Номер 32.50, страница 157 - гдз по алгебре 7-9 класс сборник задач Арефьева, Пирютко

Алгебра, 7-9 класс Сборник задач, авторы: Арефьева Ирина Глебовна, Пирютко Ольга Николаевна, издательство Народная асвета, Минск, 2020

Авторы: Арефьева И. Г., Пирютко О. Н.

Тип: Сборник задач

Издательство: Народная асвета

Год издания: 2020 - 2025

Цвет обложки: синий с графиками

Допущено Министерством образования Республики Беларусь

Популярные ГДЗ в 7 классе

9 класс. Параграф 32. Рациональная дробь. Сокращение рациональных дробей - номер 32.50, страница 157.

№32.50 (с. 157)
Условие. №32.50 (с. 157)
скриншот условия
Алгебра, 7-9 класс Сборник задач, авторы: Арефьева Ирина Глебовна, Пирютко Ольга Николаевна, издательство Народная асвета, Минск, 2020, страница 157, номер 32.50, Условие

32.50*. Сократите дробь:

а) $\frac{|x-4|+5}{(x-9)(x+1)};$

б) $\frac{|x+4|+5}{(|x|-9)(x-1)}.$

Решение. №32.50 (с. 157)
Алгебра, 7-9 класс Сборник задач, авторы: Арефьева Ирина Глебовна, Пирютко Ольга Николаевна, издательство Народная асвета, Минск, 2020, страница 157, номер 32.50, Решение Алгебра, 7-9 класс Сборник задач, авторы: Арефьева Ирина Глебовна, Пирютко Ольга Николаевна, издательство Народная асвета, Минск, 2020, страница 157, номер 32.50, Решение (продолжение 2)
Решение 2. №32.50 (с. 157)

а)

Рассмотрим дробь $ \frac{|x-4|+5}{(x-9)(x+1)} $. Область допустимых значений (ОДЗ) определяется условием, что знаменатель не равен нулю: $ (x-9)(x+1) \neq 0 $, откуда $ x \neq 9 $ и $ x \neq -1 $.

Для того чтобы сократить дробь, необходимо раскрыть модуль в числителе. Знак выражения под модулем $ x-4 $ меняется в точке $ x=4 $. Рассмотрим два случая.

1. Пусть $ x-4 \ge 0 $, то есть $ x \ge 4 $.
В этом случае $|x-4| = x-4$. Выражение в числителе принимает вид $ (x-4)+5 = x+1 $.
Тогда вся дробь становится равна:
$ \frac{x+1}{(x-9)(x+1)} $
Так как мы рассматриваем случай $ x \ge 4 $, то $ x+1 \neq 0 $, и мы можем сократить дробь на множитель $ (x+1) $:$ \frac{1}{x-9} $.

2. Пусть $ x-4 < 0 $, то есть $ x < 4 $.
В этом случае $|x-4| = -(x-4) = 4-x$. Выражение в числителе принимает вид $ (4-x)+5 = 9-x $.
Тогда вся дробь становится равна:
$ \frac{9-x}{(x-9)(x+1)} = \frac{-(x-9)}{(x-9)(x+1)} $
Так как мы рассматриваем случай $ x < 4 $, то $ x-9 \neq 0 $, и мы можем сократить дробь на множитель $ (x-9) $:$ \frac{-1}{x+1} $.

Таким образом, после сокращения дробь является кусочно-заданной функцией.

Ответ: $ \begin{cases} \frac{1}{x-9}, & \text{при } x \ge 4, x \ne 9 \\ \frac{-1}{x+1}, & \text{при } x < 4, x \ne -1 \end{cases} $

