Номер 36.7, страница 179 - гдз по алгебре 7-9 класс сборник задач Арефьева, Пирютко

Алгебра, 7-9 класс Сборник задач, авторы: Арефьева Ирина Глебовна, Пирютко Ольга Николаевна, издательство Народная асвета, Минск, 2020

Авторы: Арефьева И. Г., Пирютко О. Н.

Тип: Сборник задач

Издательство: Народная асвета

Год издания: 2020 - 2025

Цвет обложки: синий с графиками

Допущено Министерством образования Республики Беларусь

Популярные ГДЗ в 7 классе

9 класс. Параграф 36. Дробно-рациональные уравнения - номер 36.7, страница 179.

№36.7 (с. 179)
Условие. №36.7 (с. 179)
скриншот условия
Алгебра, 7-9 класс Сборник задач, авторы: Арефьева Ирина Глебовна, Пирютко Ольга Николаевна, издательство Народная асвета, Минск, 2020, страница 179, номер 36.7, Условие

36.7. Решите уравнение:

а) $ \frac{x+2}{x-2} - \frac{x+1}{x-1} = 0; $

б) $ \frac{x-4}{x-5} - \frac{x+4}{x+3} = 0; $

В) $ \frac{3x+2}{x-3} + \frac{x-2}{x+4} = 0; $

Г) $ \frac{3x+2}{x-2} - \frac{3x-5}{x-1} = 0. $

Решение. №36.7 (с. 179)
Алгебра, 7-9 класс Сборник задач, авторы: Арефьева Ирина Глебовна, Пирютко Ольга Николаевна, издательство Народная асвета, Минск, 2020, страница 179, номер 36.7, Решение Алгебра, 7-9 класс Сборник задач, авторы: Арефьева Ирина Глебовна, Пирютко Ольга Николаевна, издательство Народная асвета, Минск, 2020, страница 179, номер 36.7, Решение (продолжение 2) Алгебра, 7-9 класс Сборник задач, авторы: Арефьева Ирина Глебовна, Пирютко Ольга Николаевна, издательство Народная асвета, Минск, 2020, страница 179, номер 36.7, Решение (продолжение 3)
Решение 2. №36.7 (с. 179)

а) $\frac{x+2}{x-2} - \frac{x+1}{x-1} = 0$

1. Найдем область допустимых значений (ОДЗ). Знаменатели не должны равняться нулю:
$x-2 \neq 0 \implies x \neq 2$
$x-1 \neq 0 \implies x \neq 1$
ОДЗ: $x \in (-\infty; 1) \cup (1; 2) \cup (2; +\infty)$.

2. Перенесем одну дробь в правую часть уравнения:
$\frac{x+2}{x-2} = \frac{x+1}{x-1}$

3. Воспользуемся свойством пропорции (перекрестное умножение):
$(x+2)(x-1) = (x+1)(x-2)$

4. Раскроем скобки в обеих частях уравнения:
$x^2 - x + 2x - 2 = x^2 - 2x + x - 2$
$x^2 + x - 2 = x^2 - x - 2$

5. Перенесем все члены с $x$ в левую часть, а числа — в правую:
$x^2 - x^2 + x + x = -2 + 2$
$2x = 0$
$x = 0$

6. Проверим, входит ли корень в ОДЗ. Корень $x=0$ удовлетворяет условиям $x \neq 1$ и $x \neq 2$.
Ответ: 0.

