Номер 229, страница 194 - гдз по алгебре 11 класс учебник Арефьева, Пирютко

Алгебра, 11 класс Учебник, авторы: Арефьева Ирина Глебовна, Пирютко Ольга Николаевна, издательство Народная асвета, Минск, 2020, бирюзового цвета

Авторы: Арефьева И. Г., Пирютко О. Н.

Тип: Учебник

Издательство: Народная асвета

Год издания: 2020 - 2025

Цвет обложки: бирюзовый, зелёный с графиком

ISBN: 978-985-03-3165-6

Популярные ГДЗ в 11 классе

Упражнения для итогового повторения. Выражения и их преобразования - номер 229, страница 194.

№229 (с. 194)
Условие. №229 (с. 194)
скриншот условия
Алгебра, 11 класс Учебник, авторы: Арефьева Ирина Глебовна, Пирютко Ольга Николаевна, издательство Народная асвета, Минск, 2020, бирюзового цвета, страница 194, номер 229, Условие

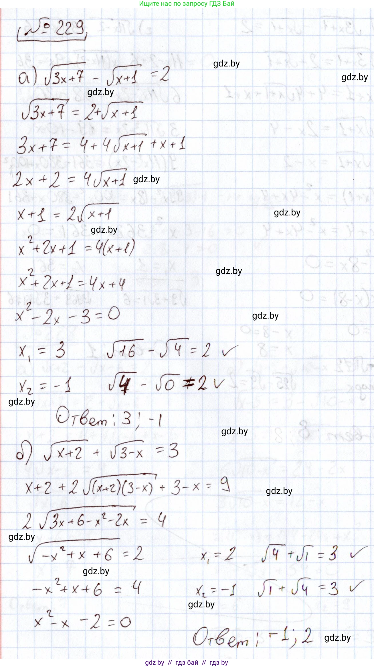
229. Найдите абсциссы точек пересечения графика функции:

а) $y = \sqrt{3x + 7} - \sqrt{x + 1}$ и прямой $y = 2;$

б) $y = \sqrt{x + 2} + \sqrt{3 - x}$ и прямой $y = 3.$

Решение. №229 (с. 194)
Алгебра, 11 класс Учебник, авторы: Арефьева Ирина Глебовна, Пирютко Ольга Николаевна, издательство Народная асвета, Минск, 2020, бирюзового цвета, страница 194, номер 229, Решение
Решение 2. №229 (с. 194)

а) Чтобы найти абсциссы точек пересечения графика функции $y = \sqrt{3x + 7} - \sqrt{x + 1}$ и прямой $y = 2$, необходимо решить уравнение:

$\sqrt{3x + 7} - \sqrt{x + 1} = 2$

Сначала определим область допустимых значений (ОДЗ). Выражения под знаком корня должны быть неотрицательными:

$ \begin{cases} 3x + 7 \ge 0 \\ x + 1 \ge 0 \end{cases} \implies \begin{cases} 3x \ge -7 \\ x \ge -1 \end{cases} \implies \begin{cases} x \ge -7/3 \\ x \ge -1 \end{cases} $

Таким образом, ОДЗ: $x \in [-1; +\infty)$.

Для решения уравнения уединим один из корней:

$\sqrt{3x + 7} = 2 + \sqrt{x + 1}$

Возведем обе части уравнения в квадрат:

$(\sqrt{3x + 7})^2 = (2 + \sqrt{x + 1})^2$

$3x + 7 = 4 + 4\sqrt{x + 1} + (x + 1)$

Упростим выражение и снова уединим корень:

$3x + 7 = 5 + x + 4\sqrt{x + 1}$

$2x + 2 = 4\sqrt{x + 1}$

Разделим обе части на 2:

$x + 1 = 2\sqrt{x + 1}$

Возведем в квадрат еще раз. Поскольку правая часть $2\sqrt{x + 1} \ge 0$, то и левая часть $x+1$ должна быть неотрицательной ($x+1 \ge 0$), что не противоречит найденной ОДЗ.

$(x + 1)^2 = (2\sqrt{x + 1})^2$

$x^2 + 2x + 1 = 4(x + 1)$

$x^2 + 2x + 1 = 4x + 4$

$x^2 - 2x - 3 = 0$

Решим полученное квадратное уравнение, например, по теореме Виета. Сумма корней равна 2, а произведение -3. Корни уравнения: $x_1 = 3$ и $x_2 = -1$.

Оба найденных корня удовлетворяют ОДЗ. Выполним проверку, подставив их в исходное уравнение.

При $x = 3$: $\sqrt{3(3) + 7} - \sqrt{3 + 1} = \sqrt{16} - \sqrt{4} = 4 - 2 = 2$. Верно.

При $x = -1$: $\sqrt{3(-1) + 7} - \sqrt{-1 + 1} = \sqrt{4} - \sqrt{0} = 2 - 0 = 2$. Верно.

Ответ: -1; 3.

б) Чтобы найти абсциссы точек пересечения графика функции $y = \sqrt{x + 2} + \sqrt{3 - x}$ и прямой $y = 3$, решим уравнение:

$\sqrt{x + 2} + \sqrt{3 - x} = 3$

Найдем ОДЗ:

$ \begin{cases} x + 2 \ge 0 \\ 3 - x \ge 0 \end{cases} \implies \begin{cases} x \ge -2 \\ x \le 3 \end{cases} $

Таким образом, ОДЗ: $x \in [-2; 3]$.

Возведем обе части уравнения в квадрат:

$(\sqrt{x + 2} + \sqrt{3 - x})^2 = 3^2$

$(x + 2) + 2\sqrt{(x + 2)(3 - x)} + (3 - x) = 9$

Приведем подобные слагаемые и уединим корень:

$5 + 2\sqrt{-x^2 + x + 6} = 9$

$2\sqrt{-x^2 + x + 6} = 4$

$\sqrt{-x^2 + x + 6} = 2$

Снова возведем обе части в квадрат:

$-x^2 + x + 6 = 4$

Перенесем все слагаемые в одну сторону:

$x^2 - x - 2 = 0$

Решим полученное квадратное уравнение по теореме Виета. Сумма корней равна 1, а произведение -2. Корни уравнения: $x_1 = 2$ и $x_2 = -1$.

Оба корня принадлежат ОДЗ ($x \in [-2; 3]$). Выполним проверку.

При $x = 2$: $\sqrt{2 + 2} + \sqrt{3 - 2} = \sqrt{4} + \sqrt{1} = 2 + 1 = 3$. Верно.

При $x = -1$: $\sqrt{-1 + 2} + \sqrt{3 - (-1)} = \sqrt{1} + \sqrt{4} = 1 + 2 = 3$. Верно.

Ответ: -1; 2.

Помогло решение? Оставьте отзыв в комментариях ниже.

Присоединяйтесь к Телеграм-группе @gdz_by_belarus

Присоединиться

Мы подготовили для вас ответ c подробным объяснением домашего задания по алгебре за 11 класс, для упражнения номер 229 расположенного на странице 194 к учебнику 2020 года издания для учащихся школ и гимназий.

Теперь на нашем сайте ГДЗ.ТОП вы всегда легко и бесплатно найдёте условие с правильным ответом на вопрос «Как решить ДЗ» и «Как сделать» задание по алгебре к упражнению №229 (с. 194), авторов: Арефьева (Ирина Глебовна), Пирютко (Ольга Николаевна), учебного пособия издательства Народная асвета.