Номер 36.12, страница 179 - гдз по алгебре 7-9 класс сборник задач Арефьева, Пирютко

Алгебра, 7-9 класс Сборник задач, авторы: Арефьева Ирина Глебовна, Пирютко Ольга Николаевна, издательство Народная асвета, Минск, 2020

Авторы: Арефьева И. Г., Пирютко О. Н.

Тип: Сборник задач

Издательство: Народная асвета

Год издания: 2020 - 2025

Цвет обложки: синий с графиками

Допущено Министерством образования Республики Беларусь

Популярные ГДЗ в 7 классе

9 класс. Параграф 36. Дробно-рациональные уравнения - номер 36.12, страница 179.

№36.12 (с. 179)
Условие. №36.12 (с. 179)
скриншот условия
Алгебра, 7-9 класс Сборник задач, авторы: Арефьева Ирина Глебовна, Пирютко Ольга Николаевна, издательство Народная асвета, Минск, 2020, страница 179, номер 36.12, Условие

36.12. Найдите корни уравнения:

a) $\frac{x^2}{x - 6} = \frac{36}{x - 6}$;

б) $\frac{x^2 - x}{x - 9} = \frac{8x}{x - 9}$;

в) $\frac{x^2 - 12x}{x + 2} = \frac{28}{x + 2}$;

г) $\frac{x^2 - 3x}{x - 1} = \frac{5 - 3x}{1 - x}$;

д) $\frac{x^2 + 4x}{x - 1} = \frac{x - 6}{1 - x}$;

е) $\frac{x^2 + 5x}{x - 3} = \frac{x - 18}{3 - x}$.

Решение. №36.12 (с. 179)
Алгебра, 7-9 класс Сборник задач, авторы: Арефьева Ирина Глебовна, Пирютко Ольга Николаевна, издательство Народная асвета, Минск, 2020, страница 179, номер 36.12, Решение Алгебра, 7-9 класс Сборник задач, авторы: Арефьева Ирина Глебовна, Пирютко Ольга Николаевна, издательство Народная асвета, Минск, 2020, страница 179, номер 36.12, Решение (продолжение 2) Алгебра, 7-9 класс Сборник задач, авторы: Арефьева Ирина Глебовна, Пирютко Ольга Николаевна, издательство Народная асвета, Минск, 2020, страница 179, номер 36.12, Решение (продолжение 3) Алгебра, 7-9 класс Сборник задач, авторы: Арефьева Ирина Глебовна, Пирютко Ольга Николаевна, издательство Народная асвета, Минск, 2020, страница 179, номер 36.12, Решение (продолжение 4)
Решение 2. №36.12 (с. 179)

а) $\frac{x^2}{x - 6} = \frac{36}{x - 6}$

Область допустимых значений (ОДЗ) определяется условием неравенства знаменателя нулю: $x - 6 \neq 0$, откуда $x \neq 6$.

Поскольку знаменатели дробей в обеих частях уравнения равны, можем приравнять их числители:

$x^2 = 36$

Решая это квадратное уравнение, находим два корня:

$x_1 = 6$ и $x_2 = -6$.

Сравним найденные корни с ОДЗ. Корень $x_1 = 6$ не удовлетворяет условию $x \neq 6$, поэтому он является посторонним. Корень $x_2 = -6$ удовлетворяет ОДЗ.

Ответ: $-6$.

б) $\frac{x^2 - x}{x - 9} = \frac{8x}{x - 9}$

ОДЗ: $x - 9 \neq 0$, следовательно, $x \neq 9$.

Приравниваем числители, так как знаменатели равны:

$x^2 - x = 8x$

Переносим все члены в левую часть и приводим подобные слагаемые:

$x^2 - x - 8x = 0$

$x^2 - 9x = 0$

Выносим общий множитель $x$ за скобки:

$x(x - 9) = 0$

Отсюда получаем два возможных корня:

$x_1 = 0$ или $x_2 = 9$.

Проверяем корни по ОДЗ. Корень $x_1 = 0$ удовлетворяет условию $x \neq 9$. Корень $x_2 = 9$ не удовлетворяет ОДЗ и является посторонним.

Ответ: $0$.

