Номер 36.5, страница 178 - гдз по алгебре 7-9 класс сборник задач Арефьева, Пирютко

Алгебра, 7-9 класс Сборник задач, авторы: Арефьева Ирина Глебовна, Пирютко Ольга Николаевна, издательство Народная асвета, Минск, 2020

Авторы: Арефьева И. Г., Пирютко О. Н.

Тип: Сборник задач

Издательство: Народная асвета

Год издания: 2020 - 2025

Цвет обложки: синий с графиками

Допущено Министерством образования Республики Беларусь

Популярные ГДЗ в 7 классе

9 класс. Параграф 36. Дробно-рациональные уравнения - номер 36.5, страница 178.

№36.5 (с. 178)
Условие. №36.5 (с. 178)
скриншот условия
Алгебра, 7-9 класс Сборник задач, авторы: Арефьева Ирина Глебовна, Пирютко Ольга Николаевна, издательство Народная асвета, Минск, 2020, страница 178, номер 36.5, Условие

36.5. Найдите все корни уравнения:

a) $ \frac{x^2 - 3x + 2}{x - 2} = 0; $

б) $ \frac{x^2 - 4x + 3}{x - 1} = 0; $

в) $ \frac{x - 10}{x^2 - 11x + 10} = 0; $

г) $ \frac{x^2 - 3x + 2}{x^2 - 4} = 0; $

д) $ \frac{x^2 - 4x + 3}{x^2 - 9} = 0; $

е) $ \frac{x^2 - 16}{x^2 - 3x - 4} = 0; $

ж) $ \frac{2x^2 - 5x - 3}{x^2 - 3x} = 0; $

з) $ \frac{2x^2 - 5x - 7}{x^2 - 3.5x} = 0; $

и) $ \frac{x^2 - 2x - 3}{x^2 - 3x - 4} = 0; $

к) $ \frac{x^2 + 2x - 8}{x^2 + x - 12} = 0; $

л) $ \frac{2x^2 - 5x + 3}{x^2 - 3x + 2} = 0; $

м) $ \frac{2x^2 + 5x - 3}{x^2 + 2.5x - 1.5} = 0. $

Решение. №36.5 (с. 178)
Алгебра, 7-9 класс Сборник задач, авторы: Арефьева Ирина Глебовна, Пирютко Ольга Николаевна, издательство Народная асвета, Минск, 2020, страница 178, номер 36.5, Решение Алгебра, 7-9 класс Сборник задач, авторы: Арефьева Ирина Глебовна, Пирютко Ольга Николаевна, издательство Народная асвета, Минск, 2020, страница 178, номер 36.5, Решение (продолжение 2) Алгебра, 7-9 класс Сборник задач, авторы: Арефьева Ирина Глебовна, Пирютко Ольга Николаевна, издательство Народная асвета, Минск, 2020, страница 178, номер 36.5, Решение (продолжение 3) Алгебра, 7-9 класс Сборник задач, авторы: Арефьева Ирина Глебовна, Пирютко Ольга Николаевна, издательство Народная асвета, Минск, 2020, страница 178, номер 36.5, Решение (продолжение 4) Алгебра, 7-9 класс Сборник задач, авторы: Арефьева Ирина Глебовна, Пирютко Ольга Николаевна, издательство Народная асвета, Минск, 2020, страница 178, номер 36.5, Решение (продолжение 5) Алгебра, 7-9 класс Сборник задач, авторы: Арефьева Ирина Глебовна, Пирютко Ольга Николаевна, издательство Народная асвета, Минск, 2020, страница 178, номер 36.5, Решение (продолжение 6)
Решение 2. №36.5 (с. 178)

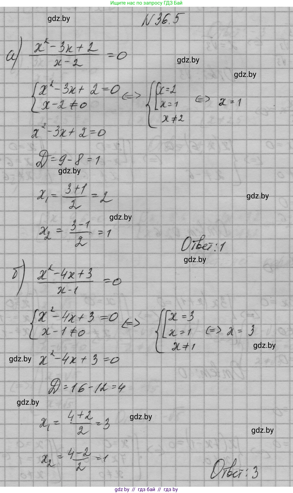
а) Дробь равна нулю, когда ее числитель равен нулю, а знаменатель не равен нулю.
Приравняем числитель к нулю:
$x^2 - 3x + 2 = 0$
По теореме Виета, корни уравнения: $x_1 = 1$, $x_2 = 2$.
Теперь найдем область допустимых значений (ОДЗ), приравняв знаменатель к нулю и исключив эти значения:
$x - 2 \neq 0$
$x \neq 2$
Сравнивая корни числителя с ОДЗ, видим, что корень $x = 2$ не подходит, так как он обращает знаменатель в ноль.
Следовательно, у уравнения только один корень.
Ответ: 1.

