Номер 213, страница 191 - гдз по алгебре 11 класс учебник Арефьева, Пирютко

Алгебра, 11 класс Учебник, авторы: Арефьева Ирина Глебовна, Пирютко Ольга Николаевна, издательство Народная асвета, Минск, 2020, бирюзового цвета

Авторы: Арефьева И. Г., Пирютко О. Н.

Тип: Учебник

Издательство: Народная асвета

Год издания: 2020 - 2025

Цвет обложки: бирюзовый, зелёный с графиком

ISBN: 978-985-03-3165-6

Популярные ГДЗ в 11 классе

Упражнения для итогового повторения. Выражения и их преобразования - номер 213, страница 191.

№213 (с. 191)
Условие. №213 (с. 191)
скриншот условия
Алгебра, 11 класс Учебник, авторы: Арефьева Ирина Глебовна, Пирютко Ольга Николаевна, издательство Народная асвета, Минск, 2020, бирюзового цвета, страница 191, номер 213, Условие

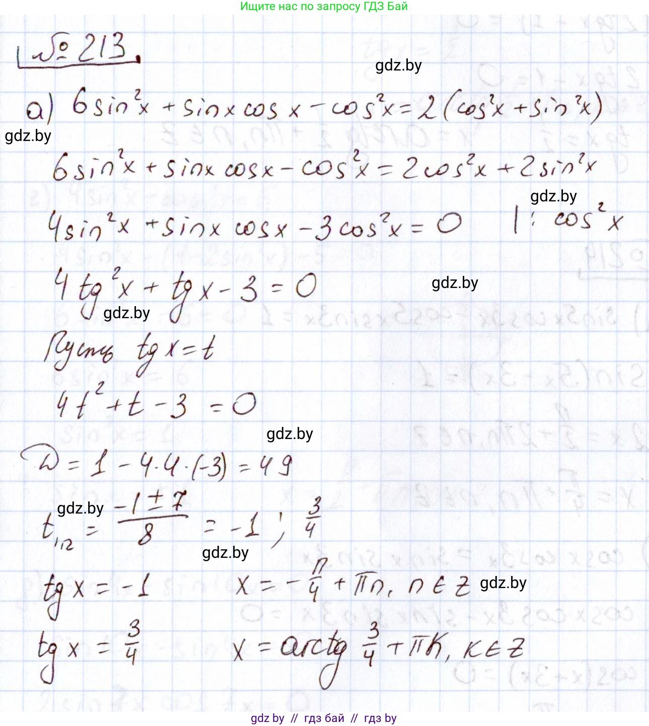
213. Приведите уравнение к однородному и решите его:

a) $6\sin^2 x + \sin x \cos x - \cos^2 x = 2;$

б) $4\sin x \cos x - 3\sin^2 x = 1.$

Решение. №213 (с. 191)
Алгебра, 11 класс Учебник, авторы: Арефьева Ирина Глебовна, Пирютко Ольга Николаевна, издательство Народная асвета, Минск, 2020, бирюзового цвета, страница 191, номер 213, Решение Алгебра, 11 класс Учебник, авторы: Арефьева Ирина Глебовна, Пирютко Ольга Николаевна, издательство Народная асвета, Минск, 2020, бирюзового цвета, страница 191, номер 213, Решение (продолжение 2)
Решение 2. №213 (с. 191)

а) $6\sin^2 x + \sin x \cos x - \cos^2 x = 2$

Чтобы привести это уравнение к однородному, представим правую часть, используя основное тригонометрическое тождество $\sin^2 x + \cos^2 x = 1$.

