Номер 230, страница 194 - гдз по алгебре 11 класс учебник Арефьева, Пирютко

Алгебра, 11 класс Учебник, авторы: Арефьева Ирина Глебовна, Пирютко Ольга Николаевна, издательство Народная асвета, Минск, 2020, бирюзового цвета

Авторы: Арефьева И. Г., Пирютко О. Н.

Тип: Учебник

Издательство: Народная асвета

Год издания: 2020 - 2025

Цвет обложки: бирюзовый, зелёный с графиком

ISBN: 978-985-03-3165-6

Популярные ГДЗ в 11 классе

Упражнения для итогового повторения. Выражения и их преобразования - номер 230, страница 194.

№230 (с. 194)
Условие. №230 (с. 194)
скриншот условия
Алгебра, 11 класс Учебник, авторы: Арефьева Ирина Глебовна, Пирютко Ольга Николаевна, издательство Народная асвета, Минск, 2020, бирюзового цвета, страница 194, номер 230, Условие

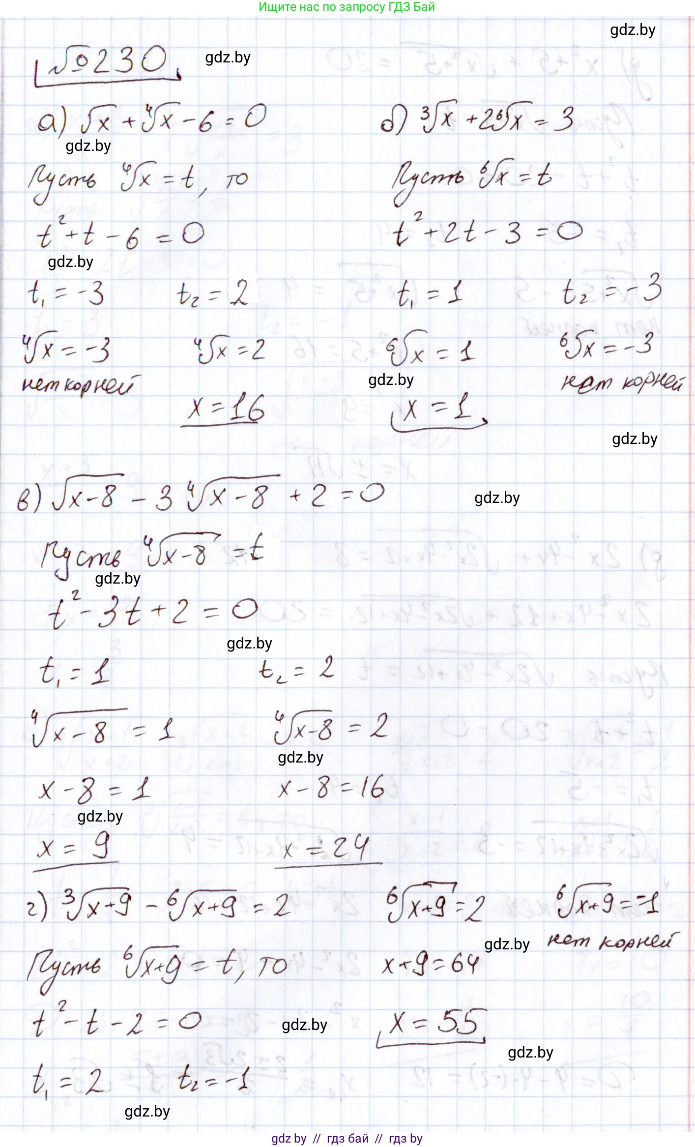
230. Решите уравнение с помощью метода замены переменной:

