Номер 224, страница 193 - гдз по алгебре 11 класс учебник Арефьева, Пирютко

Алгебра, 11 класс Учебник, авторы: Арефьева Ирина Глебовна, Пирютко Ольга Николаевна, издательство Народная асвета, Минск, 2020, бирюзового цвета

Авторы: Арефьева И. Г., Пирютко О. Н.

Тип: Учебник

Издательство: Народная асвета

Год издания: 2020 - 2025

Цвет обложки: бирюзовый, зелёный с графиком

ISBN: 978-985-03-3165-6

Популярные ГДЗ в 11 классе

Упражнения для итогового повторения. Выражения и их преобразования - номер 224, страница 193.

№224 (с. 193)
Условие. №224 (с. 193)
скриншот условия
Алгебра, 11 класс Учебник, авторы: Арефьева Ирина Глебовна, Пирютко Ольга Николаевна, издательство Народная асвета, Минск, 2020, бирюзового цвета, страница 193, номер 224, Условие

224. Найдите нули функции:

a)

$y = \sqrt{x+2} - x;$

б)

$y = \sqrt{x^2+8} - 2x - 1;$

в)

$y = \sqrt[3]{x^3+x^2-7} - x.$

Решение. №224 (с. 193)
Алгебра, 11 класс Учебник, авторы: Арефьева Ирина Глебовна, Пирютко Ольга Николаевна, издательство Народная асвета, Минск, 2020, бирюзового цвета, страница 193, номер 224, Решение
Решение 2. №224 (с. 193)

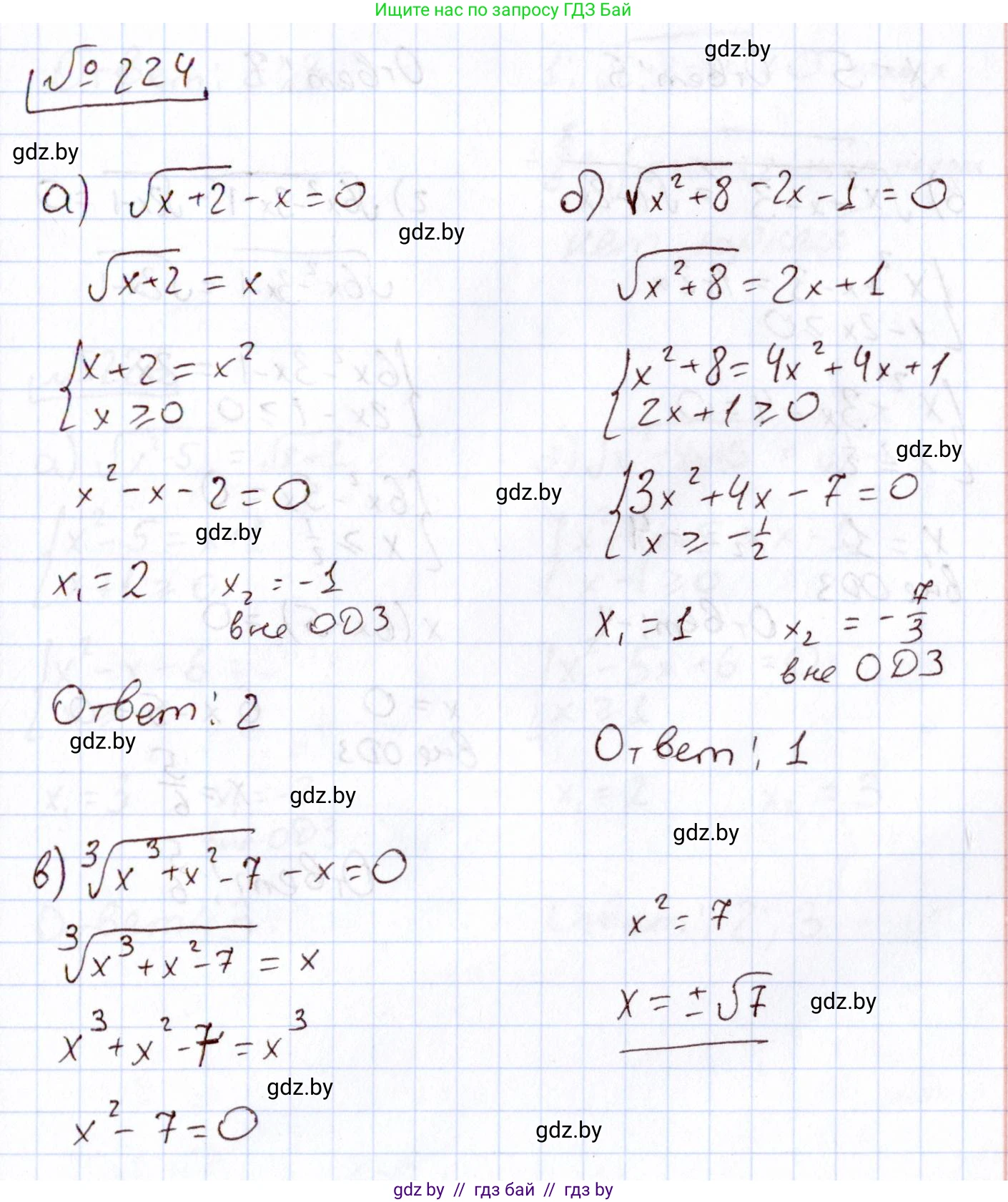
а) $y = \sqrt{x + 2} - x$

Чтобы найти нули функции, необходимо приравнять значение функции к нулю, то есть решить уравнение $y = 0$.