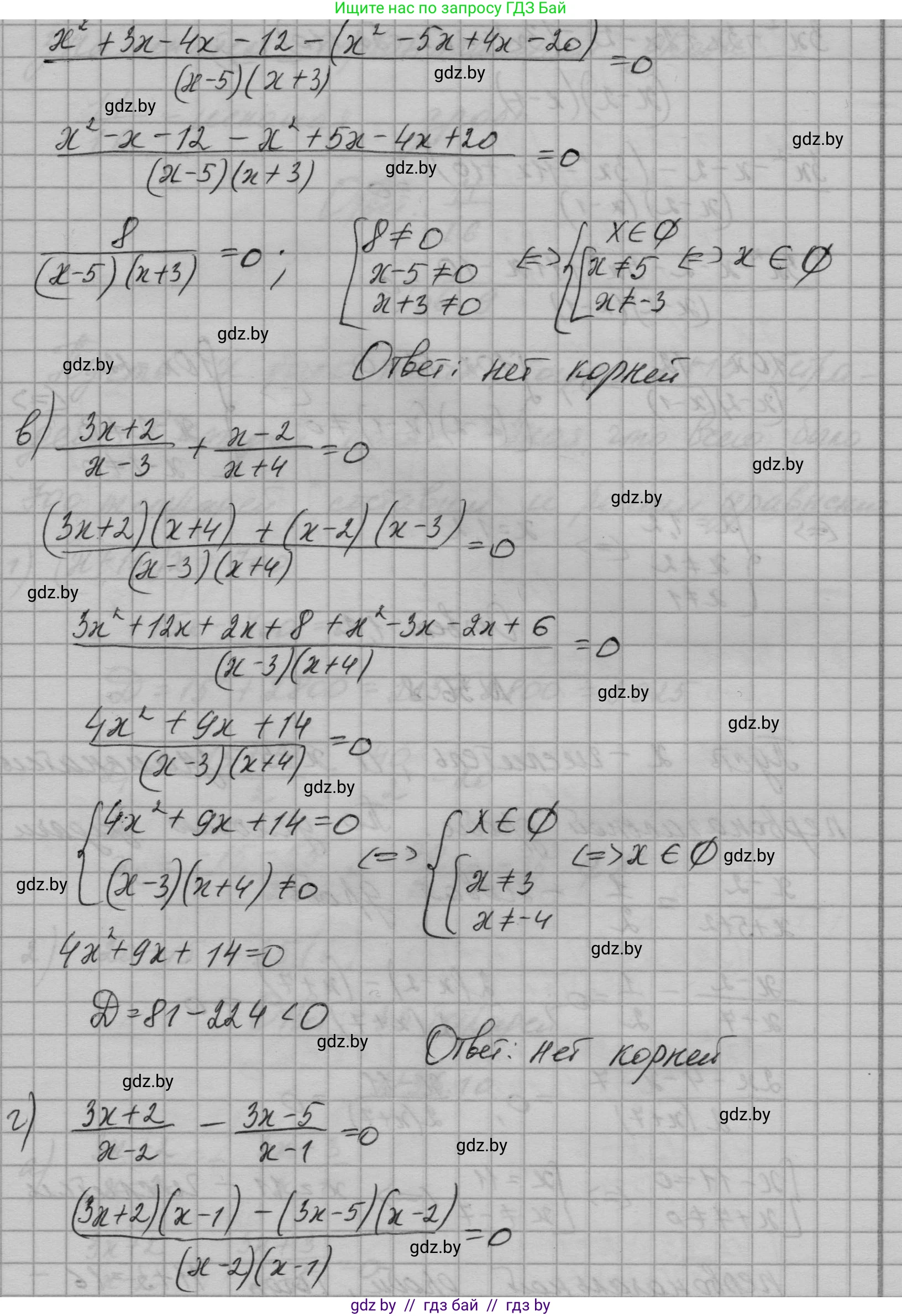
б) $\frac{x-4}{x-5} - \frac{x+4}{x+3} = 0$

1. Найдем ОДЗ:
$x-5 \neq 0 \implies x \neq 5$
$x+3 \neq 0 \implies x \neq -3$
ОДЗ: $x \in (-\infty; -3) \cup (-3; 5) \cup (5; +\infty)$.

