Номер 13.3, страница 55 - гдз по алгебре 7-9 класс сборник задач Арефьева, Пирютко

Алгебра, 7-9 класс Сборник задач, авторы: Арефьева Ирина Глебовна, Пирютко Ольга Николаевна, издательство Народная асвета, Минск, 2020

Авторы: Арефьева И. Г., Пирютко О. Н.

Тип: Сборник задач

Издательство: Народная асвета

Год издания: 2020 - 2025

Цвет обложки: синий с графиками

Допущено Министерством образования Республики Беларусь

Популярные ГДЗ в 7 классе

7 класс. Параграф 13. Разложение многочлена на множители - номер 13.3, страница 55.

№13.3 (с. 55)
Условие. №13.3 (с. 55)
скриншот условия
Алгебра, 7-9 класс Сборник задач, авторы: Арефьева Ирина Глебовна, Пирютко Ольга Николаевна, издательство Народная асвета, Минск, 2020, страница 55, номер 13.3, Условие

13.3. Разложите многочлен на множители:

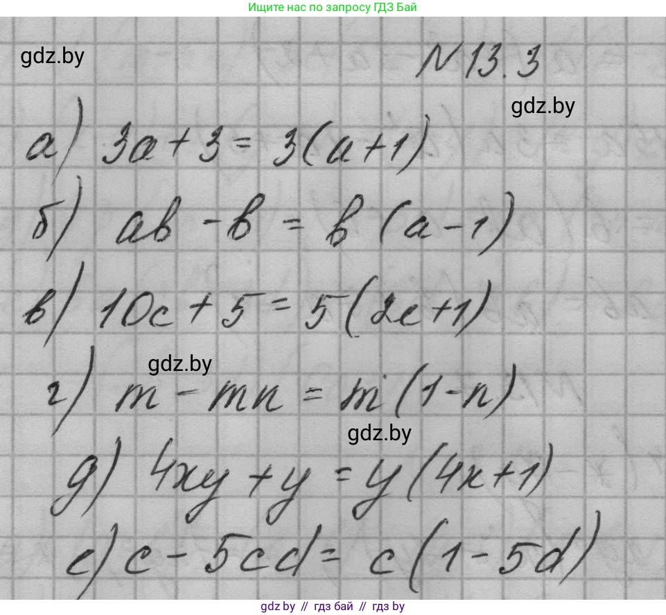
а) $3a + 3$;

б) $ab - b$;

в) $10c + 5$;

г) $m - mn$;

д) $4xy + y$;

е) $c - 5cd$.

Решение. №13.3 (с. 55)
Алгебра, 7-9 класс Сборник задач, авторы: Арефьева Ирина Глебовна, Пирютко Ольга Николаевна, издательство Народная асвета, Минск, 2020, страница 55, номер 13.3, Решение
Решение 2. №13.3 (с. 55)

а) Чтобы разложить на множители многочлен $3a + 3$, необходимо найти общий множитель для каждого его члена. В данном случае члены многочлена — это $3a$ и $3$. Очевидно, что общим множителем является число $3$. Вынесем его за скобки. Для этого каждый член многочлена разделим на этот общий множитель:
$3a \div 3 = a$
$3 \div 3 = 1$
Запишем выражение в виде произведения общего множителя и многочлена, полученного в скобках:
$3a + 3 = 3(a + 1)$
Ответ: $3(a + 1)$

б) В многочлене $ab - b$ общим множителем для членов $ab$ и $b$ является переменная $b$. Вынесем $b$ за скобки.
$ab \div b = a$
$-b \div b = -1$
Таким образом, разложение на множители выглядит так:
$ab - b = b(a - 1)$
Ответ: $b(a - 1)$

в) Рассмотрим многочлен $10c + 5$. Члены многочлена $10c$ и $5$ имеют общий числовой множитель. Найдем наибольший общий делитель (НОД) для их коэффициентов $10$ и $5$. НОД(10, 5) = 5. Вынесем $5$ за скобки.
$10c \div 5 = 2c$
$5 \div 5 = 1$
В результате получаем:
$10c + 5 = 5(2c + 1)$
Ответ: $5(2c + 1)$

г) В многочлене $m - mn$ общим множителем для членов $m$ и $mn$ является переменная $m$. Вынесем $m$ за скобки. Важно помнить, что $m$ можно представить как $m \cdot 1$.
$m \div m = 1$
$-mn \div m = -n$
Следовательно, разложение на множители будет таким:
$m - mn = m(1 - n)$
Ответ: $m(1 - n)$

д) В многочлене $4xy + y$ общим множителем для членов $4xy$ и $y$ является переменная $y$. Вынесем $y$ за скобки.
$4xy \div y = 4x$
$y \div y = 1$
Получаем следующее выражение:
$4xy + y = y(4x + 1)$
Ответ: $y(4x + 1)$

е) Рассмотрим многочлен $c - 5cd$. Общим множителем для членов $c$ и $5cd$ является переменная $c$. Вынесем $c$ за скобки.
$c \div c = 1$
$-5cd \div c = -5d$
В результате разложения на множители получаем:
$c - 5cd = c(1 - 5d)$
Ответ: $c(1 - 5d)$

Помогло решение? Оставьте отзыв в комментариях ниже.

Присоединяйтесь к Телеграм-группе @gdz_by_belarus

Присоединиться

Мы подготовили для вас ответ c подробным объяснением домашего задания по алгебре за 7-9 класс, для упражнения номер 13.3 расположенного на странице 55 к сборнику задач 2020 года издания для учащихся школ и гимназий.

Теперь на нашем сайте ГДЗ.ТОП вы всегда легко и бесплатно найдёте условие с правильным ответом на вопрос «Как решить ДЗ» и «Как сделать» задание по алгебре к упражнению №13.3 (с. 55), авторов: Арефьева (Ирина Глебовна), Пирютко (Ольга Николаевна), учебного пособия издательства Народная асвета.