Номер 203, страница 190 - гдз по алгебре 11 класс учебник Арефьева, Пирютко

Алгебра, 11 класс Учебник, авторы: Арефьева Ирина Глебовна, Пирютко Ольга Николаевна, издательство Народная асвета, Минск, 2020, бирюзового цвета

Авторы: Арефьева И. Г., Пирютко О. Н.

Тип: Учебник

Издательство: Народная асвета

Год издания: 2020 - 2025

Цвет обложки: бирюзовый, зелёный с графиком

ISBN: 978-985-03-3165-6

Популярные ГДЗ в 11 классе

Упражнения для итогового повторения. Выражения и их преобразования - номер 203, страница 190.

№203 (с. 190)
Условие. №203 (с. 190)
скриншот условия
Алгебра, 11 класс Учебник, авторы: Арефьева Ирина Глебовна, Пирютко Ольга Николаевна, издательство Народная асвета, Минск, 2020, бирюзового цвета, страница 190, номер 203, Условие

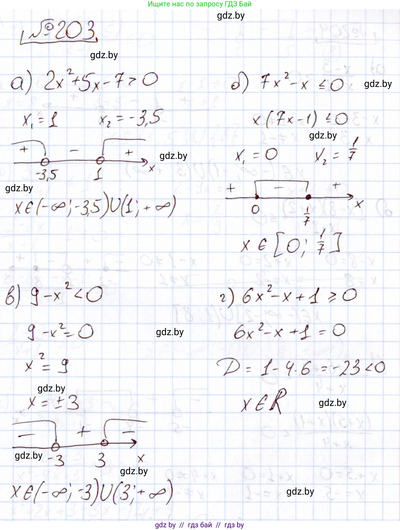
203. Решите квадратное неравенство:

а) $2x^2 + 5x - 7 > 0;$

б) $7x^2 - x \le 0;$

в) $9 - x^2 < 0;$

г) $6x^2 - x + 1 \ge 0.$

Решение. №203 (с. 190)
Алгебра, 11 класс Учебник, авторы: Арефьева Ирина Глебовна, Пирютко Ольга Николаевна, издательство Народная асвета, Минск, 2020, бирюзового цвета, страница 190, номер 203, Решение
Решение 2. №203 (с. 190)

а) Чтобы решить квадратное неравенство $2x^2 + 5x - 7 > 0$, сначала найдем корни соответствующего квадратного уравнения $2x^2 + 5x - 7 = 0$.
Воспользуемся формулой для нахождения корней через дискриминант $D = b^2 - 4ac$.
$D = 5^2 - 4 \cdot 2 \cdot (-7) = 25 + 56 = 81$.
Так как $D > 0$, уравнение имеет два различных действительных корня.
$x_1 = \frac{-b - \sqrt{D}}{2a} = \frac{-5 - \sqrt{81}}{2 \cdot 2} = \frac{-5 - 9}{4} = \frac{-14}{4} = -3.5$.
$x_2 = \frac{-b + \sqrt{D}}{2a} = \frac{-5 + \sqrt{81}}{2 \cdot 2} = \frac{-5 + 9}{4} = \frac{4}{4} = 1$.
Графиком функции $y = 2x^2 + 5x - 7$ является парабола, ветви которой направлены вверх, так как коэффициент при $x^2$ положителен ($a=2 > 0$). Парабола пересекает ось абсцисс в точках $x = -3.5$ и $x = 1$.
Неравенство $2x^2 + 5x - 7 > 0$ выполняется там, где график параболы находится выше оси абсцисс, то есть на интервалах левее меньшего корня и правее большего корня.
Ответ: $x \in (-\infty; -3.5) \cup (1; +\infty)$.

б) Чтобы решить неравенство $7x^2 - x \le 0$, найдем корни уравнения $7x^2 - x = 0$.
Это неполное квадратное уравнение, которое решается вынесением общего множителя за скобки:
$x(7x - 1) = 0$.
Отсюда получаем два корня: $x_1 = 0$ и $7x - 1 = 0$, то есть $x_2 = \frac{1}{7}$.
Графиком функции $y = 7x^2 - x$ является парабола с ветвями, направленными вверх ($a=7 > 0$), пересекающая ось абсцисс в точках $x=0$ и $x=\frac{1}{7}$.
Неравенство $7x^2 - x \le 0$ выполняется там, где график параболы находится ниже или на оси абсцисс, то есть между корнями, включая сами корни.
Ответ: $x \in [0; \frac{1}{7}]$.

в) Чтобы решить неравенство $9 - x^2 < 0$, найдем корни уравнения $9 - x^2 = 0$.
Разложим левую часть на множители по формуле разности квадратов: $(3-x)(3+x) = 0$.
Корнями уравнения являются $x_1 = -3$ и $x_2 = 3$.
Графиком функции $y = 9 - x^2$ является парабола, ветви которой направлены вниз ($a=-1 < 0$), пересекающая ось абсцисс в точках $x=-3$ и $x=3$.
Неравенство $9 - x^2 < 0$ выполняется там, где график параболы находится ниже оси абсцисс, то есть на интервалах левее меньшего корня и правее большего корня.
Ответ: $x \in (-\infty; -3) \cup (3; +\infty)$.

г) Чтобы решить неравенство $6x^2 - x + 1 \ge 0$, рассмотрим соответствующее квадратное уравнение $6x^2 - x + 1 = 0$.
Найдем его дискриминант: $D = b^2 - 4ac = (-1)^2 - 4 \cdot 6 \cdot 1 = 1 - 24 = -23$.
Так как $D < 0$, уравнение не имеет действительных корней. Это означает, что парабола $y = 6x^2 - x + 1$ не пересекает ось абсцисс.
Коэффициент при $x^2$ положителен ($a=6 > 0$), следовательно, ветви параболы направлены вверх. Поскольку парабола не пересекает ось Ох и ее ветви направлены вверх, она полностью расположена выше оси абсцисс.
Это значит, что выражение $6x^2 - x + 1$ положительно при любом действительном значении $x$.
Следовательно, неравенство $6x^2 - x + 1 \ge 0$ выполняется для всех действительных чисел.
Ответ: $x \in (-\infty; +\infty)$.

Помогло решение? Оставьте отзыв в комментариях ниже.

Присоединяйтесь к Телеграм-группе @gdz_by_belarus

Присоединиться

Мы подготовили для вас ответ c подробным объяснением домашего задания по алгебре за 11 класс, для упражнения номер 203 расположенного на странице 190 к учебнику 2020 года издания для учащихся школ и гимназий.

Теперь на нашем сайте ГДЗ.ТОП вы всегда легко и бесплатно найдёте условие с правильным ответом на вопрос «Как решить ДЗ» и «Как сделать» задание по алгебре к упражнению №203 (с. 190), авторов: Арефьева (Ирина Глебовна), Пирютко (Ольга Николаевна), учебного пособия издательства Народная асвета.