Номер 54, страница 186 - гдз по математике 6 класс сборник задач Пирютко, Терешко

Математика, 6 класс Сборник задач, авторы: Пирютко Ольга Николаевна, Терешко Оксана Александровна, издательство Адукацыя i выхаванне, Минск, 2020, салатового цвета

Авторы: Пирютко О. Н., Терешко О. А.

Тип: Сборник задач

Издательство: Адукацыя i выхаванне

Год издания: 2020 - 2025

Цвет обложки: салатовый, белый, красный с учениками

ISBN: 978-985-599-225-8

Допущено Министерством образования Республики Беларусь

Популярные ГДЗ в 6 классе

Задачи для повторения - номер 54, страница 186.

№54 (с. 186)
Условие. №54 (с. 186)
скриншот условия
Математика, 6 класс Сборник задач, авторы: Пирютко Ольга Николаевна, Терешко Оксана Александровна, издательство Адукацыя i выхаванне, Минск, 2020, салатового цвета, страница 186, номер 54, Условие

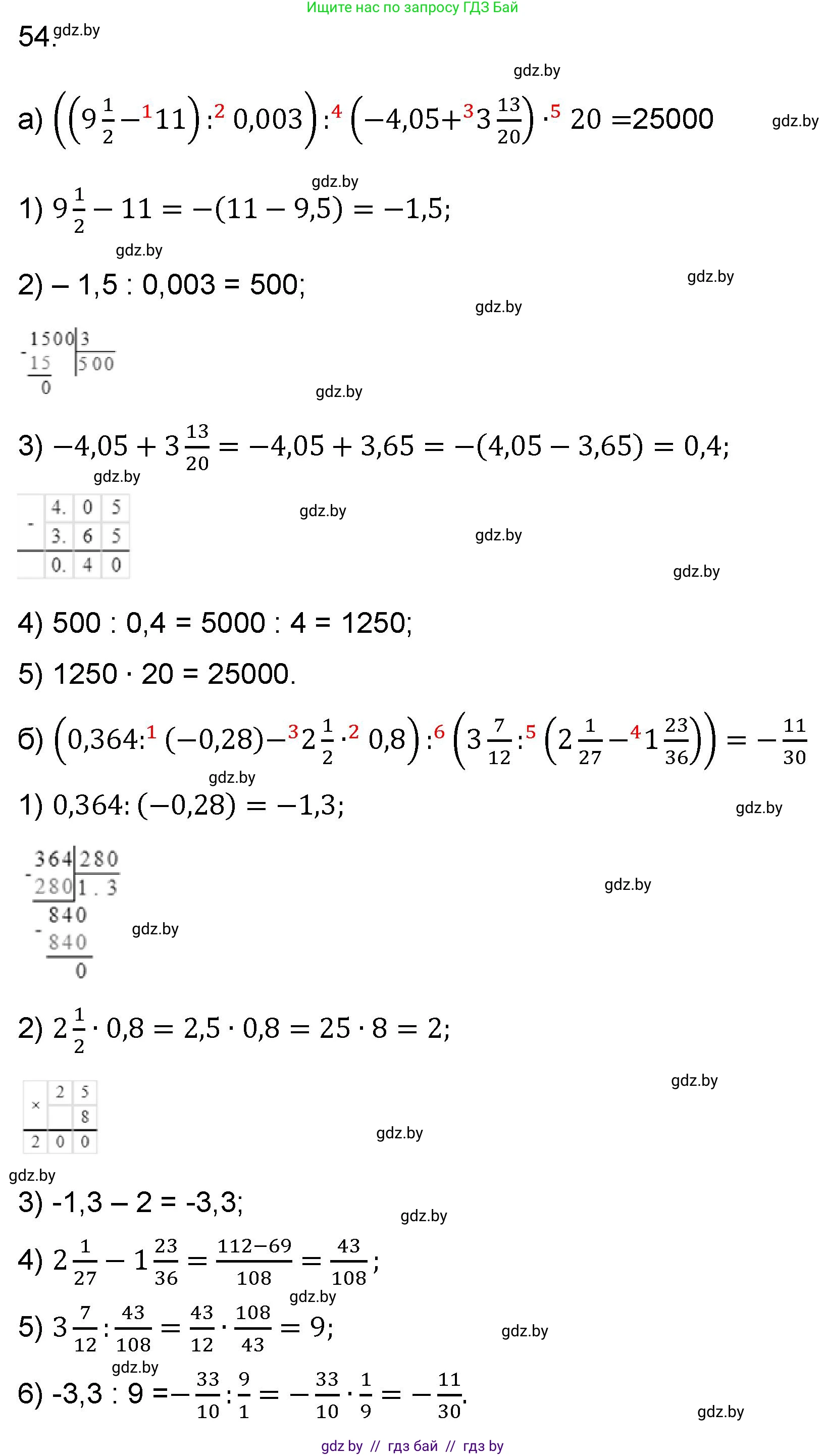
54. Установите порядок действий и вычислите значение выражения:

a) $\left(\left(9\frac{1}{2}-11\right):0,003\right):\left(-4,05+3\frac{13}{20}\right)\cdot 20;$

