Номер 13.10, страница 56 - гдз по алгебре 7-9 класс сборник задач Арефьева, Пирютко
Авторы: Арефьева И. Г., Пирютко О. Н.
Тип: Сборник задач
Издательство: Народная асвета
Год издания: 2020 - 2025
Цвет обложки: синий с графиками
Допущено Министерством образования Республики Беларусь
Популярные ГДЗ в 7 классе
7 класс. Параграф 13. Разложение многочлена на множители - номер 13.10, страница 56.
№13.10 (с. 56)
Условие. №13.10 (с. 56)
скриншот условия
13.10. Разложите многочлен на множители, используя вынесение общего множителя за скобки:
а) $c(a - b) - 5(b - a)$;
б) $5a(b - c) + 2(c - b)$;
в) $d(m - 5n) - 3c(5n - m)$;
г) $(x - y) + z(y - x)$;
д) $4p(3n - m) - (m - 3n)$;
е) $6a(2b - 3d) - (3d - 2b)$.
Решение. №13.10 (с. 56)
Решение 2. №13.10 (с. 56)
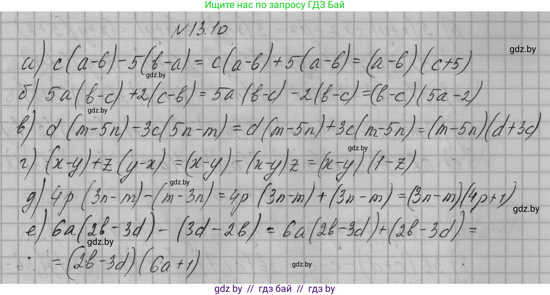
а) $c(a-b) - 5(b-a)$
Для разложения многочлена на множители необходимо найти общий множитель. Заметим, что выражения в скобках $(a-b)$ и $(b-a)$ являются противоположными, то есть $(b-a) = -(a-b)$. Используем это свойство, чтобы привести слагаемые к общему множителю.
$c(a-b) - 5(b-a) = c(a-b) - 5 \cdot (-(a-b)) = c(a-b) + 5(a-b)$
Теперь общий множитель $(a-b)$ можно вынести за скобки:
$(a-b)(c+5)$
Ответ: $(a-b)(c+5)$
б) $5a(b-c) + 2(c-b)$
Аналогично предыдущему примеру, выражения в скобках $(b-c)$ и $(c-b)$ противоположны. Преобразуем второе слагаемое, используя равенство $(c-b) = -(b-c)$.
$5a(b-c) + 2(c-b) = 5a(b-c) + 2 \cdot (-(b-c)) = 5a(b-c) - 2(b-c)$
Вынесем общий множитель $(b-c)$ за скобки:
$(b-c)(5a-2)$
Ответ: $(b-c)(5a-2)$
в) $d(m-5n) - 3c(5n-m)$
Выражения в скобках $(m-5n)$ и $(5n-m)$ также противоположны: $(5n-m) = -(m-5n)$. Подставим это в исходное выражение.
$d(m-5n) - 3c(5n-m) = d(m-5n) - 3c \cdot (-(m-5n)) = d(m-5n) + 3c(m-5n)$
Теперь выносим общий множитель $(m-5n)$:
$(m-5n)(d+3c)$
Ответ: $(m-5n)(d+3c)$
г) $(x-y) + z(y-x)$
Преобразуем выражение в скобках во втором слагаемом: $(y-x) = -(x-y)$.
$(x-y) + z(y-x) = (x-y) + z \cdot (-(x-y)) = (x-y) - z(x-y)$
Первое слагаемое можно представить как $1 \cdot (x-y)$.
$1 \cdot (x-y) - z(x-y)$
Вынесем общий множитель $(x-y)$ за скобки:
$(x-y)(1-z)$
Ответ: $(x-y)(1-z)$
д) $4p(3n-m) - (m-3n)$
Выражения $(3n-m)$ и $(m-3n)$ являются противоположными. Используем равенство $(m-3n) = -(3n-m)$.
$4p(3n-m) - (m-3n) = 4p(3n-m) - (-(3n-m)) = 4p(3n-m) + (3n-m)$
Представим второе слагаемое как $1 \cdot (3n-m)$.
$4p(3n-m) + 1 \cdot (3n-m)$
Вынесем общий множитель $(3n-m)$ за скобки:
$(3n-m)(4p+1)$
Ответ: $(3n-m)(4p+1)$
е) $6a(2b-3d) - (3d-2b)$
Преобразуем вычитаемое, используя то, что $(3d-2b) = -(2b-3d)$.
$6a(2b-3d) - (3d-2b) = 6a(2b-3d) - (-(2b-3d)) = 6a(2b-3d) + (2b-3d)$
Представим второе слагаемое как $1 \cdot (2b-3d)$.
$6a(2b-3d) + 1 \cdot (2b-3d)$
Вынесем общий множитель $(2b-3d)$ за скобки:
$(2b-3d)(6a+1)$
Ответ: $(2b-3d)(6a+1)$
Другие задания:
Помогло решение? Оставьте отзыв в комментариях ниже.
Присоединяйтесь к Телеграм-группе @gdz_by_belarus
ПрисоединитьсяМы подготовили для вас ответ c подробным объяснением домашего задания по алгебре за 7-9 класс, для упражнения номер 13.10 расположенного на странице 56 к сборнику задач 2020 года издания для учащихся школ и гимназий.
Теперь на нашем сайте ГДЗ.ТОП вы всегда легко и бесплатно найдёте условие с правильным ответом на вопрос «Как решить ДЗ» и «Как сделать» задание по алгебре к упражнению №13.10 (с. 56), авторов: Арефьева (Ирина Глебовна), Пирютко (Ольга Николаевна), учебного пособия издательства Народная асвета.