Номер 208, страница 191 - гдз по алгебре 11 класс учебник Арефьева, Пирютко

Алгебра, 11 класс Учебник, авторы: Арефьева Ирина Глебовна, Пирютко Ольга Николаевна, издательство Народная асвета, Минск, 2020, бирюзового цвета

Авторы: Арефьева И. Г., Пирютко О. Н.

Тип: Учебник

Издательство: Народная асвета

Год издания: 2020 - 2025

Цвет обложки: бирюзовый, зелёный с графиком

ISBN: 978-985-03-3165-6

Популярные ГДЗ в 11 классе

Упражнения для итогового повторения. Выражения и их преобразования - номер 208, страница 191.

№208 (с. 191)
Условие. №208 (с. 191)
скриншот условия
Алгебра, 11 класс Учебник, авторы: Арефьева Ирина Глебовна, Пирютко Ольга Николаевна, издательство Народная асвета, Минск, 2020, бирюзового цвета, страница 191, номер 208, Условие

208. Примените основное тригонометрическое тождество и решите уравнение:

a) $3\sin^2 x + 7\cos x - 3 = 0$;

б) $2\cos^2 x + 5\sin x = 4$;

в) $8\cos^2 x + 6\sin x - 3 = 0$;

г) $2\sin^2 x + 5\cos x - 4 = 0$.

Решение. №208 (с. 191)
Алгебра, 11 класс Учебник, авторы: Арефьева Ирина Глебовна, Пирютко Ольга Николаевна, издательство Народная асвета, Минск, 2020, бирюзового цвета, страница 191, номер 208, Решение Алгебра, 11 класс Учебник, авторы: Арефьева Ирина Глебовна, Пирютко Ольга Николаевна, издательство Народная асвета, Минск, 2020, бирюзового цвета, страница 191, номер 208, Решение (продолжение 2)
Решение 2. №208 (с. 191)