$2 = 2 \cdot 1 = 2(\sin^2 x + \cos^2 x)$

Подставим это выражение в исходное уравнение:

$6\sin^2 x + \sin x \cos x - \cos^2 x = 2(\sin^2 x + \cos^2 x)$

Раскроем скобки и перенесем все члены в левую часть:

$6\sin^2 x + \sin x \cos x - \cos^2 x - 2\sin^2 x - 2\cos^2 x = 0$

Приведем подобные слагаемые:

$4\sin^2 x + \sin x \cos x - 3\cos^2 x = 0$

Получено однородное тригонометрическое уравнение второй степени. Чтобы его решить, разделим обе части на $\cos^2 x$. Предварительно убедимся, что $\cos x \neq 0$. Если предположить, что $\cos x = 0$, то из основного тригонометрического тождества следует, что $\sin^2 x = 1$. Подставив эти значения в полученное однородное уравнение, получим:

$4(1) + 0 - 3(0) = 0 \implies 4 = 0$

Это неверное равенство, значит, $\cos x \neq 0$ для корней этого уравнения. Теперь можно разделить обе части на $\cos^2 x$:

$\frac{4\sin^2 x}{\cos^2 x} + \frac{\sin x \cos x}{\cos^2 x} - \frac{3\cos^2 x}{\cos^2 x} = 0$

$4\tan^2 x + \tan x - 3 = 0$

Сделаем замену $t = \tan x$, получим квадратное уравнение:

$4t^2 + t - 3 = 0$

Найдем его корни через дискриминант:

$D = 1^2 - 4 \cdot 4 \cdot (-3) = 1 + 48 = 49 = 7^2$

$t_1 = \frac{-1 - 7}{2 \cdot 4} = \frac{-8}{8} = -1$

$t_2 = \frac{-1 + 7}{2 \cdot 4} = \frac{6}{8} = \frac{3}{4}$

Вернемся к переменной $x$:

1. $\tan x = -1 \implies x = -\frac{\pi}{4} + \pi k, \quad k \in \mathbb{Z}$

2. $\tan x = \frac{3}{4} \implies x = \arctan\left(\frac{3}{4}\right) + \pi n, \quad n \in \mathbb{Z}$

Ответ: $x = -\frac{\pi}{4} + \pi k, k \in \mathbb{Z}$; $x = \arctan\left(\frac{3}{4}\right) + \pi n, n \in \mathbb{Z}$.

б) $4\sin x \cos x - 3\sin^2 x = 1$

Используем основное тригонометрическое тождество $\sin^2 x + \cos^2 x = 1$ для правой части уравнения.

$4\sin x \cos x - 3\sin^2 x = \sin^2 x + \cos^2 x$

Перенесем все члены в одну сторону, например, в правую:

$0 = \sin^2 x + 3\sin^2 x - 4\sin x \cos x + \cos^2 x$

$4\sin^2 x - 4\sin x \cos x + \cos^2 x = 0$

Получили однородное уравнение второй степени. Проверим, может ли $\cos x$ быть равным нулю. Если $\cos x = 0$, то $\sin^2 x = 1$. Подставляя в уравнение, получаем:

$4(1) - 4(0) + 0 = 0 \implies 4=0$

Равенство неверное, следовательно, $\cos x \neq 0$. Разделим обе части уравнения на $\cos^2 x$:

$\frac{4\sin^2 x}{\cos^2 x} - \frac{4\sin x \cos x}{\cos^2 x} + \frac{\cos^2 x}{\cos^2 x} = 0$

$4\tan^2 x - 4\tan x + 1 = 0$

Левая часть является полным квадратом:

$(2\tan x - 1)^2 = 0$

Отсюда следует, что:

$2\tan x - 1 = 0$

$\tan x = \frac{1}{2}$

Находим $x$:

$x = \arctan\left(\frac{1}{2}\right) + \pi n, \quad n \in \mathbb{Z}$

Ответ: $x = \arctan\left(\frac{1}{2}\right) + \pi n, n \in \mathbb{Z}$.

Помогло решение? Оставьте отзыв в комментариях ниже.

Присоединяйтесь к Телеграм-группе @gdz_by_belarus

Присоединиться

Мы подготовили для вас ответ c подробным объяснением домашего задания по алгебре за 11 класс, для упражнения номер 213 расположенного на странице 191 к учебнику 2020 года издания для учащихся школ и гимназий.

Теперь на нашем сайте ГДЗ.ТОП вы всегда легко и бесплатно найдёте условие с правильным ответом на вопрос «Как решить ДЗ» и «Как сделать» задание по алгебре к упражнению №213 (с. 191), авторов: Арефьева (Ирина Глебовна), Пирютко (Ольга Николаевна), учебного пособия издательства Народная асвета.