Номер 36.40, страница 183 - гдз по алгебре 7-9 класс сборник задач Арефьева, Пирютко

Алгебра, 7-9 класс Сборник задач, авторы: Арефьева Ирина Глебовна, Пирютко Ольга Николаевна, издательство Народная асвета, Минск, 2020

Авторы: Арефьева И. Г., Пирютко О. Н.

Тип: Сборник задач

Издательство: Народная асвета

Год издания: 2020 - 2025

Цвет обложки: синий с графиками

Допущено Министерством образования Республики Беларусь

Популярные ГДЗ в 7 классе

9 класс. Параграф 36. Дробно-рациональные уравнения - номер 36.40, страница 183.

№36.40 (с. 183)
Условие. №36.40 (с. 183)
скриншот условия
Алгебра, 7-9 класс Сборник задач, авторы: Арефьева Ирина Глебовна, Пирютко Ольга Николаевна, издательство Народная асвета, Минск, 2020, страница 183, номер 36.40, Условие

36.40*. Решите уравнение:

а) $\frac{x^2 - 4x + 1}{x - 2 - \sqrt{3}} = 0;$

б) $\frac{2x^2 + 4x + 1}{2x + 2 + \sqrt{2}} = 0;$

в) $\frac{x^2 - 3|x|}{x} = 0;$

г) $\frac{x^2 + |x|}{x} = 0;$

д) $\frac{|x + 4| - |x - 4|}{x} = 0;$

е) $\frac{|x - 2| + |x - 4|}{x - 2} = 0.$

Решение. №36.40 (с. 183)
Алгебра, 7-9 класс Сборник задач, авторы: Арефьева Ирина Глебовна, Пирютко Ольга Николаевна, издательство Народная асвета, Минск, 2020, страница 183, номер 36.40, Решение Алгебра, 7-9 класс Сборник задач, авторы: Арефьева Ирина Глебовна, Пирютко Ольга Николаевна, издательство Народная асвета, Минск, 2020, страница 183, номер 36.40, Решение (продолжение 2) Алгебра, 7-9 класс Сборник задач, авторы: Арефьева Ирина Глебовна, Пирютко Ольга Николаевна, издательство Народная асвета, Минск, 2020, страница 183, номер 36.40, Решение (продолжение 3) Алгебра, 7-9 класс Сборник задач, авторы: Арефьева Ирина Глебовна, Пирютко Ольга Николаевна, издательство Народная асвета, Минск, 2020, страница 183, номер 36.40, Решение (продолжение 4) Алгебра, 7-9 класс Сборник задач, авторы: Арефьева Ирина Глебовна, Пирютко Ольга Николаевна, издательство Народная асвета, Минск, 2020, страница 183, номер 36.40, Решение (продолжение 5)
Решение 2. №36.40 (с. 183)