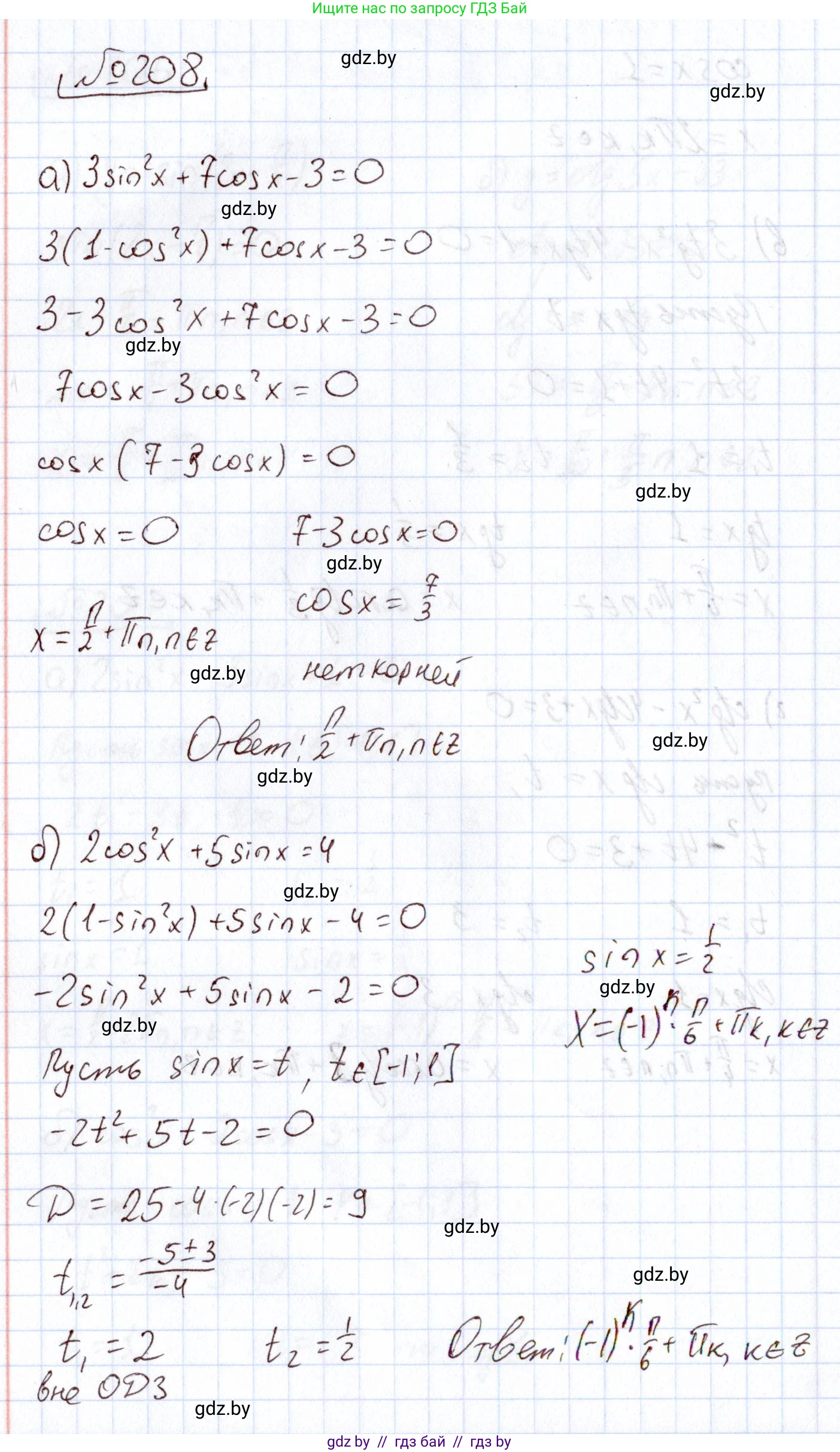
а) $3\sin^2 x + 7\cos x - 3 = 0$

Чтобы решить это уравнение, приведем его к уравнению относительно одной тригонометрической функции. Используем основное тригонометрическое тождество $\sin^2 x + \cos^2 x = 1$, из которого выразим $\sin^2 x = 1 - \cos^2 x$.

Подставим это выражение в исходное уравнение:

$3(1 - \cos^2 x) + 7\cos x - 3 = 0$

Раскроем скобки и приведем подобные слагаемые:

$3 - 3\cos^2 x + 7\cos x - 3 = 0$

$-3\cos^2 x + 7\cos x = 0$

Умножим обе части уравнения на -1, чтобы коэффициент при старшем члене стал положительным:

$3\cos^2 x - 7\cos x = 0$

Это неполное квадратное уравнение относительно $\cos x$. Вынесем общий множитель $\cos x$ за скобки:

$\cos x (3\cos x - 7) = 0$

Произведение равно нулю, когда хотя бы один из множителей равен нулю. Получаем два случая:

1) $\cos x = 0$

Решением этого простейшего тригонометрического уравнения является серия корней: $x = \frac{\pi}{2} + \pi n$, где $n \in \mathbb{Z}$.

2) $3\cos x - 7 = 0$

$3\cos x = 7$

$\cos x = \frac{7}{3}$

Это уравнение не имеет решений, так как область значений функции косинус $[-1, 1]$, а $\frac{7}{3} > 1$.

Следовательно, решением исходного уравнения являются только корни из первого случая.

Ответ: $x = \frac{\pi}{2} + \pi n, n \in \mathbb{Z}$.

б) $2\cos^2 x + 5\sin x = 4$

В данном уравнении присутствуют $\cos^2 x$ и $\sin x$. Используя основное тригонометрическое тождество, заменим $\cos^2 x$ на $1 - \sin^2 x$.

$2(1 - \sin^2 x) + 5\sin x = 4$

Раскроем скобки и перенесем все члены в левую часть:

$2 - 2\sin^2 x + 5\sin x - 4 = 0$

$-2\sin^2 x + 5\sin x - 2 = 0$

Умножим уравнение на -1:

$2\sin^2 x - 5\sin x + 2 = 0$

Сделаем замену переменной. Пусть $t = \sin x$. Учитывая, что $-1 \le \sin x \le 1$, получаем условие $-1 \le t \le 1$. Уравнение принимает вид:

$2t^2 - 5t + 2 = 0$

Решим это квадратное уравнение. Найдем дискриминант:

$D = b^2 - 4ac = (-5)^2 - 4 \cdot 2 \cdot 2 = 25 - 16 = 9$

Найдем корни:

$t_1 = \frac{-b + \sqrt{D}}{2a} = \frac{5 + 3}{4} = \frac{8}{4} = 2$

$t_2 = \frac{-b - \sqrt{D}}{2a} = \frac{5 - 3}{4} = \frac{2}{4} = \frac{1}{2}$

Вернемся к замене. Корень $t_1 = 2$ не удовлетворяет условию $|t| \le 1$, поэтому уравнение $\sin x = 2$ не имеет решений.

