Номер 13.2, страница 55 - гдз по алгебре 7-9 класс сборник задач Арефьева, Пирютко

Алгебра, 7-9 класс Сборник задач, авторы: Арефьева Ирина Глебовна, Пирютко Ольга Николаевна, издательство Народная асвета, Минск, 2020

Авторы: Арефьева И. Г., Пирютко О. Н.

Тип: Сборник задач

Издательство: Народная асвета

Год издания: 2020 - 2025

Цвет обложки: синий с графиками

Допущено Министерством образования Республики Беларусь

Популярные ГДЗ в 7 классе

7 класс. Параграф 13. Разложение многочлена на множители - номер 13.2, страница 55.

№13.2 (с. 55)
Условие. №13.2 (с. 55)
скриншот условия
Алгебра, 7-9 класс Сборник задач, авторы: Арефьева Ирина Глебовна, Пирютко Ольга Николаевна, издательство Народная асвета, Минск, 2020, страница 55, номер 13.2, Условие

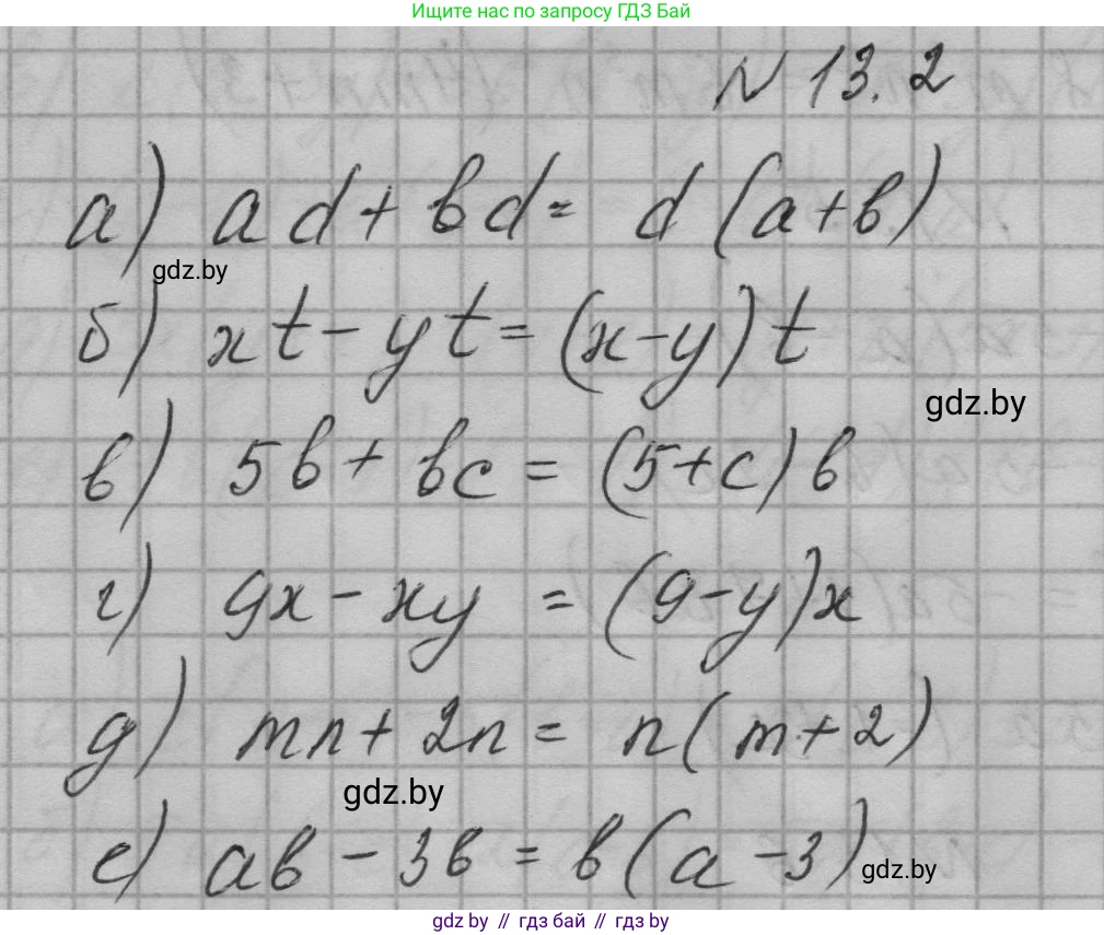
13.2. Представьте в виде произведения многочлен:

a) $ad + bd;$

б) $xt - yt;$

в) $5b + bc;$

г) $9x - xy;$

д) $mn + 2n;$

е) $ab - 3b.$

Решение. №13.2 (с. 55)
Алгебра, 7-9 класс Сборник задач, авторы: Арефьева Ирина Глебовна, Пирютко Ольга Николаевна, издательство Народная асвета, Минск, 2020, страница 55, номер 13.2, Решение
Решение 2. №13.2 (с. 55)

а) Чтобы представить многочлен $ad + bd$ в виде произведения, необходимо найти общий множитель для каждого слагаемого и вынести его за скобки. В данном выражении общим множителем является переменная $d$.

Выносим $d$ за скобки:

$ad + bd = d \cdot a + d \cdot b = d(a + b)$

Для проверки можно раскрыть скобки: $d(a + b) = d \cdot a + d \cdot b = ad + bd$, что соответствует исходному многочлену.

Ответ: $d(a + b)$

б) В многочлене $xt - yt$ оба члена, $xt$ и $-yt$, имеют общий множитель $t$. Вынесем его за скобки, используя распределительное свойство умножения.

$xt - yt = t \cdot x - t \cdot y = t(x - y)$

Проверка: $t(x - y) = t \cdot x - t \cdot y = xt - yt$.

Ответ: $t(x - y)$

в) В многочлене $5b + bc$ общим множителем для слагаемых $5b$ и $bc$ является переменная $b$. Выносим $b$ за скобки.

$5b + bc = b \cdot 5 + b \cdot c = b(5 + c)$

Проверка: $b(5 + c) = b \cdot 5 + b \cdot c = 5b + bc$.

Ответ: $b(5 + c)$

г) В многочлене $9x - xy$ общим множителем для уменьшаемого $9x$ и вычитаемого $xy$ является переменная $x$. Вынесем $x$ за скобки.

$9x - xy = x \cdot 9 - x \cdot y = x(9 - y)$

Проверка: $x(9 - y) = x \cdot 9 - x \cdot y = 9x - xy$.

Ответ: $x(9 - y)$

д) В многочлене $mn + 2n$ оба слагаемых, $mn$ и $2n$, содержат общий множитель $n$. Вынесем его за скобки.

$mn + 2n = n \cdot m + n \cdot 2 = n(m + 2)$

Проверка: $n(m + 2) = n \cdot m + n \cdot 2 = mn + 2n$.

Ответ: $n(m + 2)$

е) В многочлене $ab - 3b$ общим множителем для членов $ab$ и $-3b$ является переменная $b$. Вынесем $b$ за скобки.

$ab - 3b = b \cdot a - b \cdot 3 = b(a - 3)$

Проверка: $b(a - 3) = b \cdot a - b \cdot 3 = ab - 3b$.

Ответ: $b(a - 3)$

Помогло решение? Оставьте отзыв в комментариях ниже.

Присоединяйтесь к Телеграм-группе @gdz_by_belarus

Присоединиться

Мы подготовили для вас ответ c подробным объяснением домашего задания по алгебре за 7-9 класс, для упражнения номер 13.2 расположенного на странице 55 к сборнику задач 2020 года издания для учащихся школ и гимназий.

Теперь на нашем сайте ГДЗ.ТОП вы всегда легко и бесплатно найдёте условие с правильным ответом на вопрос «Как решить ДЗ» и «Как сделать» задание по алгебре к упражнению №13.2 (с. 55), авторов: Арефьева (Ирина Глебовна), Пирютко (Ольга Николаевна), учебного пособия издательства Народная асвета.