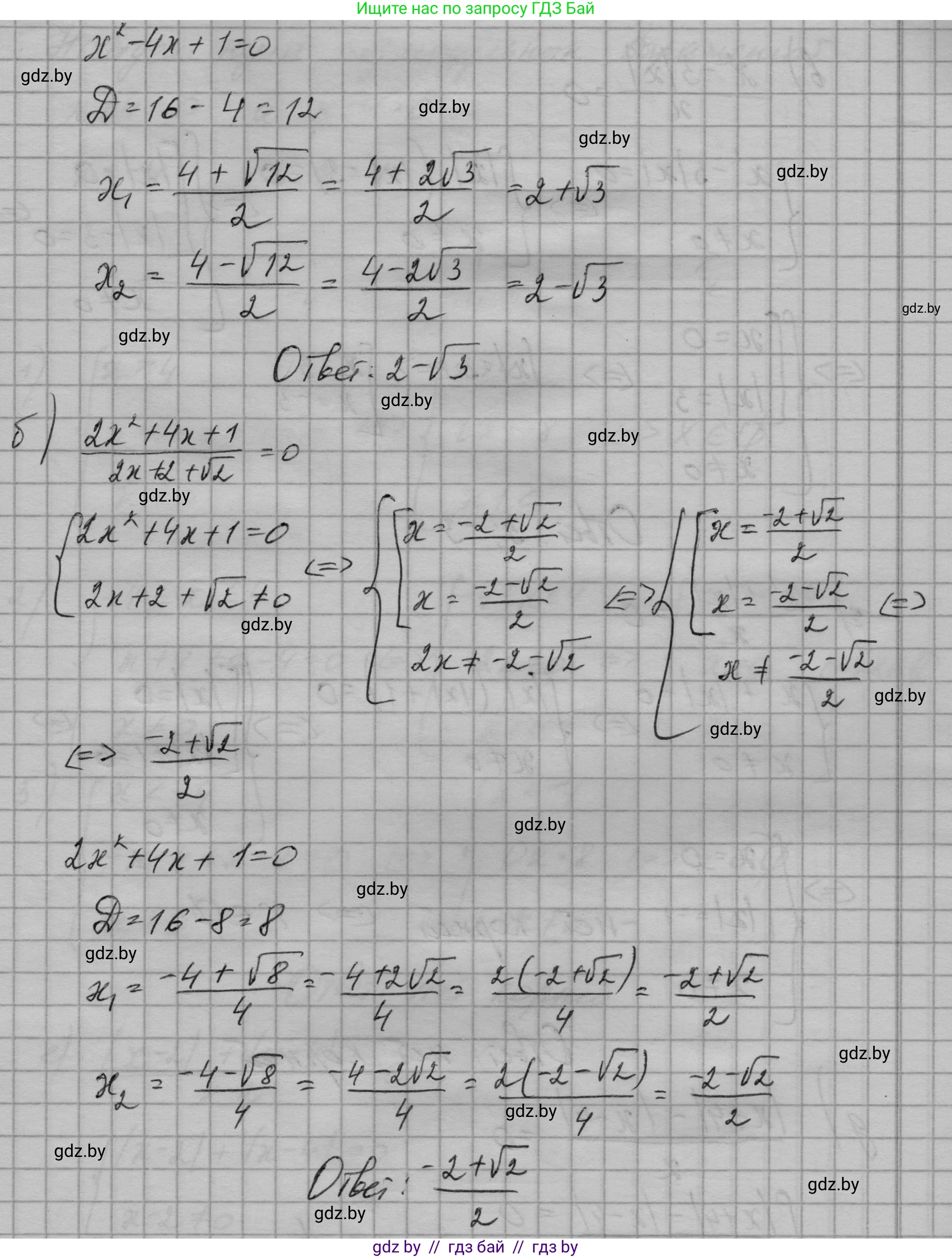
а) Дробь равна нулю тогда и только тогда, когда ее числитель равен нулю, а знаменатель не равен нулю. Запишем это в виде системы:

$ \begin{cases} x^2 - 4x + 1 = 0, \\ x - 2 - \sqrt{3} \neq 0. \end{cases} $

Решим квадратное уравнение $x^2 - 4x + 1 = 0$.
Дискриминант $D = b^2 - 4ac = (-4)^2 - 4 \cdot 1 \cdot 1 = 16 - 4 = 12$.
Корни уравнения: $x_{1,2} = \frac{-b \pm \sqrt{D}}{2a} = \frac{4 \pm \sqrt{12}}{2} = \frac{4 \pm 2\sqrt{3}}{2} = 2 \pm \sqrt{3}$.
Получаем два корня: $x_1 = 2 + \sqrt{3}$ и $x_2 = 2 - \sqrt{3}$.

Теперь учтем условие, что знаменатель не равен нулю: $x - 2 - \sqrt{3} \neq 0$, откуда $x \neq 2 + \sqrt{3}$.

Сравнивая найденные корни с этим ограничением, видим, что корень $x_1 = 2 + \sqrt{3}$ является посторонним. Корень $x_2 = 2 - \sqrt{3}$ удовлетворяет условию, так как $2 - \sqrt{3} \neq 2 + \sqrt{3}$.

Ответ: $2 - \sqrt{3}$.

б) Уравнение равносильно системе:

$ \begin{cases} 2x^2 + 4x + 1 = 0, \\ 2x + 2 + \sqrt{2} \neq 0. \end{cases} $

Решим уравнение числителя $2x^2 + 4x + 1 = 0$.
Дискриминант $D = b^2 - 4ac = 4^2 - 4 \cdot 2 \cdot 1 = 16 - 8 = 8$.
Корни уравнения: $x_{1,2} = \frac{-b \pm \sqrt{D}}{2a} = \frac{-4 \pm \sqrt{8}}{2 \cdot 2} = \frac{-4 \pm 2\sqrt{2}}{4} = \frac{-2 \pm \sqrt{2}}{2} = -1 \pm \frac{\sqrt{2}}{2}$.
Получаем два корня: $x_1 = -1 + \frac{\sqrt{2}}{2}$ и $x_2 = -1 - \frac{\sqrt{2}}{2}$.