$\sqrt{x + 2} - x = 0$

Перенесем $x$ в правую часть уравнения, чтобы изолировать радикал:

$\sqrt{x + 2} = x$

Перед тем как возводить в квадрат, определим область допустимых значений (ОДЗ). Во-первых, выражение под знаком корня должно быть неотрицательным: $x + 2 \geq 0$, что дает $x \geq -2$. Во-вторых, так как арифметический квадратный корень не может быть отрицательным, правая часть уравнения также должна быть неотрицательной: $x \geq 0$. Объединяя оба условия, получаем ОДЗ: $x \geq 0$.

Теперь возведем обе части уравнения в квадрат:

$(\sqrt{x + 2})^2 = x^2$

$x + 2 = x^2$

Перенесем все слагаемые в одну сторону, чтобы получить стандартное квадратное уравнение:

$x^2 - x - 2 = 0$

Решим это уравнение с помощью дискриминанта $D = b^2 - 4ac$:

$D = (-1)^2 - 4 \cdot 1 \cdot (-2) = 1 + 8 = 9$

Найдем корни уравнения:

$x_1 = \frac{-(-1) + \sqrt{9}}{2 \cdot 1} = \frac{1 + 3}{2} = 2$

$x_2 = \frac{-(-1) - \sqrt{9}}{2 \cdot 1} = \frac{1 - 3}{2} = -1$

Теперь необходимо проверить, соответствуют ли найденные корни ОДЗ ($x \geq 0$).

Корень $x_1 = 2$ удовлетворяет условию $2 \geq 0$, следовательно, является решением.

Корень $x_2 = -1$ не удовлетворяет условию $-1 \geq 0$, следовательно, является посторонним корнем.

Ответ: $x = 2$.

б) $y = \sqrt{x^2 + 8} - 2x - 1$

Приравняем функцию к нулю:

$\sqrt{x^2 + 8} - 2x - 1 = 0$

Изолируем радикал в левой части уравнения:

$\sqrt{x^2 + 8} = 2x + 1$

Определим ОДЗ. Выражение под корнем $x^2 + 8$ всегда положительно для любого действительного $x$, так как $x^2 \geq 0$. Однако правая часть уравнения должна быть неотрицательной: $2x + 1 \geq 0$, откуда $2x \geq -1$ и $x \geq -0.5$.

Возведем обе части в квадрат:

$(\sqrt{x^2 + 8})^2 = (2x + 1)^2$

$x^2 + 8 = 4x^2 + 4x + 1$

Приведем уравнение к стандартному квадратному виду:

$4x^2 - x^2 + 4x + 1 - 8 = 0$

$3x^2 + 4x - 7 = 0$

Решим уравнение через дискриминант:

$D = 4^2 - 4 \cdot 3 \cdot (-7) = 16 + 84 = 100$

Найдем корни:

$x_1 = \frac{-4 + \sqrt{100}}{2 \cdot 3} = \frac{-4 + 10}{6} = \frac{6}{6} = 1$

$x_2 = \frac{-4 - \sqrt{100}}{2 \cdot 3} = \frac{-4 - 10}{6} = \frac{-14}{6} = -\frac{7}{3}$

Проверим корни на соответствие ОДЗ ($x \geq -0.5$).

Корень $x_1 = 1$ удовлетворяет условию ($1 \geq -0.5$).

Корень $x_2 = -\frac{7}{3} \approx -2.33$ не удовлетворяет условию ($-2.33 < -0.5$), поэтому это посторонний корень.

Ответ: $x = 1$.

в) $y = \sqrt[3]{x^3 + x^2 - 7} - x$

Приравняем функцию к нулю:

$\sqrt[3]{x^3 + x^2 - 7} - x = 0$

Перенесем $x$ в правую часть:

$\sqrt[3]{x^3 + x^2 - 7} = x$

Так как корень кубический, он определен для любых действительных чисел, и ОДЗ не накладывает ограничений на $x$.

Возведем обе части уравнения в куб:

$(\sqrt[3]{x^3 + x^2 - 7})^3 = x^3$

$x^3 + x^2 - 7 = x^3$

Вычтем $x^3$ из обеих частей уравнения:

$x^2 - 7 = 0$

Решим полученное неполное квадратное уравнение:

$x^2 = 7$

$x = \pm\sqrt{7}$

Так как ограничений на $x$ не было, оба корня являются решениями.

Ответ: $x_1 = \sqrt{7}, x_2 = -\sqrt{7}$.

Помогло решение? Оставьте отзыв в комментариях ниже.

Присоединяйтесь к Телеграм-группе @gdz_by_belarus

Присоединиться

Мы подготовили для вас ответ c подробным объяснением домашего задания по алгебре за 11 класс, для упражнения номер 224 расположенного на странице 193 к учебнику 2020 года издания для учащихся школ и гимназий.

Теперь на нашем сайте ГДЗ.ТОП вы всегда легко и бесплатно найдёте условие с правильным ответом на вопрос «Как решить ДЗ» и «Как сделать» задание по алгебре к упражнению №224 (с. 193), авторов: Арефьева (Ирина Глебовна), Пирютко (Ольга Николаевна), учебного пособия издательства Народная асвета.