Корень $t_2 = \frac{1}{2}$ удовлетворяет условию, поэтому решаем уравнение:

$\sin x = \frac{1}{2}$

Общее решение этого уравнения: $x = (-1)^k \frac{\pi}{6} + \pi k$, где $k \in \mathbb{Z}$.

Ответ: $x = (-1)^k \frac{\pi}{6} + \pi k, k \in \mathbb{Z}$.

в) $8\cos^2 x + 6\sin x - 3 = 0$

Заменим $\cos^2 x$ на $1 - \sin^2 x$ с помощью основного тригонометрического тождества.

$8(1 - \sin^2 x) + 6\sin x - 3 = 0$

Раскроем скобки и упростим:

$8 - 8\sin^2 x + 6\sin x - 3 = 0$

$-8\sin^2 x + 6\sin x + 5 = 0$

Умножим на -1:

$8\sin^2 x - 6\sin x - 5 = 0$

Введем замену $t = \sin x$, где $|t| \le 1$.

$8t^2 - 6t - 5 = 0$

Решим квадратное уравнение. Дискриминант:

$D = (-6)^2 - 4 \cdot 8 \cdot (-5) = 36 + 160 = 196 = 14^2$

Корни уравнения:

$t_1 = \frac{6 + 14}{16} = \frac{20}{16} = \frac{5}{4}$

$t_2 = \frac{6 - 14}{16} = \frac{-8}{16} = -\frac{1}{2}$

Возвращаемся к переменной $x$.

Корень $t_1 = \frac{5}{4}$ не подходит, так как $\frac{5}{4} > 1$, а $\sin x$ не может принимать таких значений.

Для корня $t_2 = -\frac{1}{2}$ получаем уравнение:

$\sin x = -\frac{1}{2}$

Общее решение: $x = (-1)^k \arcsin(-\frac{1}{2}) + \pi k = (-1)^k (-\frac{\pi}{6}) + \pi k = (-1)^{k+1} \frac{\pi}{6} + \pi k$, где $k \in \mathbb{Z}$.

Ответ: $x = (-1)^{k+1} \frac{\pi}{6} + \pi k, k \in \mathbb{Z}$.

г) $2\sin^2 x + 5\cos x - 4 = 0$

Используем тождество $\sin^2 x = 1 - \cos^2 x$ для приведения уравнения к одной функции.

$2(1 - \cos^2 x) + 5\cos x - 4 = 0$

Раскрываем скобки:

$2 - 2\cos^2 x + 5\cos x - 4 = 0$

$-2\cos^2 x + 5\cos x - 2 = 0$

Домножим на -1:

$2\cos^2 x - 5\cos x + 2 = 0$

Сделаем замену $t = \cos x$, где $|t| \le 1$.

$2t^2 - 5t + 2 = 0$

Это то же самое квадратное уравнение, что и в пункте б). Его корни $t_1 = 2$ и $t_2 = \frac{1}{2}$.

Вернемся к замене.

Корень $t_1 = 2$ не подходит, так как $\cos x$ не может быть равен 2.

Для корня $t_2 = \frac{1}{2}$ получаем уравнение:

$\cos x = \frac{1}{2}$

Общее решение этого уравнения: $x = \pm \arccos(\frac{1}{2}) + 2\pi n = \pm \frac{\pi}{3} + 2\pi n$, где $n \in \mathbb{Z}$.

Ответ: $x = \pm \frac{\pi}{3} + 2\pi n, n \in \mathbb{Z}$.

Помогло решение? Оставьте отзыв в комментариях ниже.

Присоединяйтесь к Телеграм-группе @gdz_by_belarus

Присоединиться

Мы подготовили для вас ответ c подробным объяснением домашего задания по алгебре за 11 класс, для упражнения номер 208 расположенного на странице 191 к учебнику 2020 года издания для учащихся школ и гимназий.

Теперь на нашем сайте ГДЗ.ТОП вы всегда легко и бесплатно найдёте условие с правильным ответом на вопрос «Как решить ДЗ» и «Как сделать» задание по алгебре к упражнению №208 (с. 191), авторов: Арефьева (Ирина Глебовна), Пирютко (Ольга Николаевна), учебного пособия издательства Народная асвета.