а) $\sqrt{x} + \sqrt[4]{x} - 6 = 0;$

б) $\sqrt[3]{x} + 2\sqrt[6]{x} = 3;$

в) $\sqrt{x - 8} - 3\sqrt[4]{x - 8} + 2 = 0;$

г) $\sqrt[3]{x + 9} - \sqrt[6]{x + 9} = 2;$

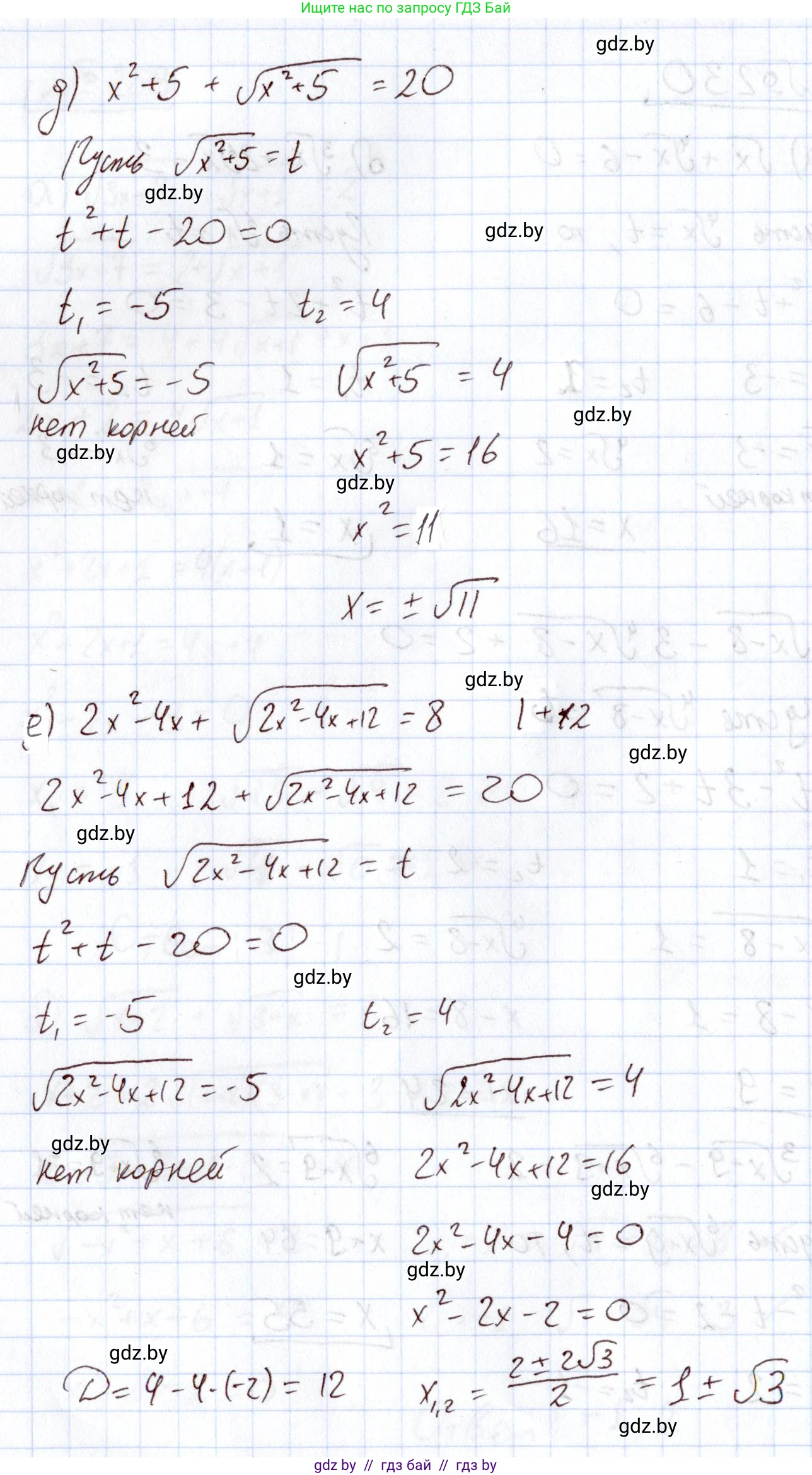
д) $x^2 + 5 + \sqrt{x^2 + 5} = 20;$

е) $2x^2 - 4x + \sqrt{2x^2 - 4x + 12} = 8.$

Решение. №230 (с. 194)
Алгебра, 11 класс Учебник, авторы: Арефьева Ирина Глебовна, Пирютко Ольга Николаевна, издательство Народная асвета, Минск, 2020, бирюзового цвета, страница 194, номер 230, Решение Алгебра, 11 класс Учебник, авторы: Арефьева Ирина Глебовна, Пирютко Ольга Николаевна, издательство Народная асвета, Минск, 2020, бирюзового цвета, страница 194, номер 230, Решение (продолжение 2)
Решение 2. №230 (с. 194)