б) Приравниваем числитель к нулю:
$x^2 - 4x + 3 = 0$
По теореме Виета, корни уравнения: $x_1 = 1$, $x_2 = 3$.
Находим ОДЗ:
$x - 1 \neq 0$
$x \neq 1$
Корень $x = 1$ не входит в ОДЗ, поэтому он является посторонним.
Ответ: 3.

в) Приравниваем числитель к нулю:
$x - 10 = 0$
$x = 10$
Находим ОДЗ, решая уравнение $x^2 - 11x + 10 = 0$:
По теореме Виета, корни: $x_1 = 1$, $x_2 = 10$.
Значит, ОДЗ: $x \neq 1$ и $x \neq 10$.
Единственный корень числителя $x = 10$ не удовлетворяет ОДЗ.
Ответ: корней нет.

г) Приравниваем числитель к нулю:
$x^2 - 3x + 2 = 0$
Корни: $x_1 = 1$, $x_2 = 2$.
Находим ОДЗ:
$x^2 - 4 \neq 0$
$x^2 \neq 4$
$x \neq 2$ и $x \neq -2$.
Корень $x = 2$ не удовлетворяет ОДЗ.
Ответ: 1.

д) Приравниваем числитель к нулю:
$x^2 - 4x + 3 = 0$
Корни: $x_1 = 1$, $x_2 = 3$.
Находим ОДЗ:
$x^2 - 9 \neq 0$
$x^2 \neq 9$
$x \neq 3$ и $x \neq -3$.
Корень $x = 3$ не удовлетворяет ОДЗ.
Ответ: 1.

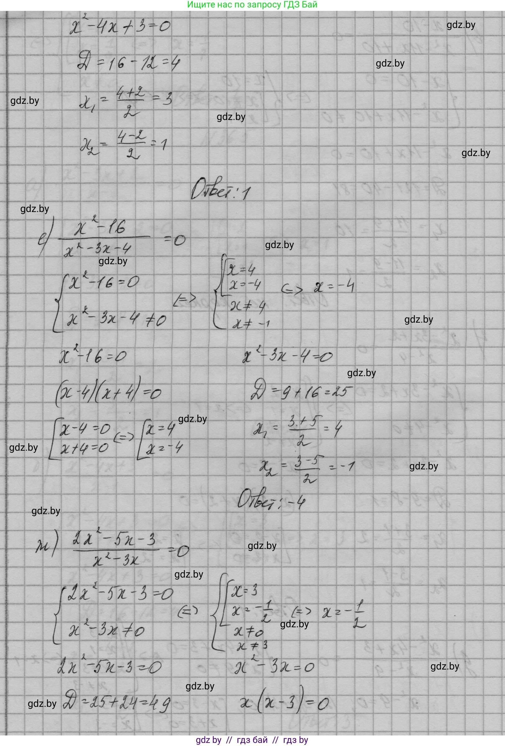
е) Приравниваем числитель к нулю:
$x^2 - 16 = 0$
$x^2 = 16$
$x_1 = 4$, $x_2 = -4$.
Находим ОДЗ, решая $x^2 - 3x - 4 = 0$:
По теореме Виета, корни: $x_1 = 4$, $x_2 = -1$.
Значит, ОДЗ: $x \neq 4$ и $x \neq -1$.
Корень $x = 4$ не удовлетворяет ОДЗ.
Ответ: -4.

ж) Приравниваем числитель к нулю:
$2x^2 - 5x - 3 = 0$
$D = (-5)^2 - 4 \cdot 2 \cdot (-3) = 25 + 24 = 49 = 7^2$
$x_{1,2} = \frac{5 \pm 7}{4}$
$x_1 = \frac{12}{4} = 3$, $x_2 = \frac{-2}{4} = -0,5$.
Находим ОДЗ:
$x^2 - 3x \neq 0$
$x(x - 3) \neq 0$
$x \neq 0$ и $x \neq 3$.
Корень $x = 3$ не удовлетворяет ОДЗ.
Ответ: -0,5.