б) $\left(0,364:(-0,28)-2\frac{1}{2}\cdot 0,8\right):\left(3\frac{7}{12}:\left(2\frac{1}{27}-1\frac{23}{36}\right)\right).$

Решение. №54 (с. 186)
Математика, 6 класс Сборник задач, авторы: Пирютко Ольга Николаевна, Терешко Оксана Александровна, издательство Адукацыя i выхаванне, Минск, 2020, салатового цвета, страница 186, номер 54, Решение
Решение 2. №54 (с. 186)
a)

Дано выражение: $\left(\left(9\frac{1}{2} - 11\right) : 0,003\right) : \left(-4,05 + 3\frac{13}{20}\right) \cdot 20$

Установим порядок действий и выполним вычисления. Для удобства вычислений преобразуем дроби в десятичный формат там, где это возможно.

Порядок действий:

  1. Вычитание в первых внутренних скобках: $9\frac{1}{2} - 11$.
  2. Сложение во вторых скобках: $-4,05 + 3\frac{13}{20}$.
  3. Деление результата действия (1) на 0,003.
  4. Деление результата действия (3) на результат действия (2).
  5. Умножение результата действия (4) на 20.

Вычисления по шагам:

  1. $9\frac{1}{2} - 11 = 9,5 - 11 = -1,5$
  2. $-4,05 + 3\frac{13}{20} = -4,05 + 3\frac{65}{100} = -4,05 + 3,65 = -0,4$
  3. $-1,5 : 0,003 = -1500 : 3 = -500$
  4. $-500 : (-0,4) = 500 : 0,4 = 5000 : 4 = 1250$
  5. $1250 \cdot 20 = 25000$

Ответ: 25000

б)

Дано выражение: $\left(0,364 : (-0,28) - 2\frac{1}{2} \cdot 0,8\right) : \left(3\frac{7}{12} : \left(2\frac{1}{27} - 1\frac{23}{36}\right)\right)$

Установим порядок действий и выполним вычисления. Вычисления будут производиться последовательно для каждого блока скобок.

1. Вычисление значения в первых больших скобках $\left(0,364 : (-0,28) - 2\frac{1}{2} \cdot 0,8\right)$:

  1. $0,364 : (-0,28) = -(36,4 : 28) = -1,3$
  2. $2\frac{1}{2} \cdot 0,8 = 2,5 \cdot 0,8 = 2$
  3. $-1,3 - 2 = -3,3$

2. Вычисление значения во вторых больших скобках $\left(3\frac{7}{12} : \left(2\frac{1}{27} - 1\frac{23}{36}\right)\right)$:

  1. Сначала выполним вычитание во внутренних скобках. Для этого приведем дроби к общему знаменателю. Наименьшее общее кратное для 27 и 36 это 108.
    $2\frac{1}{27} = \frac{55}{27} = \frac{55 \cdot 4}{27 \cdot 4} = \frac{220}{108}$
    $1\frac{23}{36} = \frac{59}{36} = \frac{59 \cdot 3}{36 \cdot 3} = \frac{177}{108}$
    $2\frac{1}{27} - 1\frac{23}{36} = \frac{220}{108} - \frac{177}{108} = \frac{43}{108}$
  2. Теперь выполним деление:
    $3\frac{7}{12} : \frac{43}{108} = \frac{43}{12} : \frac{43}{108} = \frac{43}{12} \cdot \frac{108}{43} = \frac{108}{12} = 9$

3. Финальное деление:

  1. Разделим результат из пункта 1 на результат из пункта 2:
    $-3,3 : 9 = -\frac{33}{10} : 9 = -\frac{33}{10 \cdot 9} = -\frac{11 \cdot 3}{10 \cdot 3 \cdot 3} = -\frac{11}{30}$

Ответ: $-\frac{11}{30}$

Помогло решение? Оставьте отзыв в комментариях ниже.

Присоединяйтесь к Телеграм-группе @gdz_by_belarus

Присоединиться

Мы подготовили для вас ответ c подробным объяснением домашего задания по математике за 6 класс, для упражнения номер 54 расположенного на странице 186 к сборнику задач 2020 года издания для учащихся школ и гимназий.

Теперь на нашем сайте ГДЗ.ТОП вы всегда легко и бесплатно найдёте условие с правильным ответом на вопрос «Как решить ДЗ» и «Как сделать» задание по математике к упражнению №54 (с. 186), авторов: Пирютко (Ольга Николаевна), Терешко (Оксана Александровна), учебного пособия издательства Адукацыя i выхаванне.