а) Дано уравнение $\sqrt{x} + \sqrt[4]{x} - 6 = 0$. Область допустимых значений (ОДЗ): $x \ge 0$. Заметим, что $\sqrt{x} = (\sqrt[4]{x})^2$. Сделаем замену переменной. Пусть $t = \sqrt[4]{x}$. Так как корень четвертой степени из неотрицательного числа есть число неотрицательное, то $t \ge 0$. Подставив новую переменную в исходное уравнение, получим квадратное уравнение: $t^2 + t - 6 = 0$. Найдем корни этого уравнения, например, по теореме Виета: $t_1 + t_2 = -1$ $t_1 \cdot t_2 = -6$ Отсюда $t_1 = -3$ и $t_2 = 2$. Корень $t_1 = -3$ не удовлетворяет условию $t \ge 0$, поэтому он является посторонним. Рассмотрим корень $t_2 = 2$. Он удовлетворяет условию $t \ge 0$. Вернемся к исходной переменной: $\sqrt[4]{x} = 2$ Возведем обе части уравнения в четвертую степень: $x = 2^4$ $x = 16$ Проверим, удовлетворяет ли найденный корень ОДЗ: $16 \ge 0$. Удовлетворяет.
Ответ: 16.

б) Дано уравнение $\sqrt[3]{x} + 2\sqrt[6]{x} = 3$. ОДЗ: $x \ge 0$ (из-за наличия корня четной степени). Заметим, что $\sqrt[3]{x} = (\sqrt[6]{x})^2$. Сделаем замену переменной. Пусть $t = \sqrt[6]{x}$. Учитывая ОДЗ, $t \ge 0$. Получим квадратное уравнение относительно $t$: $t^2 + 2t = 3$ $t^2 + 2t - 3 = 0$ Найдем корни по теореме Виета: $t_1 + t_2 = -2$ $t_1 \cdot t_2 = -3$ Отсюда $t_1 = -3$ и $t_2 = 1$. Корень $t_1 = -3$ не удовлетворяет условию $t \ge 0$. Корень $t_2 = 1$ удовлетворяет условию $t \ge 0$. Выполним обратную замену: $\sqrt[6]{x} = 1$ Возведем обе части в шестую степень: $x = 1^6$ $x = 1$ Найденный корень $x=1$ удовлетворяет ОДЗ.
Ответ: 1.

в) Дано уравнение $\sqrt{x - 8} - 3\sqrt[4]{x - 8} + 2 = 0$. ОДЗ: $x - 8 \ge 0 \implies x \ge 8$. Заметим, что $\sqrt{x - 8} = (\sqrt[4]{x - 8})^2$. Сделаем замену. Пусть $t = \sqrt[4]{x - 8}$. Тогда $t \ge 0$. Уравнение принимает вид: $t^2 - 3t + 2 = 0$ Найдем корни по теореме Виета: $t_1 + t_2 = 3$ $t_1 \cdot t_2 = 2$ Отсюда $t_1 = 1$ и $t_2 = 2$. Оба корня удовлетворяют условию $t \ge 0$. Рассмотрим оба случая. 1) $t_1 = 1$: $\sqrt[4]{x - 8} = 1$ $x - 8 = 1^4$ $x - 8 = 1$ $x = 9$ 2) $t_2 = 2$: $\sqrt[4]{x - 8} = 2$ $x - 8 = 2^4$ $x - 8 = 16$ $x = 24$ Оба корня ($x=9$ и $x=24$) удовлетворяют ОДЗ ($x \ge 8$).
Ответ: 9; 24.

г) Дано уравнение $\sqrt[3]{x + 9} - \sqrt[6]{x + 9} = 2$. ОДЗ: $x + 9 \ge 0 \implies x \ge -9$. Заметим, что $\sqrt[3]{x + 9} = (\sqrt[6]{x + 9})^2$. Сделаем замену. Пусть $t = \sqrt[6]{x + 9}$. Тогда $t \ge 0$. Уравнение принимает вид: $t^2 - t = 2$ $t^2 - t - 2 = 0$ Найдем корни по теореме Виета: $t_1 + t_2 = 1$ $t_1 \cdot t_2 = -2$ Отсюда $t_1 = -1$ и $t_2 = 2$. Корень $t_1 = -1$ не удовлетворяет условию $t \ge 0$. Корень $t_2 = 2$ удовлетворяет условию $t \ge 0$. Выполним обратную замену: $\sqrt[6]{x + 9} = 2$ $x + 9 = 2^6$ $x + 9 = 64$ $x = 55$ Найденный корень $x=55$ удовлетворяет ОДЗ ($x \ge -9$).
Ответ: 55.