2. Перенесем дробь в правую часть:
$\frac{x-4}{x-5} = \frac{x+4}{x+3}$

3. Применим перекрестное умножение:
$(x-4)(x+3) = (x+4)(x-5)$

4. Раскроем скобки:
$x^2 + 3x - 4x - 12 = x^2 - 5x + 4x - 20$
$x^2 - x - 12 = x^2 - x - 20$

5. Упростим уравнение:
$x^2 - x^2 - x + x = -20 + 12$
$0 = -8$

6. Получили неверное равенство, которое не зависит от $x$. Это означает, что уравнение не имеет решений.
Ответ: корней нет.

в) $\frac{3x+2}{x-3} + \frac{x-2}{x+4} = 0$

1. Найдем ОДЗ:
$x-3 \neq 0 \implies x \neq 3$
$x+4 \neq 0 \implies x \neq -4$
ОДЗ: $x \in (-\infty; -4) \cup (-4; 3) \cup (3; +\infty)$.

2. Приведем дроби к общему знаменателю $(x-3)(x+4)$:
$\frac{(3x+2)(x+4)}{(x-3)(x+4)} + \frac{(x-2)(x-3)}{(x-3)(x+4)} = 0$

3. Сложим дроби:
$\frac{(3x+2)(x+4) + (x-2)(x-3)}{(x-3)(x+4)} = 0$

4. Дробь равна нулю, когда ее числитель равен нулю, а знаменатель не равен нулю. Приравняем числитель к нулю:
$(3x+2)(x+4) + (x-2)(x-3) = 0$

5. Раскроем скобки и приведем подобные слагаемые:
$(3x^2 + 12x + 2x + 8) + (x^2 - 3x - 2x + 6) = 0$
$3x^2 + 14x + 8 + x^2 - 5x + 6 = 0$
$4x^2 + 9x + 14 = 0$

6. Решим полученное квадратное уравнение. Найдем дискриминант $D = b^2 - 4ac$:
$a=4$, $b=9$, $c=14$
$D = 9^2 - 4 \cdot 4 \cdot 14 = 81 - 224 = -143$

7. Так как дискриминант $D < 0$, квадратное уравнение не имеет действительных корней. Следовательно, и исходное уравнение не имеет решений.
Ответ: корней нет.

г) $\frac{3x+2}{x-2} - \frac{3x-5}{x-1} = 0$

1. Найдем ОДЗ:
$x-2 \neq 0 \implies x \neq 2$
$x-1 \neq 0 \implies x \neq 1$
ОДЗ: $x \in (-\infty; 1) \cup (1; 2) \cup (2; +\infty)$.

2. Перенесем дробь в правую часть:
$\frac{3x+2}{x-2} = \frac{3x-5}{x-1}$

3. Используем перекрестное умножение:
$(3x+2)(x-1) = (3x-5)(x-2)$

4. Раскроем скобки:
$3x^2 - 3x + 2x - 2 = 3x^2 - 6x - 5x + 10$
$3x^2 - x - 2 = 3x^2 - 11x + 10$

5. Перенесем все члены в левую часть и упростим:
$3x^2 - 3x^2 - x + 11x - 2 - 10 = 0$
$10x - 12 = 0$

6. Решим полученное линейное уравнение:
$10x = 12$
$x = \frac{12}{10} = \frac{6}{5} = 1.2$

7. Проверим, входит ли корень в ОДЗ. Корень $x=1.2$ удовлетворяет условиям $x \neq 1$ и $x \neq 2$.
Ответ: 1,2.

Помогло решение? Оставьте отзыв в комментариях ниже.

Присоединяйтесь к Телеграм-группе @gdz_by_belarus

Присоединиться

Мы подготовили для вас ответ c подробным объяснением домашего задания по алгебре за 7-9 класс, для упражнения номер 36.7 расположенного на странице 179 к сборнику задач 2020 года издания для учащихся школ и гимназий.

Теперь на нашем сайте ГДЗ.ТОП вы всегда легко и бесплатно найдёте условие с правильным ответом на вопрос «Как решить ДЗ» и «Как сделать» задание по алгебре к упражнению №36.7 (с. 179), авторов: Арефьева (Ирина Глебовна), Пирютко (Ольга Николаевна), учебного пособия издательства Народная асвета.