Номер 36.4, страница 178 - гдз по алгебре 7-9 класс сборник задач Арефьева, Пирютко

Алгебра, 7-9 класс Сборник задач, авторы: Арефьева Ирина Глебовна, Пирютко Ольга Николаевна, издательство Народная асвета, Минск, 2020

Авторы: Арефьева И. Г., Пирютко О. Н.

Тип: Сборник задач

Издательство: Народная асвета

Год издания: 2020 - 2025

Цвет обложки: синий с графиками

Допущено Министерством образования Республики Беларусь

Популярные ГДЗ в 7 классе

9 класс. Параграф 36. Дробно-рациональные уравнения - номер 36.4, страница 178.

№36.4 (с. 178)
Условие. №36.4 (с. 178)
скриншот условия
Алгебра, 7-9 класс Сборник задач, авторы: Арефьева Ирина Глебовна, Пирютко Ольга Николаевна, издательство Народная асвета, Минск, 2020, страница 178, номер 36.4, Условие

36.4. Решите уравнение:

а) $\frac{3x - 7}{x - 2} = 0;$

б) $\frac{3x + 9}{x - 3} = 0;$

в) $\frac{3x - 7,2}{x - 2,5} = 0;$

г) $\frac{3x - 9,6}{x - 3,2} = 0;$

д) $\frac{x^2 - 5}{x - \sqrt{5}} = 0;$

е) $\frac{x^2 - 3}{x + \sqrt{3}} = 0;$

ж) $\frac{x^2 - 6x}{x + 6} = 0;$

з) $\frac{3x^2 + 3x}{x + 1} = 0;$

и) $\frac{7x^2 - x}{x} = 0.$

Решение. №36.4 (с. 178)
Алгебра, 7-9 класс Сборник задач, авторы: Арефьева Ирина Глебовна, Пирютко Ольга Николаевна, издательство Народная асвета, Минск, 2020, страница 178, номер 36.4, Решение Алгебра, 7-9 класс Сборник задач, авторы: Арефьева Ирина Глебовна, Пирютко Ольга Николаевна, издательство Народная асвета, Минск, 2020, страница 178, номер 36.4, Решение (продолжение 2) Алгебра, 7-9 класс Сборник задач, авторы: Арефьева Ирина Глебовна, Пирютко Ольга Николаевна, издательство Народная асвета, Минск, 2020, страница 178, номер 36.4, Решение (продолжение 3) Алгебра, 7-9 класс Сборник задач, авторы: Арефьева Ирина Глебовна, Пирютко Ольга Николаевна, издательство Народная асвета, Минск, 2020, страница 178, номер 36.4, Решение (продолжение 4)
Решение 2. №36.4 (с. 178)

а)

Дробь равна нулю тогда и только тогда, когда ее числитель равен нулю, а знаменатель не равен нулю.
Исходное уравнение: $\frac{3x - 7}{x - 2} = 0$.

Это уравнение равносильно системе:
$\begin{cases} 3x - 7 = 0, \\ x - 2 \neq 0. \end{cases}$

Решим первое уравнение системы:
$3x - 7 = 0$
$3x = 7$
$x = \frac{7}{3}$

Проверим, удовлетворяет ли найденный корень второму условию системы:
$x \neq 2$
Так как $\frac{7}{3} = 2\frac{1}{3}$, то $\frac{7}{3} \neq 2$. Условие выполняется.

Ответ: $x = \frac{7}{3}$.

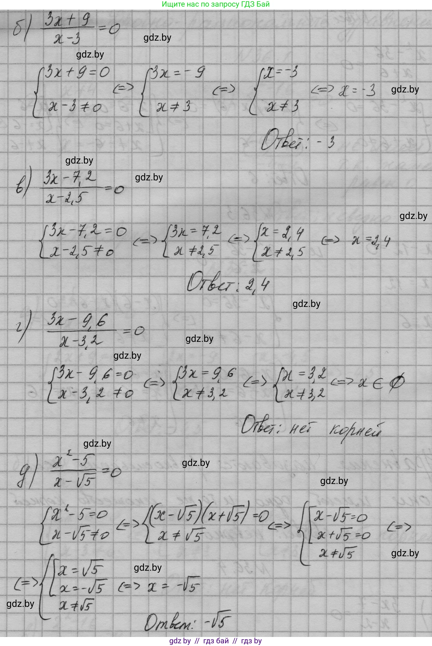
б)

Исходное уравнение: $\frac{3x + 9}{x - 3} = 0$.

Уравнение равносильно системе:
$\begin{cases} 3x + 9 = 0, \\ x - 3 \neq 0. \end{cases}$

Решим первое уравнение системы:
$3x = -9$
$x = -3$

Проверим второе условие: $x \neq 3$.
Так как $-3 \neq 3$, корень $x = -3$ является решением.
Ответ: $x = -3$.

в)

Исходное уравнение: $\frac{3x - 7,2}{x - 2,5} = 0$.