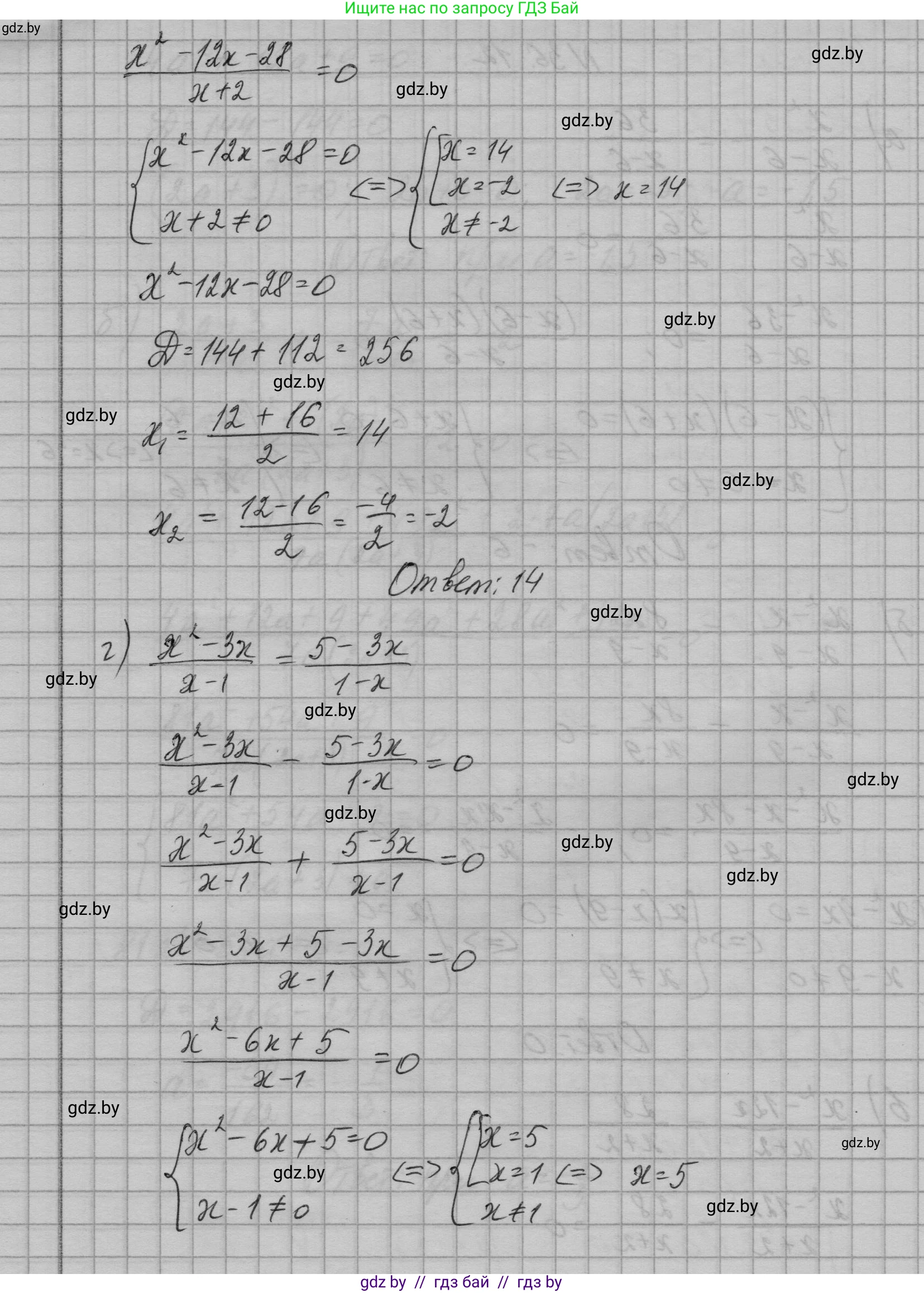
в) $\frac{x^2 - 12x}{x + 2} = \frac{28}{x + 2}$

ОДЗ: $x + 2 \neq 0$, следовательно, $x \neq -2$.

Приравниваем числители:

$x^2 - 12x = 28$

Переносим все в левую часть, чтобы получить квадратное уравнение:

$x^2 - 12x - 28 = 0$

Решим это уравнение с помощью теоремы Виета. Сумма корней $x_1 + x_2 = 12$, а их произведение $x_1 \cdot x_2 = -28$. Подбираем корни: $x_1 = 14$ и $x_2 = -2$.

Проверяем корни по ОДЗ. Корень $x_1 = 14$ удовлетворяет условию $x \neq -2$. Корень $x_2 = -2$ не удовлетворяет ОДЗ и является посторонним.

Ответ: $14$.

г) $\frac{x^2 - 3x}{x - 1} = \frac{5 - 3x}{1 - x}$

ОДЗ: $x - 1 \neq 0$ и $1 - x \neq 0$, что в обоих случаях дает $x \neq 1$.

Заметим, что $1 - x = -(x - 1)$. Преобразуем правую часть уравнения:

$\frac{5 - 3x}{1 - x} = \frac{5 - 3x}{-(x - 1)} = -\frac{5 - 3x}{x - 1} = \frac{3x - 5}{x - 1}$

Теперь уравнение имеет вид:

$\frac{x^2 - 3x}{x - 1} = \frac{3x - 5}{x - 1}$

Приравниваем числители:

$x^2 - 3x = 3x - 5$

$x^2 - 6x + 5 = 0$

По теореме Виета: сумма корней $x_1 + x_2 = 6$, произведение $x_1 \cdot x_2 = 5$. Отсюда $x_1 = 5$ и $x_2 = 1$.