з) Приравниваем числитель к нулю:
$2x^2 - 5x - 7 = 0$
$D = (-5)^2 - 4 \cdot 2 \cdot (-7) = 25 + 56 = 81 = 9^2$
$x_{1,2} = \frac{5 \pm 9}{4}$
$x_1 = \frac{14}{4} = 3,5$, $x_2 = \frac{-4}{4} = -1$.
Находим ОДЗ:
$x^2 - 3,5x \neq 0$
$x(x - 3,5) \neq 0$
$x \neq 0$ и $x \neq 3,5$.
Корень $x = 3,5$ не удовлетворяет ОДЗ.
Ответ: -1.

и) Приравниваем числитель к нулю:
$x^2 - 2x - 3 = 0$
По теореме Виета, корни: $x_1 = 3$, $x_2 = -1$.
Находим ОДЗ, решая $x^2 - 3x - 4 = 0$:
По теореме Виета, корни: $x_1 = 4$, $x_2 = -1$.
Значит, ОДЗ: $x \neq 4$ и $x \neq -1$.
Корень $x = -1$ не удовлетворяет ОДЗ.
Ответ: 3.

к) Приравниваем числитель к нулю:
$x^2 + 2x - 8 = 0$
По теореме Виета, корни: $x_1 = -4$, $x_2 = 2$.
Находим ОДЗ, решая $x^2 + x - 12 = 0$:
По теореме Виета, корни: $x_1 = -4$, $x_2 = 3$.
Значит, ОДЗ: $x \neq -4$ и $x \neq 3$.
Корень $x = -4$ не удовлетворяет ОДЗ.
Ответ: 2.

л) Приравниваем числитель к нулю:
$2x^2 - 5x + 3 = 0$
$D = (-5)^2 - 4 \cdot 2 \cdot 3 = 25 - 24 = 1$
$x_{1,2} = \frac{5 \pm 1}{4}$
$x_1 = \frac{6}{4} = 1,5$, $x_2 = \frac{4}{4} = 1$.
Находим ОДЗ, решая $x^2 - 3x + 2 = 0$:
По теореме Виета, корни: $x_1 = 1$, $x_2 = 2$.
Значит, ОДЗ: $x \neq 1$ и $x \neq 2$.
Корень $x = 1$ не удовлетворяет ОДЗ.
Ответ: 1,5.

м) Приравниваем числитель к нулю:
$2x^2 + 5x - 3 = 0$
$D = 5^2 - 4 \cdot 2 \cdot (-3) = 25 + 24 = 49 = 7^2$
$x_{1,2} = \frac{-5 \pm 7}{4}$
$x_1 = \frac{2}{4} = 0,5$, $x_2 = \frac{-12}{4} = -3$.
Находим ОДЗ, решая $x^2 + 2,5x - 1,5 = 0$. Умножим на 2 для удобства: $2x^2 + 5x - 3 = 0$.
Это то же самое уравнение, что и в числителе, его корни $x_1 = 0,5$ и $x_2 = -3$.
Значит, ОДЗ: $x \neq 0,5$ и $x \neq -3$.
Оба корня числителя ($0,5$ и $-3$) не удовлетворяют ОДЗ.
Ответ: корней нет.

Помогло решение? Оставьте отзыв в комментариях ниже.

Присоединяйтесь к Телеграм-группе @gdz_by_belarus

Присоединиться

Мы подготовили для вас ответ c подробным объяснением домашего задания по алгебре за 7-9 класс, для упражнения номер 36.5 расположенного на странице 178 к сборнику задач 2020 года издания для учащихся школ и гимназий.

Теперь на нашем сайте ГДЗ.ТОП вы всегда легко и бесплатно найдёте условие с правильным ответом на вопрос «Как решить ДЗ» и «Как сделать» задание по алгебре к упражнению №36.5 (с. 178), авторов: Арефьева (Ирина Глебовна), Пирютко (Ольга Николаевна), учебного пособия издательства Народная асвета.