Проверим условие для знаменателя: $2x + 2 + \sqrt{2} \neq 0$, откуда $2x \neq -2 - \sqrt{2}$, то есть $x \neq \frac{-2 - \sqrt{2}}{2} = -1 - \frac{\sqrt{2}}{2}$.

Корень $x_2 = -1 - \frac{\sqrt{2}}{2}$ является посторонним. Корень $x_1 = -1 + \frac{\sqrt{2}}{2}$ удовлетворяет условию.

Ответ: $-1 + \frac{\sqrt{2}}{2}$.

в) Уравнение равносильно системе:

$ \begin{cases} x^2 - 3|x| = 0, \\ x \neq 0. \end{cases} $

Решим уравнение числителя. Так как $x^2 = |x|^2$, уравнение можно переписать в виде $|x|^2 - 3|x| = 0$.
Вынесем $|x|$ за скобки: $|x|(|x| - 3) = 0$.
Произведение равно нулю, если один из множителей равен нулю:
$|x| = 0$ или $|x| - 3 = 0$.
Из $|x| = 0$ следует $x = 0$.
Из $|x| = 3$ следует $x = 3$ или $x = -3$.

Учитывая условие $x \neq 0$, корень $x=0$ является посторонним. Остаются два решения.

Ответ: $-3; 3$.

г) Уравнение равносильно системе:

$ \begin{cases} x^2 + |x| = 0, \\ x \neq 0. \end{cases} $

Рассмотрим уравнение числителя: $x^2 + |x| = 0$.
Поскольку $x^2 \ge 0$ и $|x| \ge 0$ для любого действительного числа $x$, их сумма $x^2 + |x|$ равна нулю только в том случае, когда оба слагаемых равны нулю одновременно: $x^2 = 0$ и $|x| = 0$.
Оба этих условия выполняются только при $x = 0$.

Однако, согласно условию $x \neq 0$ из-за знаменателя, корень $x=0$ является посторонним. Других корней у числителя нет.

Ответ: корней нет.

д) Уравнение равносильно системе:

$ \begin{cases} |x + 4| - |x - 4| = 0, \\ x \neq 0. \end{cases} $

Решим уравнение числителя: $|x + 4| - |x - 4| = 0$, или $|x + 4| = |x - 4|$.
Это равенство означает, что расстояние на числовой прямой от точки $x$ до точки $-4$ равно расстоянию от точки $x$ до точки $4$. Единственная точка, удовлетворяющая этому условию, — это середина отрезка $[-4, 4]$, то есть $x = \frac{-4+4}{2} = 0$.

Полученный корень $x=0$ не удовлетворяет условию $x \neq 0$. Следовательно, уравнение не имеет решений.

Ответ: корней нет.

е) Уравнение равносильно системе:

$ \begin{cases} |x - 2| + |x - 4| = 0, \\ x - 2 \neq 0. \end{cases} $

Рассмотрим уравнение числителя: $|x - 2| + |x - 4| = 0$.
Поскольку $|x - 2| \ge 0$ и $|x - 4| \ge 0$, их сумма равна нулю тогда и только тогда, когда оба слагаемых равны нулю одновременно:
$|x - 2| = 0$ и $|x - 4| = 0$.
Из первого уравнения следует $x = 2$. Из второго — $x = 4$.
Не существует такого значения $x$, которое было бы одновременно равно 2 и 4. Следовательно, уравнение $|x - 2| + |x - 4| = 0$ не имеет решений.

Поскольку числитель дроби никогда не равен нулю, исходное уравнение не имеет корней.

Ответ: корней нет.

Помогло решение? Оставьте отзыв в комментариях ниже.

Присоединяйтесь к Телеграм-группе @gdz_by_belarus

Присоединиться

Мы подготовили для вас ответ c подробным объяснением домашего задания по алгебре за 7-9 класс, для упражнения номер 36.40 расположенного на странице 183 к сборнику задач 2020 года издания для учащихся школ и гимназий.

Теперь на нашем сайте ГДЗ.ТОП вы всегда легко и бесплатно найдёте условие с правильным ответом на вопрос «Как решить ДЗ» и «Как сделать» задание по алгебре к упражнению №36.40 (с. 183), авторов: Арефьева (Ирина Глебовна), Пирютко (Ольга Николаевна), учебного пособия издательства Народная асвета.