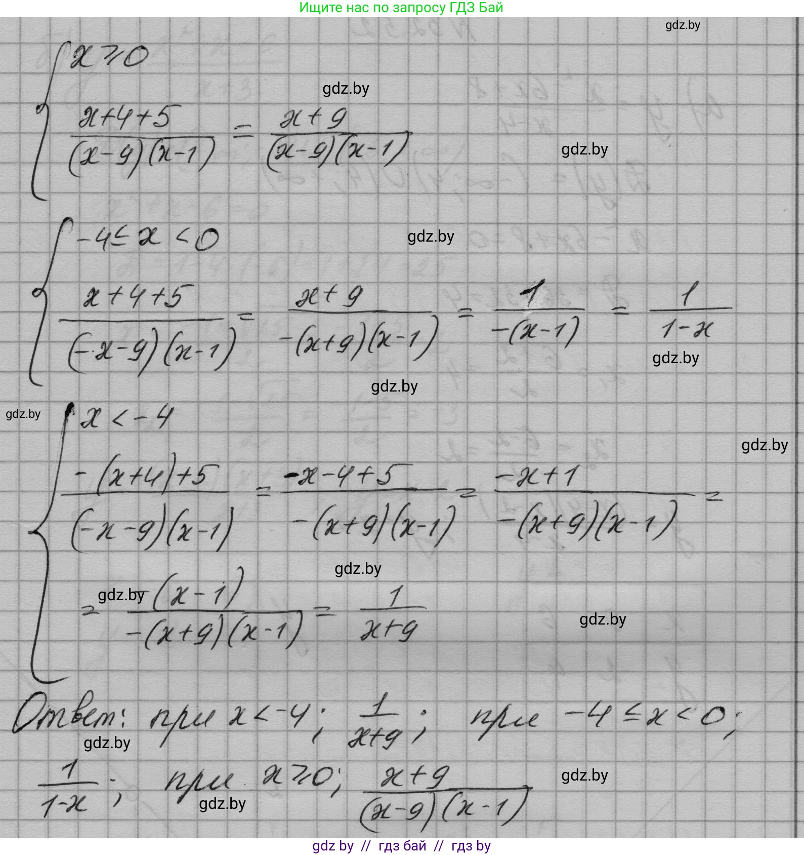
б)

Рассмотрим дробь $ \frac{|x+4|+5}{(|x|-9)(x-1)} $. Область допустимых значений (ОДЗ) определяется условиями: $ |x|-9 \neq 0 $ и $ x-1 \neq 0 $.
Из $ |x| \neq 9 $ следует, что $ x \neq 9 $ и $ x \neq -9 $.
Из $ x-1 \neq 0 $ следует, что $ x \neq 1 $.
Итак, ОДЗ: $ x \in \mathbb{R} \setminus \{-9, 1, 9\} $.

Для раскрытия модулей $|x+4|$ и $|x|$ необходимо рассмотреть интервалы, на которые числовую ось разбивают точки $ x=-4 $ и $ x=0 $.

1. Пусть $ x \ge 0 $.
В этом случае $|x| = x$ и $|x+4| = x+4$ (так как $ x+4 > 0 $).
Подставляем в дробь:
$ \frac{(x+4)+5}{(x-9)(x-1)} = \frac{x+9}{(x-9)(x-1)} $
В данном выражении дальнейшие сокращения невозможны.

2. Пусть $ -4 \le x < 0 $.
В этом случае $|x| = -x$ и $|x+4| = x+4$ (так как $ x+4 \ge 0 $).
Подставляем в дробь:
$ \frac{(x+4)+5}{(-x-9)(x-1)} = \frac{x+9}{-(x+9)(x-1)} $
На интервале $ [-4, 0) $ выражение $ x+9 $ не равно нулю, поэтому можно сократить на $ (x+9) $:$ \frac{1}{-(x-1)} = \frac{1}{1-x} $.

3. Пусть $ x < -4 $.
В этом случае $|x| = -x$ и $|x+4| = -(x+4) = -x-4$.
Подставляем в дробь:
$ \frac{(-x-4)+5}{(-x-9)(x-1)} = \frac{1-x}{-(x+9)(x-1)} = \frac{-(x-1)}{-(x+9)(x-1)} $
На интервале $ (-\infty, -4) $ выражение $ x-1 $ не равно нулю, поэтому можно сократить на $ (x-1) $:$ \frac{1}{x+9} $.

Объединяя все случаи с учетом ОДЗ, получаем итоговое выражение.

Ответ: $ \begin{cases} \frac{x+9}{(x-9)(x-1)}, & \text{при } x \ge 0, x \ne 1, x \ne 9 \\ \frac{1}{1-x}, & \text{при } -4 \le x < 0 \\ \frac{1}{x+9}, & \text{при } x < -4, x \ne -9 \end{cases} $

Помогло решение? Оставьте отзыв в комментариях ниже.

Присоединяйтесь к Телеграм-группе @gdz_by_belarus

Присоединиться

Мы подготовили для вас ответ c подробным объяснением домашего задания по алгебре за 7-9 класс, для упражнения номер 32.50 расположенного на странице 157 к сборнику задач 2020 года издания для учащихся школ и гимназий.

Теперь на нашем сайте ГДЗ.ТОП вы всегда легко и бесплатно найдёте условие с правильным ответом на вопрос «Как решить ДЗ» и «Как сделать» задание по алгебре к упражнению №32.50 (с. 157), авторов: Арефьева (Ирина Глебовна), Пирютко (Ольга Николаевна), учебного пособия издательства Народная асвета.