Номер 35.38, страница 177 - гдз по алгебре 7-9 класс сборник задач Арефьева, Пирютко
Авторы: Арефьева И. Г., Пирютко О. Н.
Тип: Сборник задач
Издательство: Народная асвета
Год издания: 2020 - 2025
Цвет обложки: синий с графиками
Допущено Министерством образования Республики Беларусь
Популярные ГДЗ в 7 классе
9 класс. Параграф 35. Функции - номер 35.38, страница 177.
№35.38 (с. 177)
Условие. №35.38 (с. 177)
скриншот условия
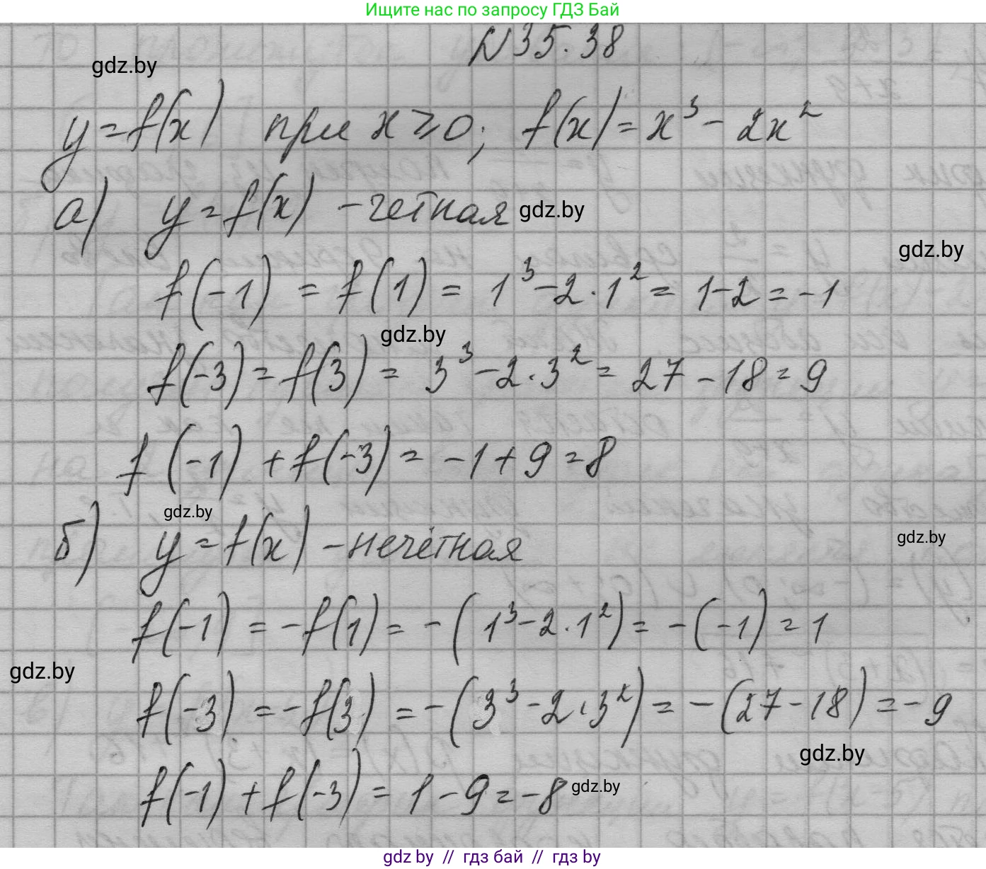
35.38. Найдите значение выражения $f(-1) + f(-3)$, если функция $y = f(x)$ при $x \ge 0$ задана формулой $f(x) = x^3 - 2x^2$ и является:
а) четной;
б) нечетной.
Решение. №35.38 (с. 177)
Решение 2. №35.38 (с. 177)
По условию задачи, функция $y=f(x)$ при $x \ge 0$ задана формулой $f(x) = x^3 - 2x^2$. Нам нужно найти значение выражения $f(-1) + f(-3)$. Для этого нам понадобятся значения функции для $x=1$ и $x=3$, так как $1 > 0$ и $3 > 0$.
Вычислим значения $f(1)$ и $f(3)$ по заданной формуле:
$f(1) = 1^3 - 2 \cdot 1^2 = 1 - 2 \cdot 1 = 1 - 2 = -1$
$f(3) = 3^3 - 2 \cdot 3^2 = 27 - 2 \cdot 9 = 27 - 18 = 9$
Теперь рассмотрим два случая, в зависимости от четности функции.
а) Если функция $f(x)$ является четной, то по определению четной функции для любого $x$ из области определения выполняется равенство $f(-x) = f(x)$.
Следовательно, мы можем найти значения $f(-1)$ и $f(-3)$:
$f(-1) = f(1) = -1$
$f(-3) = f(3) = 9$
Теперь вычислим значение искомого выражения:
$f(-1) + f(-3) = -1 + 9 = 8$
Ответ: 8
б) Если функция $f(x)$ является нечетной, то по определению нечетной функции для любого $x$ из области определения выполняется равенство $f(-x) = -f(x)$.
Следовательно, мы можем найти значения $f(-1)$ и $f(-3)$:
$f(-1) = -f(1) = -(-1) = 1$
$f(-3) = -f(3) = -9$
Теперь вычислим значение искомого выражения:
$f(-1) + f(-3) = 1 + (-9) = 1 - 9 = -8$
Ответ: -8
Другие задания:
Помогло решение? Оставьте отзыв в комментариях ниже.
Присоединяйтесь к Телеграм-группе @gdz_by_belarus
ПрисоединитьсяМы подготовили для вас ответ c подробным объяснением домашего задания по алгебре за 7-9 класс, для упражнения номер 35.38 расположенного на странице 177 к сборнику задач 2020 года издания для учащихся школ и гимназий.
Теперь на нашем сайте ГДЗ.ТОП вы всегда легко и бесплатно найдёте условие с правильным ответом на вопрос «Как решить ДЗ» и «Как сделать» задание по алгебре к упражнению №35.38 (с. 177), авторов: Арефьева (Ирина Глебовна), Пирютко (Ольга Николаевна), учебного пособия издательства Народная асвета.