Номер 39.49, страница 199 - гдз по алгебре 7-9 класс сборник задач Арефьева, Пирютко

Алгебра, 7-9 класс Сборник задач, авторы: Арефьева Ирина Глебовна, Пирютко Ольга Николаевна, издательство Народная асвета, Минск, 2020

Авторы: Арефьева И. Г., Пирютко О. Н.

Тип: Сборник задач

Издательство: Народная асвета

Год издания: 2020 - 2025

Цвет обложки: синий с графиками

Допущено Министерством образования Республики Беларусь

Популярные ГДЗ в 7 классе

9 класс. Параграф 39. Арифметическая прогрессия - номер 39.49, страница 199.

№39.49 (с. 199)
Условие. №39.49 (с. 199)
скриншот условия
Алгебра, 7-9 класс Сборник задач, авторы: Арефьева Ирина Глебовна, Пирютко Ольга Николаевна, издательство Народная асвета, Минск, 2020, страница 199, номер 39.49, Условие

39.49*. Сумма первых четырех членов арифметической прогрессии равна 56. Все члены этой прогрессии — натуральные числа. Двенадцатый член прогрессии больше 67, но меньше 74. Найдите двадцатый член этой прогрессии.

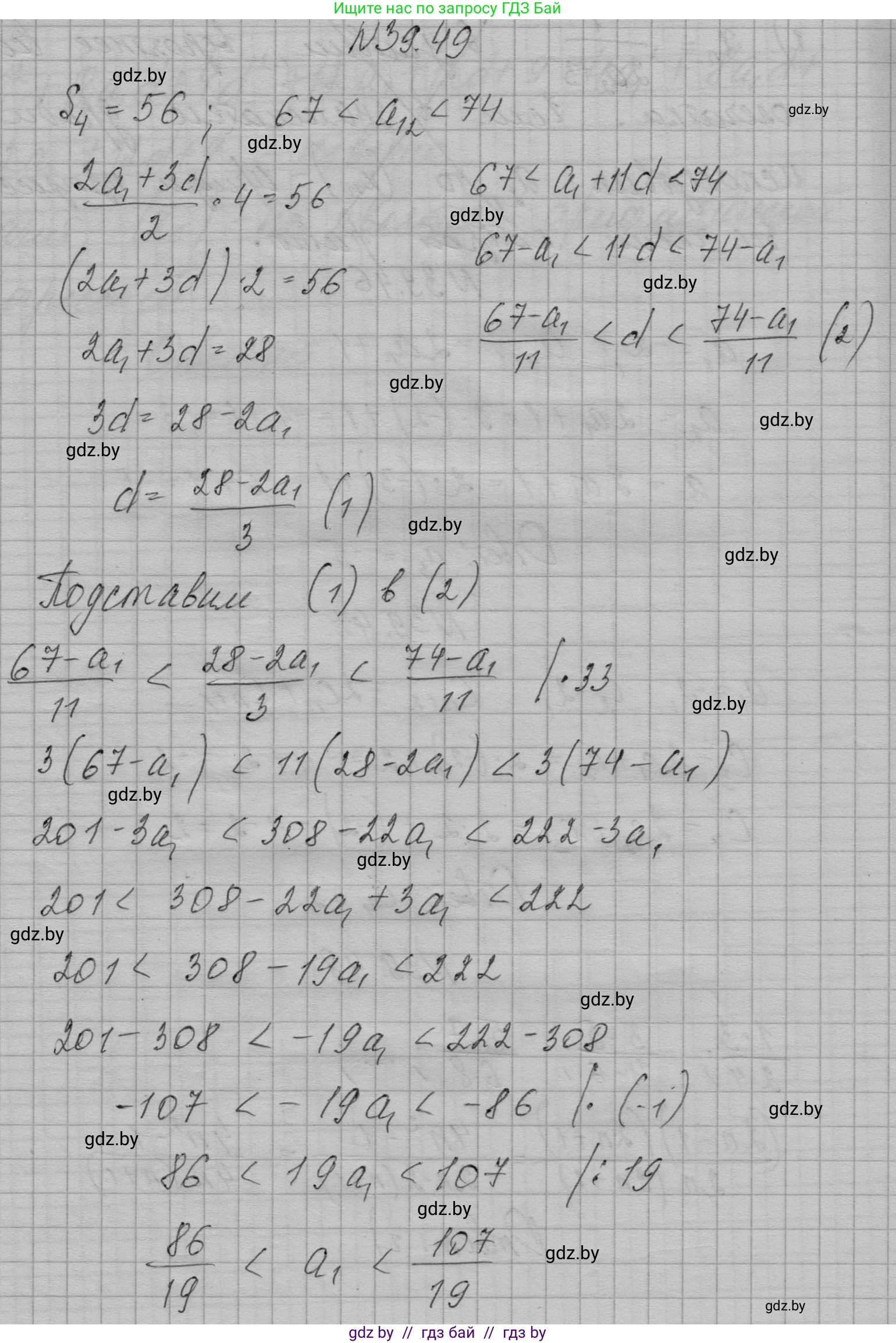
Решение. №39.49 (с. 199)
Алгебра, 7-9 класс Сборник задач, авторы: Арефьева Ирина Глебовна, Пирютко Ольга Николаевна, издательство Народная асвета, Минск, 2020, страница 199, номер 39.49, Решение Алгебра, 7-9 класс Сборник задач, авторы: Арефьева Ирина Глебовна, Пирютко Ольга Николаевна, издательство Народная асвета, Минск, 2020, страница 199, номер 39.49, Решение (продолжение 2)
Решение 2. №39.49 (с. 199)

