Номер 211, страница 191 - гдз по алгебре 11 класс учебник Арефьева, Пирютко

Алгебра, 11 класс Учебник, авторы: Арефьева Ирина Глебовна, Пирютко Ольга Николаевна, издательство Народная асвета, Минск, 2020, бирюзового цвета

Авторы: Арефьева И. Г., Пирютко О. Н.

Тип: Учебник

Издательство: Народная асвета

Год издания: 2020 - 2025

Цвет обложки: бирюзовый, зелёный с графиком

ISBN: 978-985-03-3165-6

Популярные ГДЗ в 11 классе

Упражнения для итогового повторения. Выражения и их преобразования - номер 211, страница 191.

№211 (с. 191)
Условие. №211 (с. 191)
скриншот условия
Алгебра, 11 класс Учебник, авторы: Арефьева Ирина Глебовна, Пирютко Ольга Николаевна, издательство Народная асвета, Минск, 2020, бирюзового цвета, страница 191, номер 211, Условие

211. Решите однородное тригонометрическое уравнение:

a)

$\sin x + \sqrt{3} \cos x = 0;$

б)

$\sin x - \cos x = 0;$

в)

$\sin^2 x - \sin x \cos x - 2\cos^2 x = 0;$

г)

$2\sin^2 x - 5\sin x \cos x + 3\cos^2 x = 0.$

Решение. №211 (с. 191)
Алгебра, 11 класс Учебник, авторы: Арефьева Ирина Глебовна, Пирютко Ольга Николаевна, издательство Народная асвета, Минск, 2020, бирюзового цвета, страница 191, номер 211, Решение Алгебра, 11 класс Учебник, авторы: Арефьева Ирина Глебовна, Пирютко Ольга Николаевна, издательство Народная асвета, Минск, 2020, бирюзового цвета, страница 191, номер 211, Решение (продолжение 2)
Решение 2. №211 (с. 191)

а) Дано однородное тригонометрическое уравнение первой степени $ \sin x + \sqrt{3} \cos x = 0 $.

Для его решения разделим обе части уравнения на $ \cos x $. Это действие возможно, так как если $ \cos x = 0 $, то из уравнения следует, что и $ \sin x = 0 $. Однако синус и косинус одного и того же угла не могут одновременно равняться нулю, поскольку это противоречит основному тригонометрическому тождеству $ \sin^2 x + \cos^2 x = 1 $. Следовательно, $ \cos x \neq 0 $.

Выполним деление:

$ \frac{\sin x}{\cos x} + \frac{\sqrt{3} \cos x}{\cos x} = 0 $

Используя определение тангенса $ \tan x = \frac{\sin x}{\cos x} $, получаем:

$ \tan x + \sqrt{3} = 0 $

$ \tan x = -\sqrt{3} $

Находим значение $ x $:

$ x = \arctan(-\sqrt{3}) + \pi n $, где $ n \in \mathbb{Z} $

$ x = -\frac{\pi}{3} + \pi n $, где $ n \in \mathbb{Z} $

Ответ: $ x = -\frac{\pi}{3} + \pi n, n \in \mathbb{Z} $.

б) Дано однородное тригонометрическое уравнение первой степени $ \sin x - \cos x = 0 $.

Как и в предыдущем случае, $ \cos x \neq 0 $, так как в противном случае и $ \sin x $ должен был бы равняться нулю, что невозможно. Разделим обе части уравнения на $ \cos x $:

$ \frac{\sin x}{\cos x} - \frac{\cos x}{\cos x} = 0 $

Получаем уравнение с тангенсом:

$ \tan x - 1 = 0 $

$ \tan x = 1 $

Находим значение $ x $:

$ x = \arctan(1) + \pi n $, где $ n \in \mathbb{Z} $

$ x = \frac{\pi}{4} + \pi n $, где $ n \in \mathbb{Z} $

Ответ: $ x = \frac{\pi}{4} + \pi n, n \in \mathbb{Z} $.

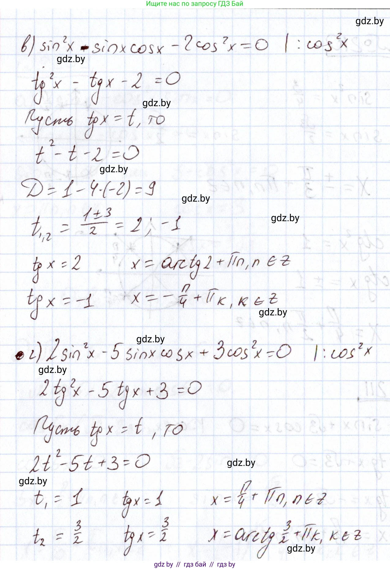
в) Дано однородное тригонометрическое уравнение второй степени $ \sin^2 x - \sin x \cos x - 2\cos^2 x = 0 $.