Уравнение равносильно системе:
$\begin{cases} 3x - 7,2 = 0, \\ x - 2,5 \neq 0. \end{cases}$

Решим первое уравнение системы:
$3x = 7,2$
$x = \frac{7,2}{3}$
$x = 2,4$

Проверим второе условие: $x \neq 2,5$.
Так как $2,4 \neq 2,5$, корень $x = 2,4$ является решением.
Ответ: $x = 2,4$.

г)

Исходное уравнение: $\frac{3x - 9,6}{x - 3,2} = 0$.

Уравнение равносильно системе:
$\begin{cases} 3x - 9,6 = 0, \\ x - 3,2 \neq 0. \end{cases}$

Решим первое уравнение системы:
$3x = 9,6$
$x = \frac{9,6}{3}$
$x = 3,2$

Проверим второе условие: $x \neq 3,2$.
Найденный корень $x = 3,2$ не удовлетворяет условию $x \neq 3,2$. Следовательно, это посторонний корень, и уравнение не имеет решений.
Ответ: корней нет.

д)

Исходное уравнение: $\frac{x^2 - 5}{x - \sqrt{5}} = 0$.

Уравнение равносильно системе:
$\begin{cases} x^2 - 5 = 0, \\ x - \sqrt{5} \neq 0. \end{cases}$

Решим первое уравнение системы:
$x^2 = 5$
$x_1 = \sqrt{5}$, $x_2 = -\sqrt{5}$

Проверим второе условие: $x \neq \sqrt{5}$.
Корень $x_1 = \sqrt{5}$ не удовлетворяет этому условию, поэтому он является посторонним.
Корень $x_2 = -\sqrt{5}$ удовлетворяет условию, так как $-\sqrt{5} \neq \sqrt{5}$.
Ответ: $x = -\sqrt{5}$.

е)

Исходное уравнение: $\frac{x^2 - 3}{x + \sqrt{3}} = 0$.

Уравнение равносильно системе:
$\begin{cases} x^2 - 3 = 0, \\ x + \sqrt{3} \neq 0. \end{cases}$

Решим первое уравнение системы:
$x^2 = 3$
$x_1 = \sqrt{3}$, $x_2 = -\sqrt{3}$

Проверим второе условие: $x \neq -\sqrt{3}$.
Корень $x_2 = -\sqrt{3}$ не удовлетворяет этому условию, поэтому он является посторонним.
Корень $x_1 = \sqrt{3}$ удовлетворяет условию, так как $\sqrt{3} \neq -\sqrt{3}$.
Ответ: $x = \sqrt{3}$.

ж)

Исходное уравнение: $\frac{x^2 - 6x}{x + 6} = 0$.

Уравнение равносильно системе:
$\begin{cases} x^2 - 6x = 0, \\ x + 6 \neq 0. \end{cases}$

Решим первое уравнение системы:
$x(x - 6) = 0$
$x_1 = 0$ или $x_2 = 6$

Проверим второе условие: $x \neq -6$.
Оба корня, $x_1 = 0$ и $x_2 = 6$, удовлетворяют условию $x \neq -6$.
Ответ: $x_1 = 0, x_2 = 6$.

з)

Исходное уравнение: $\frac{3x^2 + 3x}{x + 1} = 0$.

Уравнение равносильно системе:
$\begin{cases} 3x^2 + 3x = 0, \\ x + 1 \neq 0. \end{cases}$

Решим первое уравнение системы:
$3x(x + 1) = 0$
$x_1 = 0$ или $x_2 = -1$

Проверим второе условие: $x \neq -1$.
Корень $x_2 = -1$ не удовлетворяет этому условию, поэтому он является посторонним.
Корень $x_1 = 0$ удовлетворяет условию, так как $0 \neq -1$.
Ответ: $x = 0$.

и)

Исходное уравнение: $\frac{7x^2 - x}{x} = 0$.

Уравнение равносильно системе:
$\begin{cases} 7x^2 - x = 0, \\ x \neq 0. \end{cases}$

Решим первое уравнение системы:
$x(7x - 1) = 0$
$x_1 = 0$ или $7x - 1 = 0 \Rightarrow x_2 = \frac{1}{7}$

Проверим второе условие: $x \neq 0$.
Корень $x_1 = 0$ не удовлетворяет этому условию, поэтому он является посторонним.
Корень $x_2 = \frac{1}{7}$ удовлетворяет условию, так как $\frac{1}{7} \neq 0$.
Ответ: $x = \frac{1}{7}$.

Помогло решение? Оставьте отзыв в комментариях ниже.

Присоединяйтесь к Телеграм-группе @gdz_by_belarus

Присоединиться

Мы подготовили для вас ответ c подробным объяснением домашего задания по алгебре за 7-9 класс, для упражнения номер 36.4 расположенного на странице 178 к сборнику задач 2020 года издания для учащихся школ и гимназий.

Теперь на нашем сайте ГДЗ.ТОП вы всегда легко и бесплатно найдёте условие с правильным ответом на вопрос «Как решить ДЗ» и «Как сделать» задание по алгебре к упражнению №36.4 (с. 178), авторов: Арефьева (Ирина Глебовна), Пирютко (Ольга Николаевна), учебного пособия издательства Народная асвета.