительный корень равен $\frac{\pi}{2}$.

Наибольший отрицательный корень: Сравниваем $-\frac{\pi}{2}$ и $-\frac{2\pi}{3}$. Так как $-\frac{\pi}{2} = -\frac{3\pi}{6}$ и $-\frac{2\pi}{3} = -\frac{4\pi}{6}$, то $-\frac{\pi}{2} > -\frac{2\pi}{3}$. Следовательно, наибольший отрицательный корень равен $-\frac{\pi}{2}$.

Ответ: наименьший положительный корень $\frac{\pi}{2}$, наибольший отрицательный корень $-\frac{\pi}{2}$.

б) $cos x - cos 5x = sin 3x$

Для решения применим к левой части уравнения формулу разности косинусов: $cos \alpha - cos \beta = -2 sin \frac{\alpha+\beta}{2} sin \frac{\alpha-\beta}{2}$.

$-2 sin \frac{x+5x}{2} sin \frac{x-5x}{2} = sin 3x$

$-2 sin(3x) sin(-2x) = sin 3x$

Используя свойство нечетности синуса $sin(-2x) = -sin(2x)$, получаем:

$2 sin(3x) sin(2x) = sin 3x$

Перенесем все слагаемые в левую часть и вынесем общий множитель $sin(3x)$ за скобки:

$2 sin(3x) sin(2x) - sin 3x = 0$

$sin(3x) (2 sin(2x) - 1) = 0$

Получаем два независимых уравнения:

1. $sin(3x) = 0$

$3x = \pi k, k \in Z$

$x = \frac{\pi k}{3}, k \in Z$.

Наименьший положительный корень (при $k=1$): $x_1 = \frac{\pi}{3}$.

Наибольший отрицательный корень (при $k=-1$): $x_2 = -\frac{\pi}{3}$.

2. $2 sin(2x) - 1 = 0$

$sin(2x) = \frac{1}{2}$

Решения этого уравнения задаются формулой:

$2x = (-1)^n arcsin(\frac{1}{2}) + \pi n, n \in Z$.

$2x = (-1)^n \frac{\pi}{6} + \pi n, n \in Z$.

$x = (-1)^n \frac{\pi}{12} + \frac{\pi n}{2}, n \in Z$.

Найдем наименьший положительный корень из этой серии. Рассмотрим различные значения $n$:

При $n=0$: $x = (-1)^0 \frac{\pi}{12} + 0 = \frac{\pi}{12}$.

При $n=1$: $x = (-1)^1 \frac{\pi}{12} + \frac{\pi}{2} = -\frac{\pi}{12} + \frac{6\pi}{12} = \frac{5\pi}{12}$.

Наименьший из этих положительных корней — $\frac{\pi}{12}$.

Найдем наибольший отрицательный корень из этой серии:

При $n=-1$: $x = (-1)^{-1} \frac{\pi}{12} - \frac{\pi}{2} = -\frac{\pi}{12} - \frac{6\pi}{12} = -\frac{7\pi}{12}$.

При $n=-2$: $x = (-1)^{-2} \frac{\pi}{12} - \frac{2\pi}{2} = \frac{\pi}{12} - \pi = -\frac{11\pi}{12}$.

Наибольший из этих отрицательных корней — $-\frac{7\pi}{12}$.

Теперь сравним корни из обоих случаев.

Наименьший положительный корень: Сравниваем $\frac{\pi}{3}$ и $\frac{\pi}{12}$. Так как $\frac{\pi}{3} = \frac{4\pi}{12}$, то $\frac{\pi}{12} < \frac{\pi}{3}$. Наименьший положительный корень равен $\frac{\pi}{12}$.

Наибольший отрицательный корень: Сравниваем $-\frac{\pi}{3}$ и $-\frac{7\pi}{12}$. Так как $-\frac{\pi}{3} = -\frac{4\pi}{12}$, то $-\frac{4\pi}{12} > -\frac{7\pi}{12}$. Наибольший отрицательный корень равен $-\frac{\pi}{3}$.

Ответ: наименьший положительный корень $\frac{\pi}{12}$, наибольший отрицательный корень $-\frac{\pi}{3}$.

Помогло решение? Оставьте отзыв в комментариях ниже.

Присоединяйтесь к Телеграм-группе @gdz_by_belarus

Присоединиться

Мы подготовили для вас ответ c подробным объяснением домашего задания по алгебре за 11 класс, для упражнения номер 216 расположенного на странице 192 к учебнику 2020 года издания для учащихся школ и гимназий.

Теперь на нашем сайте ГДЗ.ТОП вы всегда легко и бесплатно найдёте условие с правильным ответом на вопрос «Как решить ДЗ» и «Как сделать» задание по алгебре к упражнению №216 (с. 192), авторов: Арефьева (Ирина Глебовна), Пирютко (Ольга Николаевна), учебного пособия издательства Народная асвета.