Проверим случай $ \cos x = 0 $. Если $ \cos x = 0 $, то уравнение принимает вид $ \sin^2 x = 0 $, откуда $ \sin x = 0 $. Это невозможно, поэтому $ \cos x \neq 0 $. Разделим обе части уравнения на $ \cos^2 x $:

$ \frac{\sin^2 x}{\cos^2 x} - \frac{\sin x \cos x}{\cos^2 x} - \frac{2\cos^2 x}{\cos^2 x} = 0 $

Упростим, используя $ \tan x = \frac{\sin x}{\cos x} $:

$ \tan^2 x - \tan x - 2 = 0 $

Это квадратное уравнение относительно $ \tan x $. Сделаем замену $ t = \tan x $:

$ t^2 - t - 2 = 0 $

Решим квадратное уравнение. По теореме Виета, корни уравнения $ t_1 = 2 $ и $ t_2 = -1 $.

Теперь вернемся к замене и решим два простейших тригонометрических уравнения:

1) $ \tan x = 2 $

$ x = \arctan(2) + \pi n $, где $ n \in \mathbb{Z} $

2) $ \tan x = -1 $

$ x = \arctan(-1) + \pi k $, где $ k \in \mathbb{Z} $

$ x = -\frac{\pi}{4} + \pi k $, где $ k \in \mathbb{Z} $

Ответ: $ x = \arctan(2) + \pi n, n \in \mathbb{Z} $; $ x = -\frac{\pi}{4} + \pi k, k \in \mathbb{Z} $.

г) Дано однородное тригонометрическое уравнение второй степени $ 2\sin^2 x - 5\sin x \cos x + 3\cos^2 x = 0 $.

Убедимся, что $ \cos x \neq 0 $. Если $ \cos x = 0 $, то уравнение превращается в $ 2\sin^2 x = 0 $, откуда $ \sin x = 0 $, что невозможно. Следовательно, можно разделить обе части уравнения на $ \cos^2 x $:

$ \frac{2\sin^2 x}{\cos^2 x} - \frac{5\sin x \cos x}{\cos^2 x} + \frac{3\cos^2 x}{\cos^2 x} = 0 $

Получаем уравнение:

$ 2\tan^2 x - 5\tan x + 3 = 0 $

Сделаем замену $ t = \tan x $:

$ 2t^2 - 5t + 3 = 0 $

Решим это квадратное уравнение. Дискриминант $ D = (-5)^2 - 4 \cdot 2 \cdot 3 = 25 - 24 = 1 $.

Корни уравнения:

$ t_1 = \frac{5 - \sqrt{1}}{2 \cdot 2} = \frac{4}{4} = 1 $

$ t_2 = \frac{5 + \sqrt{1}}{2 \cdot 2} = \frac{6}{4} = \frac{3}{2} $

Возвращаемся к переменной $ x $:

1) $ \tan x = 1 $

$ x = \arctan(1) + \pi k $, где $ k \in \mathbb{Z} $

$ x = \frac{\pi}{4} + \pi k $, где $ k \in \mathbb{Z} $

2) $ \tan x = \frac{3}{2} $

$ x = \arctan\left(\frac{3}{2}\right) + \pi n $, где $ n \in \mathbb{Z} $

Ответ: $ x = \frac{\pi}{4} + \pi k, k \in \mathbb{Z} $; $ x = \arctan\left(\frac{3}{2}\right) + \pi n, n \in \mathbb{Z} $.

Помогло решение? Оставьте отзыв в комментариях ниже.

Присоединяйтесь к Телеграм-группе @gdz_by_belarus

Присоединиться

Мы подготовили для вас ответ c подробным объяснением домашего задания по алгебре за 11 класс, для упражнения номер 211 расположенного на странице 191 к учебнику 2020 года издания для учащихся школ и гимназий.

Теперь на нашем сайте ГДЗ.ТОП вы всегда легко и бесплатно найдёте условие с правильным ответом на вопрос «Как решить ДЗ» и «Как сделать» задание по алгебре к упражнению №211 (с. 191), авторов: Арефьева (Ирина Глебовна), Пирютко (Ольга Николаевна), учебного пособия издательства Народная асвета.