Проверяем корни по ОДЗ. Корень $x_1 = 5$ удовлетворяет условию $x \neq 1$. Корень $x_2 = 1$ не удовлетворяет ОДЗ, значит, он посторонний.

Ответ: $5$.

д) $\frac{x^2 + 4x}{x - 1} = \frac{x - 6}{1 - x}$

ОДЗ: $x \neq 1$.

Преобразуем правую часть уравнения, используя $1 - x = -(x - 1)$:

$\frac{x - 6}{1 - x} = \frac{x - 6}{-(x - 1)} = -\frac{x - 6}{x - 1} = \frac{6 - x}{x - 1}$

Уравнение принимает вид:

$\frac{x^2 + 4x}{x - 1} = \frac{6 - x}{x - 1}$

Приравниваем числители:

$x^2 + 4x = 6 - x$

$x^2 + 5x - 6 = 0$

По теореме Виета: сумма корней $x_1 + x_2 = -5$, произведение $x_1 \cdot x_2 = -6$. Отсюда $x_1 = -6$ и $x_2 = 1$.

Проверяем корни по ОДЗ. Корень $x_1 = -6$ удовлетворяет условию $x \neq 1$. Корень $x_2 = 1$ не удовлетворяет ОДЗ и является посторонним.

Ответ: $-6$.

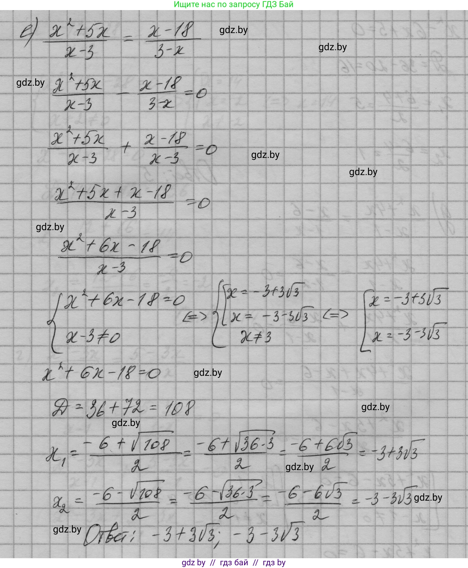
e) $\frac{x^2 + 5x}{x - 3} = \frac{x - 18}{3 - x}$

ОДЗ: $x \neq 3$.

Преобразуем правую часть уравнения, используя $3 - x = -(x - 3)$:

$\frac{x - 18}{3 - x} = \frac{x - 18}{-(x - 3)} = -\frac{x - 18}{x - 3} = \frac{18 - x}{x - 3}$

Уравнение принимает вид:

$\frac{x^2 + 5x}{x - 3} = \frac{18 - x}{x - 3}$

Приравниваем числители:

$x^2 + 5x = 18 - x$

$x^2 + 6x - 18 = 0$

Это квадратное уравнение решим через дискриминант $D = b^2 - 4ac$:

$D = 6^2 - 4 \cdot 1 \cdot (-18) = 36 + 72 = 108$

Корни находим по формуле $x = \frac{-b \pm \sqrt{D}}{2a}$:

$x = \frac{-6 \pm \sqrt{108}}{2} = \frac{-6 \pm \sqrt{36 \cdot 3}}{2} = \frac{-6 \pm 6\sqrt{3}}{2} = -3 \pm 3\sqrt{3}$

Получаем два корня: $x_1 = -3 + 3\sqrt{3}$ и $x_2 = -3 - 3\sqrt{3}$. Оба корня не равны 3 и удовлетворяют ОДЗ.

Ответ: $-3 - 3\sqrt{3}; -3 + 3\sqrt{3}$.

Помогло решение? Оставьте отзыв в комментариях ниже.

Присоединяйтесь к Телеграм-группе @gdz_by_belarus

Присоединиться

Мы подготовили для вас ответ c подробным объяснением домашего задания по алгебре за 7-9 класс, для упражнения номер 36.12 расположенного на странице 179 к сборнику задач 2020 года издания для учащихся школ и гимназий.

Теперь на нашем сайте ГДЗ.ТОП вы всегда легко и бесплатно найдёте условие с правильным ответом на вопрос «Как решить ДЗ» и «Как сделать» задание по алгебре к упражнению №36.12 (с. 179), авторов: Арефьева (Ирина Глебовна), Пирютко (Ольга Николаевна), учебного пособия издательства Народная асвета.