д) Дано уравнение $x^2 + 5 + \sqrt{x^2 + 5} = 20$. ОДЗ: выражение под корнем $x^2 + 5$ всегда положительно при любом $x \in \mathbb{R}$, так как $x^2 \ge 0$. Сделаем замену переменной. Пусть $t = \sqrt{x^2 + 5}$. Поскольку $x^2+5 \ge 5$, то $t = \sqrt{x^2 + 5} \ge \sqrt{5}$. Также заметим, что $x^2 + 5 = t^2$. Подставим в уравнение: $t^2 + t = 20$ $t^2 + t - 20 = 0$ Найдем корни по теореме Виета: $t_1 + t_2 = -1$ $t_1 \cdot t_2 = -20$ Отсюда $t_1 = -5$ и $t_2 = 4$. Корень $t_1 = -5$ не удовлетворяет условию $t \ge \sqrt{5}$. Корень $t_2 = 4$ удовлетворяет условию $t \ge \sqrt{5}$, так как $4 = \sqrt{16}$, а $16 > 5$. Вернемся к исходной переменной: $\sqrt{x^2 + 5} = 4$ Возведем обе части в квадрат: $x^2 + 5 = 16$ $x^2 = 11$ $x = \pm\sqrt{11}$
Ответ: $\pm\sqrt{11}$.

е) Дано уравнение $2x^2 - 4x + \sqrt{2x^2 - 4x + 12} = 8$. ОДЗ: Выражение под корнем $2x^2 - 4x + 12$ должно быть неотрицательным. Найдем дискриминант квадратного трехчлена $2x^2 - 4x + 12$: $D = (-4)^2 - 4 \cdot 2 \cdot 12 = 16 - 96 = -80$. Так как дискриминант отрицательный, а старший коэффициент $2 > 0$, то трехчлен $2x^2 - 4x + 12 > 0$ при любых $x \in \mathbb{R}$. Сделаем замену переменной. Пусть $t = \sqrt{2x^2 - 4x + 12}$. Тогда $t > 0$. Из замены следует, что $t^2 = 2x^2 - 4x + 12$, откуда $2x^2 - 4x = t^2 - 12$. Подставим это в исходное уравнение: $(t^2 - 12) + t = 8$ $t^2 + t - 20 = 0$ Это то же самое квадратное уравнение, что и в пункте д). Его корни $t_1 = -5$ и $t_2 = 4$. Корень $t_1 = -5$ не удовлетворяет условию $t > 0$. Корень $t_2 = 4$ удовлетворяет условию. Выполним обратную замену, используя выражение $2x^2 - 4x = t^2 - 12$: $2x^2 - 4x = 4^2 - 12$ $2x^2 - 4x = 16 - 12$ $2x^2 - 4x = 4$ $2x^2 - 4x - 4 = 0$ Разделим обе части на 2: $x^2 - 2x - 2 = 0$ Решим это квадратное уравнение через дискриминант: $D = (-2)^2 - 4 \cdot 1 \cdot (-2) = 4 + 8 = 12$ $x_{1,2} = \frac{-(-2) \pm \sqrt{12}}{2 \cdot 1} = \frac{2 \pm 2\sqrt{3}}{2} = 1 \pm \sqrt{3}$
Ответ: $1 \pm \sqrt{3}$.

Помогло решение? Оставьте отзыв в комментариях ниже.

Присоединяйтесь к Телеграм-группе @gdz_by_belarus

Присоединиться

Мы подготовили для вас ответ c подробным объяснением домашего задания по алгебре за 11 класс, для упражнения номер 230 расположенного на странице 194 к учебнику 2020 года издания для учащихся школ и гимназий.

Теперь на нашем сайте ГДЗ.ТОП вы всегда легко и бесплатно найдёте условие с правильным ответом на вопрос «Как решить ДЗ» и «Как сделать» задание по алгебре к упражнению №230 (с. 194), авторов: Арефьева (Ирина Глебовна), Пирютко (Ольга Николаевна), учебного пособия издательства Народная асвета.