Пусть $a_1$ — первый член арифметической прогрессии, а $d$ — её разность.

1. Составление уравнений и неравенств по условиям задачи

Из условия, что все члены прогрессии — натуральные числа, следует, что $a_1 \in \mathbb{N}$ и $d$ — целое число. Если $d < 0$, то члены прогрессии будут убывать и в какой-то момент станут не-натуральными. Если $d = 0$, то все члены равны $a_1$. Из условия о сумме первых четырех членов ($4a_1=56$) следует $a_1=14$, тогда $a_{12}=14$, что не удовлетворяет условию $67 < 14 < 74$. Следовательно, $d$ — натуральное число, $d \in \mathbb{N}$.

Сумма первых четырех членов $S_4$ равна 56. По формуле суммы $S_n = \frac{2a_1 + (n-1)d}{2} \cdot n$:
$S_4 = \frac{2a_1 + (4-1)d}{2} \cdot 4 = 2(2a_1 + 3d) = 56$.
Отсюда получаем первое уравнение: $2a_1 + 3d = 28$.

Двенадцатый член $a_{12}$ больше 67 и меньше 74. По формуле $n$-го члена $a_n = a_1 + (n-1)d$:
$a_{12} = a_1 + 11d$.
Получаем неравенство: $67 < a_1 + 11d < 74$.

2. Нахождение разности и первого члена прогрессии

Из уравнения $2a_1 + 3d = 28$ выразим $a_1$:
$2a_1 = 28 - 3d \implies a_1 = 14 - \frac{3}{2}d$.

Поскольку $a_1$ — натуральное число, выражение $14 - \frac{3}{2}d$ должно быть целым и положительным. Для целочисленности $a_1$ необходимо, чтобы $3d$ было четным, а значит, $d$ должно быть четным числом. Условие $a_1 \ge 1$ дает нам неравенство $14 - \frac{3}{2}d \ge 1$, из которого следует $13 \ge \frac{3}{2}d$, или $d \le \frac{26}{3} \approx 8.67$.
Таким образом, $d$ — четное натуральное число, не большее 8. Возможные значения $d \in \{2, 4, 6, 8\}$.

Подставим выражение для $a_1$ в неравенство $67 < a_1 + 11d < 74$:
$67 < (14 - \frac{3}{2}d) + 11d < 74$
$67 < 14 + \frac{19}{2}d < 74$
Вычтем 14 из всех частей:
$53 < \frac{19}{2}d < 60$
Умножим все части на 2:
$106 < 19d < 120$
Разделим все части на 19:
$\frac{106}{19} < d < \frac{120}{19}$
$5.57... < d < 6.31...$

Единственное четное натуральное число в полученном интервале — это $d=6$.
Теперь находим $a_1$:
$a_1 = 14 - \frac{3}{2}(6) = 14 - 9 = 5$.
Таким образом, мы нашли единственную прогрессию, удовлетворяющую условиям: $a_1=5$ и $d=6$.

3. Нахождение двадцатого члена прогрессии

Требуется найти двадцатый член прогрессии, $a_{20}$. Используем формулу $n$-го члена:
$a_{20} = a_1 + (20-1)d = 5 + 19 \cdot 6 = 5 + 114 = 119$.

Ответ: 119.

Помогло решение? Оставьте отзыв в комментариях ниже.

Присоединяйтесь к Телеграм-группе @gdz_by_belarus

Присоединиться

Мы подготовили для вас ответ c подробным объяснением домашего задания по алгебре за 7-9 класс, для упражнения номер 39.49 расположенного на странице 199 к сборнику задач 2020 года издания для учащихся школ и гимназий.

Теперь на нашем сайте ГДЗ.ТОП вы всегда легко и бесплатно найдёте условие с правильным ответом на вопрос «Как решить ДЗ» и «Как сделать» задание по алгебре к упражнению №39.49 (с. 199), авторов: Арефьева (Ирина Глебовна), Пирютко (Ольга Николаевна), учебного пособия издательства Народная асвета.